Студопедия

КАТЕГОРИИ:


Архитектура-(3434)Астрономия-(809)Биология-(7483)Биотехнологии-(1457)Военное дело-(14632)Высокие технологии-(1363)География-(913)Геология-(1438)Государство-(451)Демография-(1065)Дом-(47672)Журналистика и СМИ-(912)Изобретательство-(14524)Иностранные языки-(4268)Информатика-(17799)Искусство-(1338)История-(13644)Компьютеры-(11121)Косметика-(55)Кулинария-(373)Культура-(8427)Лингвистика-(374)Литература-(1642)Маркетинг-(23702)Математика-(16968)Машиностроение-(1700)Медицина-(12668)Менеджмент-(24684)Механика-(15423)Науковедение-(506)Образование-(11852)Охрана труда-(3308)Педагогика-(5571)Полиграфия-(1312)Политика-(7869)Право-(5454)Приборостроение-(1369)Программирование-(2801)Производство-(97182)Промышленность-(8706)Психология-(18388)Религия-(3217)Связь-(10668)Сельское хозяйство-(299)Социология-(6455)Спорт-(42831)Строительство-(4793)Торговля-(5050)Транспорт-(2929)Туризм-(1568)Физика-(3942)Философия-(17015)Финансы-(26596)Химия-(22929)Экология-(12095)Экономика-(9961)Электроника-(8441)Электротехника-(4623)Энергетика-(12629)Юриспруденция-(1492)Ядерная техника-(1748)

Обзор программных операторов




Вплоть до появления 7 версии системы MathCAD возможности программирования в них были крайне ограниченными. Фактически MathCAD позволяла реализовать лишь линейные программы, в основе которых лежит понятие функции. Функция if и ранжированные переменные в отдельных случаях могли заменить условные выражения и циклы, но с серьезными ограничениями. Отсутствовала возможность задания завершенных программных модулей.

Эти возможности в расширенном варианте появились в MathCAD 7.0 Pro и имеются в описываемой версии MathCAD 2001 PRO. Они сосредоточены в наборной панели программных элементов Programming (показана на рисунке), включаемой кнопкой на панели Math.

Отметим, что возможность составлять программы реализована только в версии Professional. Все эти MathCAD-программы с точки зрения программиста представляют собой подпрограммы-функции, которые могут возвращать в качестве результата число, вектор или матрицу. Функции могут вызывать сами себя (рекурсивно определенные функции) или другие подпрограммы-функции, определенные выше в том же MathCAD-документе.

Эти подпрограммы-функции составляются так же, как и определения функций. Рассмотрим простой пример вычисления суммы: Sum(n)=1+2+3+..+n:

  • Задайте сначала имя функции Sum, вслед за которым введите список параметров (n) и оператор присваивания :=
  • Введите начальное значение s <-- 0 и отметьте его целиком. Стрелка служит оператором присваивания в теле программы, вводитя клавишей { (открывающая фигурная скобка) или выбором кнопки со срелкой с панели.
  • Создайте новую строку программы (вставка вертикальной черты) при помощи кнопки Add Line (клавиша - ] (закрывающая квадратная скобка)). На экране появится вертикальная черта и пустая ячейка.
  • Выполните щелчок на кнопке for, чтобы ввести оператор цикла. Перед символом принадлежности введите переменную i, а после него - промежуток изменения переменной 1..n. В находящейся ниже ячейке введите присваивание s <- s+i. Программа готова.

Ниже в таблице приведены операторы, находящиеся на кнопках панели программирования.

Команды панели Symbolic (символы)
Команда Функция Пример
Add Line Добавляет новую строку под/над (зависит от выделения) текущей строкой.  
Присваивание значения локальной переменной.
if Условный оператор (оператор ветвления)if; условие должно стоять после if, а оператор, который исполняется, если выполнено заданное условие,- перед if.
otherwise Обозначает оператор, который должет быть исполнен, если условие оператора if не выполняется.
for Цикл for; за ключевым словом for следует переменная-счетчик, а после символа принадлежности вводится промедуток изменения этой переменной. Внутренние операторы цикла сдвинуты немного вправо.
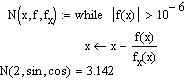
while Цикл while;внутренние операторы цикла будут исполняться до тех пор, пока будет истинным условие, следующее за ключевым словом while. Пример показыветприменение цикла для нахождения нулей функции методом касательных Ньютона.
break Служит для преждевременного завершения цикла, чтобы, например, избежать зацикливания или слишком продолжительных вычислений.
continue Служит для преждевременного завершения текущей итерации цикла; сам цикл при этом продолжается.
retutn Преждевременное завершение программы; указанное в ячейке значение будет возвращено.
on error Если при вычислении выражения expr2 возникла ошибка, вычисляется выражение expr1.



Поделиться с друзьями:


Дата добавления: 2014-11-06; Просмотров: 318; Нарушение авторских прав?; Мы поможем в написании вашей работы!


Нам важно ваше мнение! Был ли полезен опубликованный материал? Да | Нет



studopedia.su - Студопедия (2013 - 2026) год. Все материалы представленные на сайте исключительно с целью ознакомления читателями и не преследуют коммерческих целей или нарушение авторских прав! Последнее добавление




Генерация страницы за: 0.008 сек.