Студопедия

КАТЕГОРИИ:


Архитектура-(3434)Астрономия-(809)Биология-(7483)Биотехнологии-(1457)Военное дело-(14632)Высокие технологии-(1363)География-(913)Геология-(1438)Государство-(451)Демография-(1065)Дом-(47672)Журналистика и СМИ-(912)Изобретательство-(14524)Иностранные языки-(4268)Информатика-(17799)Искусство-(1338)История-(13644)Компьютеры-(11121)Косметика-(55)Кулинария-(373)Культура-(8427)Лингвистика-(374)Литература-(1642)Маркетинг-(23702)Математика-(16968)Машиностроение-(1700)Медицина-(12668)Менеджмент-(24684)Механика-(15423)Науковедение-(506)Образование-(11852)Охрана труда-(3308)Педагогика-(5571)Полиграфия-(1312)Политика-(7869)Право-(5454)Приборостроение-(1369)Программирование-(2801)Производство-(97182)Промышленность-(8706)Психология-(18388)Религия-(3217)Связь-(10668)Сельское хозяйство-(299)Социология-(6455)Спорт-(42831)Строительство-(4793)Торговля-(5050)Транспорт-(2929)Туризм-(1568)Физика-(3942)Философия-(17015)Финансы-(26596)Химия-(22929)Экология-(12095)Экономика-(9961)Электроника-(8441)Электротехника-(4623)Энергетика-(12629)Юриспруденция-(1492)Ядерная техника-(1748)

Энергетические методы расчета деформаций упругих систем




 

Одной из важнейших задач сопротивления материалов является задача определения деформаций конструкции под действием произвольной системы сил. Такая задача возникает при оценке жесткости и устойчивости элементов конструкции, при расчете деталей на динамические нагрузки, при раскрытии статической неопределимости системы.

До сих пор нами изучались некоторые частные случаи определения деформаций, пригодные при решении простейших задач. Далее рассмотрим общий метод определения деформаций любых упругих конструкций, в основе которого лежит основной принцип механики – закон сохранения энергии.

 

17.1. Потенциальная энергия деформации в общем случае нагружения

 

Сформулируем, прежде всего, за кон сохранения энергии применительно к упругим системам при статическом нагружении.

Потенциальная энергия внешних сил UP, действующих на тело, находящееся в равновесии, полностью переходит в потенциальную энергию деформации U этого тела:

Так как мерой энергии, превратившейся в другой вид, является работа, произведенная силами, действующими на конструкцию, то предыдущую запись можем выразить несколько иначе.

Потенциальная энергия деформации U численно равна работе внешних сил AP, проделанной ими при этой деформации:

Далее рассмотрим возможности использования этого закона для определения деформаций системы, но сначала вспомним, как определяется потенциальная энергия деформации при простых видах сопротивления, и выведем общую формулу для расчета энергии деформации.

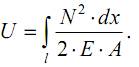
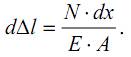
а) потенциальная энергия деформации при растяжении (сжатии) Рассмотрим элемент стержня длиной dx, который под действием осевого усилия N получил удлинение d∆l. Потенциальная энергия деформации элемента dx равна (см. рисунок)

Удлинение d∆l найдем при помощи закона Гука

Подставим выражение закона Гука в формулу для потенциальной энергии

Чтобы найти энергию деформации всего стержня, необходимо проинтегрировать последнее равенство по длине l стержня

б) потенциальная энергия деформации при кручении

Рассмотрим элемент вала длиной dx, который под действием крутящего момента Mx закрутился на угол dϕ.

Чтобы найти потенциальную энергию деформации всего вала необходимо проинтегрировать последнее равенство по его длине l

в) потенциальная энергия деформации при чистом изгибе

Рассмотрим элемент балки длиной dx, сечения которого под действием изгибающего момента Mи повернулись на угол dϕ.

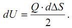
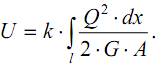
г ) потенциальная энергия деформации при чистом сдвиге

Рассмотрим элемент балки длиной dx, сечения которого под действием поперечной силы Q сдвинулись на величину d∆S.

Потенциальная энергия деформации в этом случае

Абсолютный сдвиг d∆S найдем при помощи закона Гука

Подставим закон Гука в формулу для потенциальной энергии

где k – коэффициент, зависящий от формы сечения.

Потенциальная энергия деформации всей балки

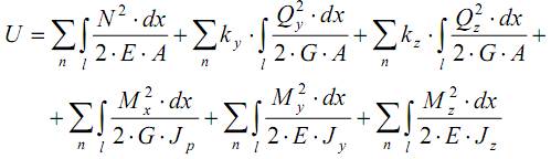
Потенциальную энергию деформации в самом общем случае нагружения найдем, используя принцип суперпозиции и учитывая, что для стержня с несколькими участками полученные интегралы необходимо просуммировать по всем участкам:

17.2. Обобщенные силы и обобщенные перемещения

 

Из анализа выражений, полученных в предыдущем параграфе, можем сделать следующее заключение.

Потенциальная энергия деформации (или, с другой стороны, работа силы) численно равна половине произведения величины силового фактора на значение перемещения, соответствующего этой силе:

Таким образом, появляется возможность решать задачу в общем виде, не конкретизируя ни силовые факторы, ни перемещения. При этом вводят понятия обобщенной силы (F) и обобщенного перемещения (∆).

Обобщенная сила – это сила или группа сил, которую удобно выделить при подсчете потенциальной энергии деформации.

Обобщенной силой может быть сосредоточенная сила, момент, распределенная нагрузка или их сочетание.

Обобщенное перемещение – это тот вид перемещения (линейное, угловое, объемное и т. д.), на котором рассматриваемая обобщенная сила производит работу.

Заметим, что выбирать обобщенное перемещение необходимо таким образом, чтобы произведение обобщенного перемещения на обобщенную силу представляло собой работу (размерность работы – H·м). Таким образом, для сосредоточенной силы, принятой за обобщенную, обобщенным перемещением будет являться линейное перемещение точки приложения силы. Если в качестве обобщенной силы выбран момент, то обобщенным перемещением будет являться угол поворота сечения в точке приложения момента.

Далее рассмотрим возможности применения изложенного материала к определению перемещений в упругих системах.

 

17.3. Теорема Кастильяно

Рассмотрим упругую конструкцию (для простоты – консольную балку), нагруженную произвольной системой сил F, Φ, Ψ и т. д. При этом все силовые факторы будем считать независимыми переменными, то есть при изменении одного из них другие не изменяются.

Далее для вывода теоремы рассмотрим два возможных случая последовательного приложения указанных сил.




Поделиться с друзьями:


Дата добавления: 2014-01-14; Просмотров: 1836; Нарушение авторских прав?; Мы поможем в написании вашей работы!


Нам важно ваше мнение! Был ли полезен опубликованный материал? Да | Нет



studopedia.su - Студопедия (2013 - 2025) год. Все материалы представленные на сайте исключительно с целью ознакомления читателями и не преследуют коммерческих целей или нарушение авторских прав! Последнее добавление




Генерация страницы за: 0.008 сек.