Студопедия

КАТЕГОРИИ:


Архитектура-(3434)Астрономия-(809)Биология-(7483)Биотехнологии-(1457)Военное дело-(14632)Высокие технологии-(1363)География-(913)Геология-(1438)Государство-(451)Демография-(1065)Дом-(47672)Журналистика и СМИ-(912)Изобретательство-(14524)Иностранные языки-(4268)Информатика-(17799)Искусство-(1338)История-(13644)Компьютеры-(11121)Косметика-(55)Кулинария-(373)Культура-(8427)Лингвистика-(374)Литература-(1642)Маркетинг-(23702)Математика-(16968)Машиностроение-(1700)Медицина-(12668)Менеджмент-(24684)Механика-(15423)Науковедение-(506)Образование-(11852)Охрана труда-(3308)Педагогика-(5571)Полиграфия-(1312)Политика-(7869)Право-(5454)Приборостроение-(1369)Программирование-(2801)Производство-(97182)Промышленность-(8706)Психология-(18388)Религия-(3217)Связь-(10668)Сельское хозяйство-(299)Социология-(6455)Спорт-(42831)Строительство-(4793)Торговля-(5050)Транспорт-(2929)Туризм-(1568)Физика-(3942)Философия-(17015)Финансы-(26596)Химия-(22929)Экология-(12095)Экономика-(9961)Электроника-(8441)Электротехника-(4623)Энергетика-(12629)Юриспруденция-(1492)Ядерная техника-(1748)

Характеристическое уравнение




 

В п. 13.1 было введено определение собственного значения и гобственного вектора матрицы. Пусть собственный вектор квадратной матрицы А порядка n. Тогда имеет место матричное уравнение

 

 

или

 

 

где λ — собственное значение матрицы А, а E и — соответ­ственно единичная матрица и нулевой вектор-столбец. Урав­нение (15.17) эквивалентно системе однородных уравнений

 

 

В уравнениях (15.18) aij — элементы матрицы А, xj — коорди­наты собственного вектора х. Поскольку собственный вектор не является нулевым, то однородная система (15.18) должна иметь ненулевое решение, т.е. в силу следствия 2 (см. выше) определитель этой системы равен нулю:

 

 

Определитель системы однородных уравнений (15.18) называ­ется характеристическим многочленом, а уравнение (15.19) — характеристическим уравнением матрицы А.

Уравнение (15.19) имеет степень n относительно неизвест­ной λ. Его корни являются собственными числами матрицы А. Определив набор этих чисел, для каждого из них можно найти соответствующий собственный вектор как решение однород­ной системы (15.18).

Пример 2. Найти собственные числа и собственные векторы матрицы

 

 

Решение. Характеристическое уравнение для этой матри­цы имеет вид

 

 

откуда, раскрывая определитель, получаем

 

 

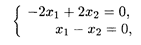
Корни этого уравнения суть λ1 = 2, λ2 = 5. Для нахождения собственных векторов подставим найденные собственные зна­чения в систему однородных уравнений (15.18) при n = 2 с со­ответствующими элементами заданной матрицы А. Собствен­ный вектор, соответствующий собственному значению λ1 = 2, является решением системы

 

 

Пo сути дела, это одно уравнение, поскольку определитель сис­темы равен нулю. Полагая x 2 = b свободной переменной, по­лучаем первый собственный вектор 1 = (—2 b, b) = b (-2, 1). Подстановка второго собственного значения λ2 = 5 приводит к системе уравнений

 

 

которая через свободную переменную x 2 = с определяет второй собственный вектор матрицы А: 2 = (с, с) = с (1, 1).

Поскольку b и с — произвольные числа, то одному соб­ственному значению может соответствовать несколько собст­венных векторов разной длины. Например, собственные векто­ры, соответствующие фундаментальным решениям однород­ных систем (в данном случае их будет по одному на каждое собственное значение), имеют вид 1 = (-2, 1), 2 = (1, 1).




Поделиться с друзьями:


Дата добавления: 2014-10-15; Просмотров: 581; Нарушение авторских прав?; Мы поможем в написании вашей работы!


Нам важно ваше мнение! Был ли полезен опубликованный материал? Да | Нет



studopedia.su - Студопедия (2013 - 2026) год. Все материалы представленные на сайте исключительно с целью ознакомления читателями и не преследуют коммерческих целей или нарушение авторских прав! Последнее добавление




Генерация страницы за: 0.011 сек.