Студопедия

КАТЕГОРИИ:


Архитектура-(3434)Астрономия-(809)Биология-(7483)Биотехнологии-(1457)Военное дело-(14632)Высокие технологии-(1363)География-(913)Геология-(1438)Государство-(451)Демография-(1065)Дом-(47672)Журналистика и СМИ-(912)Изобретательство-(14524)Иностранные языки-(4268)Информатика-(17799)Искусство-(1338)История-(13644)Компьютеры-(11121)Косметика-(55)Кулинария-(373)Культура-(8427)Лингвистика-(374)Литература-(1642)Маркетинг-(23702)Математика-(16968)Машиностроение-(1700)Медицина-(12668)Менеджмент-(24684)Механика-(15423)Науковедение-(506)Образование-(11852)Охрана труда-(3308)Педагогика-(5571)Полиграфия-(1312)Политика-(7869)Право-(5454)Приборостроение-(1369)Программирование-(2801)Производство-(97182)Промышленность-(8706)Психология-(18388)Религия-(3217)Связь-(10668)Сельское хозяйство-(299)Социология-(6455)Спорт-(42831)Строительство-(4793)Торговля-(5050)Транспорт-(2929)Туризм-(1568)Физика-(3942)Философия-(17015)Финансы-(26596)Химия-(22929)Экология-(12095)Экономика-(9961)Электроника-(8441)Электротехника-(4623)Энергетика-(12629)Юриспруденция-(1492)Ядерная техника-(1748)

И капилляре




Определение характера течения жидкости в сосуде

При малых скоростях потока жидкости ее движение слоистое. Графически такое движение изображают с помощью линий тока. Линия тока – это линия, в каждой точке которой вектор скорости частиц жидкости направлен по касательной к ней. Часть потока, ограниченная линиями тока, образует трубку тока. Движение жидкости называется установившимся (стационарным), если форма и расположение линий тока, а также значение скоростей в каждой ее точке со временем не изменяются. Течение жидкости называется ламинарным, если соседние слои не перемешиваются. Если вдоль потока происходит образование вихрей и перемешивание слоев жидкости, то течение называется турбулентным.

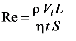
Рейнольдс установил, что характер течения жидкости определяется безразмерной величиной Re (число Рейнольдса)

 

, (7)

 

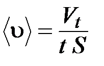
где ρ – плотность жидкости; – средняя по сечению скорость потока, которая определяется отношением объема Vt жидкости, протекающей за время t, к площади S поперечного сечения потока

, (8)

 

– характерный размер для поперечного сечения потока (например, радиус при круглом сечении); – коэффициент внутреннего трения жидкости.

С учетом соотношения (8) формула для определения числа Рейнольдса примет вид

. (9)

 

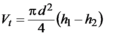
Объем Vt жидкости, протекающей за время t внутри сосуда 1, рассчитывается по формуле

 

, (10)

 

где d – внутренний диаметр сосуда; h 1 и h 2 – положение уровней жидкости в сосуде (рис. 1). Результаты занести в табл. 2.

4.4.1. Рассчитать объем жидкости, протекающей по цилиндрическому сосуду 1 (следовательно, и по капиллярной трубке) за время t.

4.4.2. Рассчитать число Рейнольдса Re для течения жидкости в сосуде 1 и в капиллярной трубке по соотношению (9), используя среднее значение коэффициента внутреннего трения жидкости . Характерный размер L поперечного потока в первом случае принять равным внутреннему радиусу r сосуда 1 и во втором случае – радиусу R капилляра.

Таблица 2

Определение числа Рейнольдса

 

Величина Vt t L Re
кг/м3 Па·с м3 с м  
Сосуд            
Капилляр    

 

4.4.3. Определить характер течения жидкости в сосуде 1 и в капиллярной трубке, учитывая, что критическое значение числа Рейнольдса для трубки круглого сечения Reкр» 103. При значении числа Рейнольдса движение жидкости является ламинарным.

 




Поделиться с друзьями:


Дата добавления: 2014-11-07; Просмотров: 387; Нарушение авторских прав?; Мы поможем в написании вашей работы!


Нам важно ваше мнение! Был ли полезен опубликованный материал? Да | Нет



studopedia.su - Студопедия (2013 - 2025) год. Все материалы представленные на сайте исключительно с целью ознакомления читателями и не преследуют коммерческих целей или нарушение авторских прав! Последнее добавление




Генерация страницы за: 0.01 сек.