Студопедия

КАТЕГОРИИ:


Архитектура-(3434)Астрономия-(809)Биология-(7483)Биотехнологии-(1457)Военное дело-(14632)Высокие технологии-(1363)География-(913)Геология-(1438)Государство-(451)Демография-(1065)Дом-(47672)Журналистика и СМИ-(912)Изобретательство-(14524)Иностранные языки-(4268)Информатика-(17799)Искусство-(1338)История-(13644)Компьютеры-(11121)Косметика-(55)Кулинария-(373)Культура-(8427)Лингвистика-(374)Литература-(1642)Маркетинг-(23702)Математика-(16968)Машиностроение-(1700)Медицина-(12668)Менеджмент-(24684)Механика-(15423)Науковедение-(506)Образование-(11852)Охрана труда-(3308)Педагогика-(5571)Полиграфия-(1312)Политика-(7869)Право-(5454)Приборостроение-(1369)Программирование-(2801)Производство-(97182)Промышленность-(8706)Психология-(18388)Религия-(3217)Связь-(10668)Сельское хозяйство-(299)Социология-(6455)Спорт-(42831)Строительство-(4793)Торговля-(5050)Транспорт-(2929)Туризм-(1568)Физика-(3942)Философия-(17015)Финансы-(26596)Химия-(22929)Экология-(12095)Экономика-(9961)Электроника-(8441)Электротехника-(4623)Энергетика-(12629)Юриспруденция-(1492)Ядерная техника-(1748)

Вычисление обратной матрицы методом Гаусса




 

Метод Гаусса является поистине универсальным в решении систем линейных алгебраических уравнений. Мы продемонст­рируем применение этого метода при вычислении обратных матриц.

Практически этот наиболее простой способ вычисления об­ратной матрицы состоит в следующих шагах.

1. К матрице А, по отношению к которой ищется обратная матрица, приписывается справа единичная матрица Е.

2. Путем преобразований методом Гаусса над строками рас­ширенной матрицы (А|Е) матрица А приводится к виду еди­ничной матрицы.

3. После окончания указанного вычислительного процесса, т.е. когда на месте исходной матрицы А будет сформирована единичная матрица, на месте приписанной справа единичной матрицы Е будет находиться обратная матрица А -1. Иными словами, вместо расширенной матрицы (А|Е) в итоге получaется расширенная матрица (E | A -1).

Продемонстрируем эту последовательность действий на не­сложном примере.

Пример 1. Найти обратную матрицу исходной матрицы

 

 

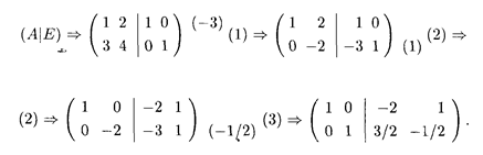
Решение. Выполняем последовательно шаги 1 — 3:

 

 

Схема вычислений по методу Гаусса пояснена здесь теми же обозначениями, что и в п. 15.2, при этом стрелками показано, к какой строке прибавляется измененная строка. Последний этап вычислений, показанный стрелкой (3), состоит в делении по­следней строки расширенной матрицы на -2. Итак, обратная матрица имеет вид

 

 

Нетрудно непосредственно проверить правильность прове­денных вычислений по определению обратной матрицы: АА -1 = А- 1 А.

 




Поделиться с друзьями:


Дата добавления: 2014-10-15; Просмотров: 452; Нарушение авторских прав?; Мы поможем в написании вашей работы!


Нам важно ваше мнение! Был ли полезен опубликованный материал? Да | Нет



studopedia.su - Студопедия (2013 - 2026) год. Все материалы представленные на сайте исключительно с целью ознакомления читателями и не преследуют коммерческих целей или нарушение авторских прав! Последнее добавление




Генерация страницы за: 0.009 сек.