Студопедия

КАТЕГОРИИ:


Архитектура-(3434)Астрономия-(809)Биология-(7483)Биотехнологии-(1457)Военное дело-(14632)Высокие технологии-(1363)География-(913)Геология-(1438)Государство-(451)Демография-(1065)Дом-(47672)Журналистика и СМИ-(912)Изобретательство-(14524)Иностранные языки-(4268)Информатика-(17799)Искусство-(1338)История-(13644)Компьютеры-(11121)Косметика-(55)Кулинария-(373)Культура-(8427)Лингвистика-(374)Литература-(1642)Маркетинг-(23702)Математика-(16968)Машиностроение-(1700)Медицина-(12668)Менеджмент-(24684)Механика-(15423)Науковедение-(506)Образование-(11852)Охрана труда-(3308)Педагогика-(5571)Полиграфия-(1312)Политика-(7869)Право-(5454)Приборостроение-(1369)Программирование-(2801)Производство-(97182)Промышленность-(8706)Психология-(18388)Религия-(3217)Связь-(10668)Сельское хозяйство-(299)Социология-(6455)Спорт-(42831)Строительство-(4793)Торговля-(5050)Транспорт-(2929)Туризм-(1568)Физика-(3942)Философия-(17015)Финансы-(26596)Химия-(22929)Экология-(12095)Экономика-(9961)Электроника-(8441)Электротехника-(4623)Энергетика-(12629)Юриспруденция-(1492)Ядерная техника-(1748)

Матричные вычисления




Использование алгебры матриц

 

Использование элементов алгебры матриц является одним из основных методов решения многих экономических задач. Особенно этот вопрос стал актуальным при разработке и ис­пользовании баз данных: при работе с ними почти вся инфор­мация хранится и обрабатывается в матричной форме.

 

Рассмотрим типичные задачи, использующие понятие век­тора и его свойства.

1. Предприятие выпускает ежесуточно четыре вида изде­лий, основные производственно-экономические показатели ко­торых приведены в табл. 16.1.

Требуется определить следующие ежесуточные показатели: расход сырья S, затраты рабочего времени Т и стоимость Р выпускаемой продуции предприятия.

 

 

Решение. По данным табл. 16.1 составим четыре вектора, характеризующие весь производственный цикл:

 

= (20, 50, 30,40) — вектор ассортимента,

= (5, 2, 7, 4) — вектор расхода сырья,

= (10, 5, 15, 8) — вектор затраты рабочего времени,

= (30, 15, 45, 20) — ценовой вектор.

 

Тогда искомые величины будут представлять собой соот­ветствующие скалярные произведения вектора ассортимента на три других вектора, т.е.

 

 

2. Предприятие выпускает 4 вида изделий с использовани­ем 4-х видов сырья. Нормы расхода сырья даны как элементы матрицы А:

 

 

Требуется найти затраты сырья на каждый вид изделия при заданном плане их выпуска: соответственно 60, 50, 35 и 40 ед.

Решение. Составим вектор-план выпуска продукции

 

 

Тогда решение задачи дается вектором затрат, координаты которого и являются величинами затрат сырья по каждому его виду; этот вектор затрат вычисляется как произведение вектора на матрицу А:

 

 

3. Пусть затраты 4-х видов сырья на выпуск 4-х видов про­дукции характеризуются матрицей А, приведенной в предыду­щей задаче. Требуется найти: а) общие затраты на сырье для каждого вида продукции и его перевозку; б) общие затраты на сырье и его транспортировку при условии заданного вектора-плана предыдущей задачи, если известны себестоимости каж­дого вида сырья и его доставки (соответственно 4, 6, 5, 8 и 2, 1, 3, 2 ден. ед.).

Решение. Составим матрицу себестоимостей сырья и его доставки (соответственно 1-я и 2-я строки):

 

 

Тогда ответ на первый вопрос задачи дается в виде произве­дения матрицы А на транспонированную матрицу CT:

 

 

Суммарные затраты на сырье и его доставку (в денежных еди­ницах) при векторе-плане выпуска продукции = (60, 50, 35, 40) определяются произведением вектора на матрицу АСT:

 

 

4. В табл. 16.2 приведены данные о дневной производительности 5 предприятий, выпускающих 4 вида продукции с по­треблением 3-х видов сырья, а также продолжительность работы каждого предприятия в году и цена каждого вида сырья.

 

 

Требуется определить:

1) годовую производительность каждого предприятия по каждому виду изделий;

2) годовую потребность каждого предприятия по каждому виду сырья;

3) годовую сумму кредитования каждого предприятия для закупки сырья, необходимого для выпуска продукции указан­ных видов и количеств.

Решение. Нужно составить матрицы, характеризующие весь интересующий нас экономический спектр производства, а затем при помощи соответствующих операций над ними полу­чить решение данной задачи. Прежде всего приведем матрицу производительности предприятий по всем видам продукции:

 

 

Каждый столбец этой матрицы соответствует дневной про­изводительности отдельного предприятия по каждому виду продукции. Следовательно, годовая производительность j- гопредприятия по каждому виду продукции получается умноже­нием j- гo столбца матрицы А на количество рабочих дней в году для этого предприятия (j = 1, 2, 3, 4, 5). Таким образом, годовая производительность каждого предприятия по каждому из изделий описывается матрицей

 

 

Матрица затрат сырья на единицу изделия (эти показатели по условию одинаковы для всех предприятий) имеет вид

 

 

Дневной расход по типам сырья на предприятиях описывается произведением матрицы В на матрицу А:

 

 

где i -я строка соответствует номеру типа сырья, а j- й стол­бец — номеру предприятия согласно табл. 16.2 (i = 1, 2, 3; j = 1, 2, 3, 4, 5). Ответ на второй вопрос задачи получим по аналогии с матрицей А год умножением столбцов матрицы ВА на соответствующие количества рабочих дней в году для предприятий — это годовая потребность каждого предприятия в каждом виде сырья:

 

 

 

Введем вектор стоимости сырья

 

 

Тогда стоимость общего годового запаса сырья для каждого предприятия получается умножением вектора на матри­цу ВA год:

 

 

Следовательно, суммы кредитования предприятий для закупки сырья определяются соответствующими компонентами векто­ра .

5. Отрасль состоит из п предприятий, выпускающих по од­ному виду продуции каждое; обозначим объем продукции i -го предприятия через xi. Каждое из предприятий отрасли для обеспечения своего производства потребляет часть продукции, выпускаемой им самим и другими предприятиями. Например, в отрасли электротехнического оборудования часть продукции предприятий, выпускающих электродвигатели, силовые кабе­ли, электрокары и т.д., употребляется практически всей от­раслью. Пусть aij доля продукции i -го предприятия, потреб­ляемая j- м предприятием для обеспечения выпуска своей про­дукции объема xj. Возникает естественный вопрос о величине yi количестве продукции i -го предприятия, предназначенной для реализации вне данной отрасли (объем конечного продук­та). Эта величина легко может быть подсчитана по формуле

 

 

Введем в рассмотрение матрицу порядка n, описывающую вну­треннее потребление отрасли:

 

 

Тогда вектор конечного продукта является решением матрич­ного уравнения

 

 

или с использованием единичной матрицы Е получаем

 

 

 

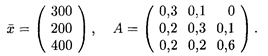
Рассмотрим конкретный пример при п = 3. Пусть вектор выпуска продукции отрасли и матрица внутреннего потребле­ния имеют соответственно вид

 

 

Используя формулу (16.1) и правило сложения матриц, получа­ем вектор объемов конечного продукта, предназначенного для реализации вне отрасли, состоящей из 3-х предприятий:

 




Поделиться с друзьями:


Дата добавления: 2014-10-15; Просмотров: 2023; Нарушение авторских прав?; Мы поможем в написании вашей работы!


Нам важно ваше мнение! Был ли полезен опубликованный материал? Да | Нет



studopedia.su - Студопедия (2013 - 2026) год. Все материалы представленные на сайте исключительно с целью ознакомления читателями и не преследуют коммерческих целей или нарушение авторских прав! Последнее добавление




Генерация страницы за: 0.013 сек.