Студопедия

КАТЕГОРИИ:


Архитектура-(3434)Астрономия-(809)Биология-(7483)Биотехнологии-(1457)Военное дело-(14632)Высокие технологии-(1363)География-(913)Геология-(1438)Государство-(451)Демография-(1065)Дом-(47672)Журналистика и СМИ-(912)Изобретательство-(14524)Иностранные языки-(4268)Информатика-(17799)Искусство-(1338)История-(13644)Компьютеры-(11121)Косметика-(55)Кулинария-(373)Культура-(8427)Лингвистика-(374)Литература-(1642)Маркетинг-(23702)Математика-(16968)Машиностроение-(1700)Медицина-(12668)Менеджмент-(24684)Механика-(15423)Науковедение-(506)Образование-(11852)Охрана труда-(3308)Педагогика-(5571)Полиграфия-(1312)Политика-(7869)Право-(5454)Приборостроение-(1369)Программирование-(2801)Производство-(97182)Промышленность-(8706)Психология-(18388)Религия-(3217)Связь-(10668)Сельское хозяйство-(299)Социология-(6455)Спорт-(42831)Строительство-(4793)Торговля-(5050)Транспорт-(2929)Туризм-(1568)Физика-(3942)Философия-(17015)Финансы-(26596)Химия-(22929)Экология-(12095)Экономика-(9961)Электроника-(8441)Электротехника-(4623)Энергетика-(12629)Юриспруденция-(1492)Ядерная техника-(1748)

Пример выполнения курсовой работы




В курсовой работе необходимо

1. Определить типовые звенья, входящие в структуру САУ.

2. Определить передаточные функции САУ и ее характеристический полином.

3. По критерию устойчивости Гурвица определить устойчивость САУ, рассчитать граничное значение коэффициента передачи разомкнутой цепи и построить область устойчивости САУ относительно варьируемых параметров Х1 и Х2.

4. Построить статические и внешние характеристики для заданной САУ и для САУ, у которой значение параметра Х2 выбрано в соответствии с заданным запасом устойчивости по амплитуде DG. Рассчитать статизм для обоих вариантов САУ и сравнить полученные результаты.

5. Для САУ, у которой значение параметра Х2 выбрано в соответствии с заданным запасом устойчивости по амплитуде DG, рассчитать асимптотическую и точную ЛАЧХ, точную логарифмическую фазовую частотную характеристику (ЛФЧХ) и определить запас устойчивости по фазе Dj.

6. Для замкнутой САУ, у которой значение параметра Х2 выбрано в соответствии с заданным запасом устойчивости по амплитуде DG, рассчитать амплитудную (АЧХ) и вещественную (ВЧХ) частотные характеристики и определить по ним показатели качества регулирования.

7. Для замкнутой САУ, у которой значение параметра Х2 выбрано в соответствии с заданным запасом устойчивости по амплитуде DG, рассчитать переходные характеристики по задающему g и возмущающему ¦ воздействиями, определить по ним показатели качества регулирования и сравнить результаты с ранее полученными.

8. Исходя из заданного времени переходного процесса tпп и перерегулирования d = 25% провести синтез последовательного корректирующего устройства и рассчитать переходную характеристику скорректированной САУ по задающему воздействию. Определить показатели качества регулирования для этой САУ и сравнить их с ранее рассчитанными.

 


 

Курсовая работа выполняется в виде расчетного файла с использованием пакета MathCad. Расчеты необходимо снабжать текстовыми комментариями и выводами.

 

Вариант курсовой работы выдается преподавателем. Исходные данные для вариантов курсовой работы приведены в приложении П1, а пример ее выполнения в разделе 1.

 

 

1.1 Исходные данные к схеме приведены на рис.1.

 

 
 

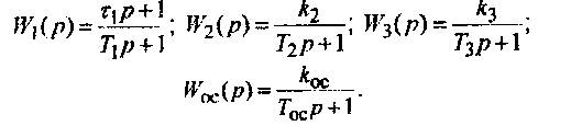
Передаточные функции звеньев САУ


Параметры звеньев и варьируемые параметры приведены в табл.1.

 

Таблица 1.

Исходные параметры Варьируемые параметры
k2 k3 koc T1 C t1 c T2 c T3 c ¦m B g B DG дБ tпп c x1 x2
    0.6 0.01 0.005 0.4 0.04       0.04 T2 k2

 

Примечание: в табл.1 ¦m – максимальная величина возмущающего воздействия; g – задающее воздействие; DG – запас устойчивости по амплитуде; tпп – время переходного процесса (в секундах).

 




Поделиться с друзьями:


Дата добавления: 2014-11-06; Просмотров: 489; Нарушение авторских прав?; Мы поможем в написании вашей работы!


Нам важно ваше мнение! Был ли полезен опубликованный материал? Да | Нет



studopedia.su - Студопедия (2013 - 2025) год. Все материалы представленные на сайте исключительно с целью ознакомления читателями и не преследуют коммерческих целей или нарушение авторских прав! Последнее добавление




Генерация страницы за: 0.008 сек.