Студопедия

КАТЕГОРИИ:


Архитектура-(3434)Астрономия-(809)Биология-(7483)Биотехнологии-(1457)Военное дело-(14632)Высокие технологии-(1363)География-(913)Геология-(1438)Государство-(451)Демография-(1065)Дом-(47672)Журналистика и СМИ-(912)Изобретательство-(14524)Иностранные языки-(4268)Информатика-(17799)Искусство-(1338)История-(13644)Компьютеры-(11121)Косметика-(55)Кулинария-(373)Культура-(8427)Лингвистика-(374)Литература-(1642)Маркетинг-(23702)Математика-(16968)Машиностроение-(1700)Медицина-(12668)Менеджмент-(24684)Механика-(15423)Науковедение-(506)Образование-(11852)Охрана труда-(3308)Педагогика-(5571)Полиграфия-(1312)Политика-(7869)Право-(5454)Приборостроение-(1369)Программирование-(2801)Производство-(97182)Промышленность-(8706)Психология-(18388)Религия-(3217)Связь-(10668)Сельское хозяйство-(299)Социология-(6455)Спорт-(42831)Строительство-(4793)Торговля-(5050)Транспорт-(2929)Туризм-(1568)Физика-(3942)Философия-(17015)Финансы-(26596)Химия-(22929)Экология-(12095)Экономика-(9961)Электроника-(8441)Электротехника-(4623)Энергетика-(12629)Юриспруденция-(1492)Ядерная техника-(1748)

Примеры программ




Условный оператор if и оператор otherwise. Рассмотрим пример программного блока, вычисляющего факториал с использованием рекурсии

В данном примере 1 возвращается, только если n=0 или n=1. Обратите внимание на задание некольких условий - со знаком плюс, каждое условие в скобках. В остальных случаях, учитывая формулу n!=n*(n-1)!, вызывается fakt(n-1) и умножается на n. При помощи функции error можно вывести сообщение об ошибке при неправильном вводе аргумента.

Для демонстрации работы цикла for рассмотрим ту же задачу, но вычисление факториала осуществим при помощи цикла.

Если n=0 или n=1, возвращается 1, в противном случае при помощи цикла for вычисляется произведение n!=1*2*3...*n. Вычисленное последним значение p возвращается автоматически.

 

В следующем примере при помощи алгоритма Евклида определяется наибольший общий делитель. Для реализации алгоритма используется цикл с ключевым словом while

Прерывание цикла при помощи операторов break и continue. Оператор return. Первый пример - релизация метода касательных Ньютона для определения нулей функции. На основе начального значения x вычисляется новое улучшенное значение x, расположенное ближе к искомому нулю функции. При этом итерации повторяются до тех пор, пока значение функции не станет меньше заданной точности (в примере 10-6).

При помощи оператора return организовано завершение программы в нужный момент. В данном примере если число итераций больше или равно 10, то происходит прерывание программы и выдается сообщение о том, что слишком много итераций. Здесь также отслеживаются случаи, когда производная в знаменателе близка к нулю и выдается об этом сообщение.

 

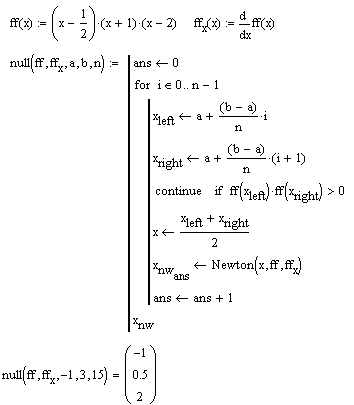
Кроме ключевого слова break имеется ключевое слово continue с похожей функцией. В то время как break прерывает цикл и осуществляет переход к следующему за циклом оператору, continue прерывает выполнение только текущей итерации. В примере справа ключевое слово continue используется для выявления всех нулей функции на заданном интервале. При этом в примере производится разбиение интервала на n равных подинтервалов и ищутся те из них, на которых функия меняет знак. При обнаружении такого поинтервала вызывается функия, реализующая метод касательных Ньютона, с начальным значением, находящимся в середине подинтервала.

Обратите внимание, по завершении работы программы выдается вектор значений.

Ниже приводится программа, вычисляющая коэффициенты Фурье функции, причем в результате выдается матица значений: нулевая по счету строка содержит коэффициенты Аn, а первая - коэффициенты Bn. Для выделения этих коэффициентов выдавемая матрица транспонируется и из нее выбирается нулевой столбец для коэффициентов Аn, и первый - для Bn.




Поделиться с друзьями:


Дата добавления: 2014-11-06; Просмотров: 331; Нарушение авторских прав?; Мы поможем в написании вашей работы!


Нам важно ваше мнение! Был ли полезен опубликованный материал? Да | Нет



studopedia.su - Студопедия (2013 - 2026) год. Все материалы представленные на сайте исключительно с целью ознакомления читателями и не преследуют коммерческих целей или нарушение авторских прав! Последнее добавление




Генерация страницы за: 0.008 сек.