Студопедия

КАТЕГОРИИ:


Архитектура-(3434)Астрономия-(809)Биология-(7483)Биотехнологии-(1457)Военное дело-(14632)Высокие технологии-(1363)География-(913)Геология-(1438)Государство-(451)Демография-(1065)Дом-(47672)Журналистика и СМИ-(912)Изобретательство-(14524)Иностранные языки-(4268)Информатика-(17799)Искусство-(1338)История-(13644)Компьютеры-(11121)Косметика-(55)Кулинария-(373)Культура-(8427)Лингвистика-(374)Литература-(1642)Маркетинг-(23702)Математика-(16968)Машиностроение-(1700)Медицина-(12668)Менеджмент-(24684)Механика-(15423)Науковедение-(506)Образование-(11852)Охрана труда-(3308)Педагогика-(5571)Полиграфия-(1312)Политика-(7869)Право-(5454)Приборостроение-(1369)Программирование-(2801)Производство-(97182)Промышленность-(8706)Психология-(18388)Религия-(3217)Связь-(10668)Сельское хозяйство-(299)Социология-(6455)Спорт-(42831)Строительство-(4793)Торговля-(5050)Транспорт-(2929)Туризм-(1568)Физика-(3942)Философия-(17015)Финансы-(26596)Химия-(22929)Экология-(12095)Экономика-(9961)Электроника-(8441)Электротехника-(4623)Энергетика-(12629)Юриспруденция-(1492)Ядерная техника-(1748)

Пенициллины




Бета-лактамные антибиотики

Молекулы этих антибиотиков содержат бета-лактамное кольцо – лактонный цикл, включающий аминогруппу в бета-положении (бета-лактамины).

Бета-лактамные антибиотики ингибируют транспептидазы, участвующие в синтезе пептидогликана клеточной стенки бактерий и таким образом нарушают синтез пептидогликана. Кроме того, бета-лактамные антибиотики ингибируют ингибитор аутолизинов, которые в норме участвуют в расщеплении пептидогликана при делении клеток. При этом аутолизины активируются. Нарушение синтеза пептидогликана и активация аутолизинов приводят к разрушению клеточной стенки бактерий и лизису бактерий.

Среди бета-лактамных антибиотиков выделяют:

1) пенициллины;

2) цефалоспорины;

3) карбапенемы.


В 1928 г. Alexander Fleming (Великобритания) обнаружил в чашке Петри с культурой стафилококков противомикробные свойства зеленой плесени (Penicillium), выделил чистую культуру зеленой плесени и назвал её пенициллином. В 1940 г. его соотечественники Н. W. Florey и Е. В. Chain получили действующее начало зеленой плесени и дали ему то же название – пенициллин. За открытие пенициллина и его терапевтического действия A. Fleming, H.W. Florey и Е.В. Chain в 1945 г. получили Нобелевскую премию.

В 1942 г. пенициллин был получен в Советском Союзе З. В. Ермольевой.

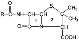
В структуре пенициллина выделяют бета-лактамный цикл (лактонный цикл с аминогруппой в бета-положении) и тиазолидиновый цикл.

Различают биосинтетические (природные) и полусинтетические пенициллины.

К биосинтетическим пенициллинам относятся:

1) бензилпенициллины;

2) феноксиметилпенициллин.

Полусинтетические пенициллины делят на:

1) пенициллины, устойчивые к пенициллиназе (изоксазолиловые пенициллины);

2) пенициллины широкого спектра действия:

а) аминопенициллины,

б) карбоксипенициллины,

в) уреидопенициллины.




Поделиться с друзьями:


Дата добавления: 2014-10-15; Просмотров: 769; Нарушение авторских прав?; Мы поможем в написании вашей работы!


Нам важно ваше мнение! Был ли полезен опубликованный материал? Да | Нет



studopedia.su - Студопедия (2013 - 2025) год. Все материалы представленные на сайте исключительно с целью ознакомления читателями и не преследуют коммерческих целей или нарушение авторских прав! Последнее добавление




Генерация страницы за: 0.007 сек.