Студопедия

КАТЕГОРИИ:


Архитектура-(3434)Астрономия-(809)Биология-(7483)Биотехнологии-(1457)Военное дело-(14632)Высокие технологии-(1363)География-(913)Геология-(1438)Государство-(451)Демография-(1065)Дом-(47672)Журналистика и СМИ-(912)Изобретательство-(14524)Иностранные языки-(4268)Информатика-(17799)Искусство-(1338)История-(13644)Компьютеры-(11121)Косметика-(55)Кулинария-(373)Культура-(8427)Лингвистика-(374)Литература-(1642)Маркетинг-(23702)Математика-(16968)Машиностроение-(1700)Медицина-(12668)Менеджмент-(24684)Механика-(15423)Науковедение-(506)Образование-(11852)Охрана труда-(3308)Педагогика-(5571)Полиграфия-(1312)Политика-(7869)Право-(5454)Приборостроение-(1369)Программирование-(2801)Производство-(97182)Промышленность-(8706)Психология-(18388)Религия-(3217)Связь-(10668)Сельское хозяйство-(299)Социология-(6455)Спорт-(42831)Строительство-(4793)Торговля-(5050)Транспорт-(2929)Туризм-(1568)Физика-(3942)Философия-(17015)Финансы-(26596)Химия-(22929)Экология-(12095)Экономика-(9961)Электроника-(8441)Электротехника-(4623)Энергетика-(12629)Юриспруденция-(1492)Ядерная техника-(1748)

Метод Гаусса. Следует заметить, что как метод обратной матрицы, так и метод Крамера являются очень трудоемкими по количест­ву вычислительной работы




 

Следует заметить, что как метод обратной матрицы, так и метод Крамера являются очень трудоемкими по количест­ву вычислительной работы. Оба они требуют порядка n 2 n! арифметических действий для нахождения решения системы линейных уравнений. При п = 5 это составит около 3000 дей­ствий, при п = 10 — около 3,6 ∙ 108 действий. При решении серьезных задач приходится иметь дело с системами уравне­ний порядка п = 100 и более. При таких масштабах даже су­перкомпьютерам потребуется огромное время для вычисления решения. Кроме того, погрешности компьютерного округления чисел приводят к значительным ошибкам в расчетах численно­го решения систем уравнений большого порядка. Между тем существуют более экономичные методы решения систем ли­нейных уравнений, основанные на предварительном преобра­зовании расширенной матрицы системы к специальному виду. В частности, одним из них является метод Гаусса, практичес­кую реализацию которого мы приводим ниже.

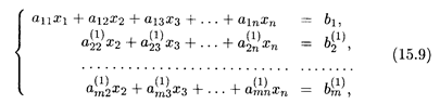
Рассмотрим систему уравнений общего вида (15.1). Пусть для определенности a 11 ≠ 0 (если a 11 = 0, то можно переста­вить на первое место ненулевое слагаемое или начать с другого уравнения). Умножим первое уравнение системы (15.1) на чис­ло a 21/ a 11 и затем вычтем его из второго уравнения этой системы. Умножим обе части первого уравнения на число a 31/ a 11 и затем вычтем его из третьего уравнения и так далее, т.е. процесс заключается в последовательном вычитании первого уравнения, умножаемого на числа ai 1/ a 11, из i -го уравнения (i = 2, 3,..., m). Таким образом, в результате элементарных преобразований мы получим эквивалентную систему, в кото­рой начиная со второго уравнения отсутствуют слагаемые, со­держащие неизвестное x 1:

 

 

где верхний индекс в скобках означает новые коэффициенты, полученные после первого шага. Для удобства записи будем оперировать расширенной матрицей системы, отделяя в ней вертикальной чертой столбец свободных членов. Итак, после первого шага, содержащего (т — 1) элементарных преобразо­ваний системы, мы переходим от расширенной матрицы (15.4) исходной системы к расширенной матрице

 

 

Второй шаг заключается в том, что теперь второе уравне­ние системы (15.7) или вторая строка матрицы (15.8) исполь­зуется для аналогичных элементарных преобразований строк с третьей по m -ю: эта строка последовательно умножается на число и вычитается из i -й строки (i = 3, 4,..., m). В результате этих (m - 2) элементарных преобразований полу­чаем новую расширенную матрицу, соответствующую новой эквивалентной системе уравнений. Эта матрица имеет вид

 

 

где верхний индекс означает новые коэффициенты. В случае если элемент = 0, то второе уравнение можно поменять местами с другим уравнением, у которого элемент 0.

Продолжим этот процесс аналогичным образом (т.е. на 3-м шаге преобразуются строки с 4-й по т- ю, на 4-м шаге — стро­ки с 5-й по m -ю и т.д.) до тех пор, пока не дойдем до последней m -й строки. После (r - 1)-го шага процесса последовательного исключения неизвестных мы получим следующую расширен­ную матрицу:

 

 

Последние (m - r) строк этой матрицы соответствуют урав­нениям эквивалентной системы уравнений

 

 

Эти уравнения могут появиться, если соответствующие урав­нения исходной системы (15.1) представляют собой линейные комбинации других уравнений этой системы, о чем говорилось в п. 15.1. Здесь мы не исследовали заранее систему (15.1) на совместность; поэтому если эта система несовместна, то хотя бы одно из чисел , ,..., не равно нулю. Таким образом, метод Гаусса позволяет на определенном шаге устано­вить возможную несовместность исходной системы линейных уравнений или выявить и удалить уравнения, являющиеся ли­нейными комбинациями других уравнений системы (15.1), если она совместна.

Пусть система (15.1) совместна, тогда все правые части уравнений (15.10) равны нулю, и после удаления нулевых урав­нений в эквивалентной системе и нулевых строк в расширенной матрице получаем матрицу специфического ступенчатого ви­да, ранг которой равен r. Все элементы этой матрицы, стоящие слева или ниже элементов аij, равны нулю:

 

 

Эта расширенная матрица соответствует системе уравнений ранга r, которая имеет вид

 

 

Система уравнений (15.12) уже полностью подготовлена к на­хождению решения, процесс которого осуществляется снизу вверх, т.е. от последнего уравнения к первому. Переход от сис­темы (15.1) к эквивалентной ей системе (15.12) называется пря­мым ходом, а нахождение неизвестных из системы (15.12) — обратным ходом метода Гаусса. Далее последовательность действий аналогична изложенной выше.

1. Если r = n, то система (15.12) имеет вид

 

 

Поднимаясь снизу вверх, последовательно находим (обратный ход метода Гаусса):

— из последнего r -го уравнения неизвестное xr = ;

из (r - 1)-го уравнения неизвестное xr- 1 путем подста­новки в это уравнение уже найденного неизвестного xr;

из i -го уравнения неизвестное xi при подстановке в него найденных величин xr, xr- 1,..., xi- 1;

— и так далее до первого уравнения, из которого при под­становке в него уже найденных величин xr, xr- 1,..., x 2 находим х 1.

2. Ранг системы уравнений (15.12) меньше n. В этом слу­чае, как и ранее, объявляем неизвестные xr+ 1, xr +2, …, xп, сво­бодными и формируем правые части уравнений (15.12), остав­ляя в левых частях слагаемые, содержащие базисные перемен­ные x 1, x 2,..., xr:

 

 

Решение этой системы находится обратным ходом метода; те­перь базисные неизвестные зависят от свободных неизвестных, которые могут принимать любые значения, а потому система (15.1) имеет бесчисленное множество решений.

Рассмотрим примеры решения систем линейных уравнений методом Гаусса.

 

Пример 2. Пример 1 п. 15.2.

Решение. Выпишем расширенную матрицу этой системы; справа в скобках укажем числа, на которые умножается соот­ветствующая строка матрицы для того, чтобы сложить ее с нижними строками. Горизонтальными стрелками показаны пе­реходы к расширенным матрицам эквивалентных систем. Пер­вую строку расширенной матрицы исходной системы умножа­ем последовательно на (-2) и (-1) и прибавляем ее соответ­ственно к 2-й и 3-й строкам этой матрицы. После первого шага, состоящего в "обнулении" первого столбца согласно формуле (15.9), получаем (номера шагов показаны перед стрелками пе­рехода)

 

 

Второй шаг прямого хода метода Гаусса состоит в операциях с преобразованной расширенной матрицей: прибавляем вторую строку, умноженную на (-3), к 3-й строке:

 

 

Последний вид расширенной матрицы является конечным эта­пом прямого хода метода (см. формулу (15.13)), после чего при­ступаем к обратному ходу, т.е. находим неизвестные, начиная с последнего. Полученная расширенная матрица соответствует системе уравнений

 

 

которая эквивалентна исходной системе. Отсюда последова­тельно находим: z = -1/2, у = 0 ,х = 1- 0 - (-1/2) = 3/2.

 

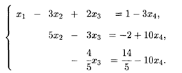
Пример 3. Решить методом Гаусса систему линейных уравнений

 

 

Решение. Составим расширенную матрицу этой системы, после чего выполним соответствующие шаги прямого хода ме­тода Гаусса. Имеем

 

 

Последняя нулевая строка в расширенной матрице, полученной после 3-го шага, появилась из-за того, что в исходной системе четвертое уравнение является суммой 1-го и 3-го уравнений. Система совместная, и после удаления нулевой строки заклю­чительный вид расширенной матрицы соответствует системе трех уравнений с четырьмя неизвестными (ранг системы мень­ше числа неизвестных). Полагая x 4 свободной переменной, по­лучаем

 

 

Из этой системы обратным ходом метода Гаусса находим

 

 

Данная система уравнений имеет бесчисленное множество ре­шений, поскольку x 4 может принимать любые значения.

 




Поделиться с друзьями:


Дата добавления: 2014-10-15; Просмотров: 462; Нарушение авторских прав?; Мы поможем в написании вашей работы!


Нам важно ваше мнение! Был ли полезен опубликованный материал? Да | Нет



studopedia.su - Студопедия (2013 - 2026) год. Все материалы представленные на сайте исключительно с целью ознакомления читателями и не преследуют коммерческих целей или нарушение авторских прав! Последнее добавление




Генерация страницы за: 0.012 сек.