Студопедия

КАТЕГОРИИ:


Архитектура-(3434)Астрономия-(809)Биология-(7483)Биотехнологии-(1457)Военное дело-(14632)Высокие технологии-(1363)География-(913)Геология-(1438)Государство-(451)Демография-(1065)Дом-(47672)Журналистика и СМИ-(912)Изобретательство-(14524)Иностранные языки-(4268)Информатика-(17799)Искусство-(1338)История-(13644)Компьютеры-(11121)Косметика-(55)Кулинария-(373)Культура-(8427)Лингвистика-(374)Литература-(1642)Маркетинг-(23702)Математика-(16968)Машиностроение-(1700)Медицина-(12668)Менеджмент-(24684)Механика-(15423)Науковедение-(506)Образование-(11852)Охрана труда-(3308)Педагогика-(5571)Полиграфия-(1312)Политика-(7869)Право-(5454)Приборостроение-(1369)Программирование-(2801)Производство-(97182)Промышленность-(8706)Психология-(18388)Религия-(3217)Связь-(10668)Сельское хозяйство-(299)Социология-(6455)Спорт-(42831)Строительство-(4793)Торговля-(5050)Транспорт-(2929)Туризм-(1568)Физика-(3942)Философия-(17015)Финансы-(26596)Химия-(22929)Экология-(12095)Экономика-(9961)Электроника-(8441)Электротехника-(4623)Энергетика-(12629)Юриспруденция-(1492)Ядерная техника-(1748)

Физические свойства




Спирты до С10 при обыкновенной температуре — жидкости; начиная с С11 ивыше — твердые тела. Спирты С1 — С2 смешиваются с водой во всех соотношениях и имеют характерный запах. По мере увеличения мо­лекулярной массы растворимость жидких спиртов в воде уменьшается и запах их становится неприятным. Твердые спирты лишены запаха и поч­ти нерастворимы в воде. Жидкие спирты являются хорошими растворите­лями многих органических веществ.

Температура кипения спиртов возрастает по мере увеличения их моле­кулярной массы, например:

Спирт СН3ОН С2Н5ОН н- С3Н7ОН н- С4Н9ОН н-С10Н21ОН
Ткип, °С 64,5 78,3 97,8 117,7 231,0

 

Спирты нормального строения кипят при более высокой температуре, чем спирты с разветвленной цепью. При одинаковом числе углеродных атомов первичные спирты кипят при более высокой температуре, чем вто­ричные, а вторичные — при более высокой температуре, чем третичные. Например, температура кипения бутиловых спиртов С4Н9ОН: нормаль­ного 117,7 °С, изобутилового 107,3 °С, вторичного 99,5 °С и третичного 82,8°С. Температура плавления, наоборот, выше у третичных спиртов. Плотность спиртов меньше 1.

Температура кипения спиртов значительно выше температуры кипения соответствующих углеводородов и даже галогенопроизводных. Например, этан кипит при —88,3 °С, бромистый этил С2Н5ВГ — при +38,0 °С, а этиловый спирт — при +78,3 °С. Это различие обусловлено тем, что спирты, как и вода, хотя и в меньшей степени, являются ассоциированны­ми жидкостями.

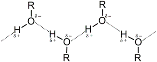
Отдельные молекулы спиртов соединяются между собой с помощью так называемых водородных связей, возникающих между водородными и кислородными атомами гидроксильных групп различных молекул спирта (с участием неподеленных пар электронов кислорода):

Ассоциация оказывает существенное влияние на физический свойства спиртов, т.к. в жидкости присутствует димерные, тримерные и поли-мерные молекулы.

Спирты нормального (линейного)строения кипят при более высокой t, чем спирты с разветвленной цепью(при одинаковом числе углеродных атомов): Ткип(перв)>Ткип(втор)>Ткип(третич)




Поделиться с друзьями:


Дата добавления: 2014-11-06; Просмотров: 436; Нарушение авторских прав?; Мы поможем в написании вашей работы!


Нам важно ваше мнение! Был ли полезен опубликованный материал? Да | Нет



studopedia.su - Студопедия (2013 - 2026) год. Все материалы представленные на сайте исключительно с целью ознакомления читателями и не преследуют коммерческих целей или нарушение авторских прав! Последнее добавление




Генерация страницы за: 0.009 сек.