Студопедия

КАТЕГОРИИ:


Архитектура-(3434)Астрономия-(809)Биология-(7483)Биотехнологии-(1457)Военное дело-(14632)Высокие технологии-(1363)География-(913)Геология-(1438)Государство-(451)Демография-(1065)Дом-(47672)Журналистика и СМИ-(912)Изобретательство-(14524)Иностранные языки-(4268)Информатика-(17799)Искусство-(1338)История-(13644)Компьютеры-(11121)Косметика-(55)Кулинария-(373)Культура-(8427)Лингвистика-(374)Литература-(1642)Маркетинг-(23702)Математика-(16968)Машиностроение-(1700)Медицина-(12668)Менеджмент-(24684)Механика-(15423)Науковедение-(506)Образование-(11852)Охрана труда-(3308)Педагогика-(5571)Полиграфия-(1312)Политика-(7869)Право-(5454)Приборостроение-(1369)Программирование-(2801)Производство-(97182)Промышленность-(8706)Психология-(18388)Религия-(3217)Связь-(10668)Сельское хозяйство-(299)Социология-(6455)Спорт-(42831)Строительство-(4793)Торговля-(5050)Транспорт-(2929)Туризм-(1568)Физика-(3942)Философия-(17015)Финансы-(26596)Химия-(22929)Экология-(12095)Экономика-(9961)Электроника-(8441)Электротехника-(4623)Энергетика-(12629)Юриспруденция-(1492)Ядерная техника-(1748)

Методика расчета изменения энтропии




 

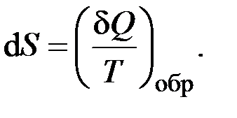
Энтропия S – однозначная функция состояния открытой системы, ее элементарное изменение при обратимом переходе системы из одного состояния в другое равно полученному или отданному количеству теплоты, деленному на температуру, при которой произошел этот процесс.

Для бесконечно малого изменения состояния системы справедливо соотношение

 

При переходе системы из одного равновесного состояния 1 в другое состояние 2 через последовательность промежуточных равновесных состояний изменение энтропии рассчитывается по формуле

, (1)

 

где – количество теплоты, подводимое к системе; – увеличение внутренней энергии системы; – работа, совершаемая системой над внешними телами.

При изохорном процессе работа не совершается , так как Следовательно, изменение энтропии при изохорном процессе определится соотношением

 

, (2)

 

где – число степеней свободы молекулы; – масса газа, – его молярная масса; – молярная газовая постоянная; – термодинамическая температура.

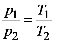
Уравнение изохорного процесса при переходе системы из состояния 1 в состояние 2 связывает давление газа и его температуру прямо пропорциональной зависимостью

 

. (3)

Подставив уравнение (3) в уравнение (2), получим

 

. (4)

 

Следовательно, для определения изменения энтропии при изохорном процессе необходимо измерить давление в начальном и конечном состояниях газа.

 




Поделиться с друзьями:


Дата добавления: 2014-11-07; Просмотров: 489; Нарушение авторских прав?; Мы поможем в написании вашей работы!


Нам важно ваше мнение! Был ли полезен опубликованный материал? Да | Нет



studopedia.su - Студопедия (2013 - 2025) год. Все материалы представленные на сайте исключительно с целью ознакомления читателями и не преследуют коммерческих целей или нарушение авторских прав! Последнее добавление




Генерация страницы за: 0.008 сек.