Студопедия

КАТЕГОРИИ:


Архитектура-(3434)Астрономия-(809)Биология-(7483)Биотехнологии-(1457)Военное дело-(14632)Высокие технологии-(1363)География-(913)Геология-(1438)Государство-(451)Демография-(1065)Дом-(47672)Журналистика и СМИ-(912)Изобретательство-(14524)Иностранные языки-(4268)Информатика-(17799)Искусство-(1338)История-(13644)Компьютеры-(11121)Косметика-(55)Кулинария-(373)Культура-(8427)Лингвистика-(374)Литература-(1642)Маркетинг-(23702)Математика-(16968)Машиностроение-(1700)Медицина-(12668)Менеджмент-(24684)Механика-(15423)Науковедение-(506)Образование-(11852)Охрана труда-(3308)Педагогика-(5571)Полиграфия-(1312)Политика-(7869)Право-(5454)Приборостроение-(1369)Программирование-(2801)Производство-(97182)Промышленность-(8706)Психология-(18388)Религия-(3217)Связь-(10668)Сельское хозяйство-(299)Социология-(6455)Спорт-(42831)Строительство-(4793)Торговля-(5050)Транспорт-(2929)Туризм-(1568)Физика-(3942)Философия-(17015)Финансы-(26596)Химия-(22929)Экология-(12095)Экономика-(9961)Электроника-(8441)Электротехника-(4623)Энергетика-(12629)Юриспруденция-(1492)Ядерная техника-(1748)

Равномерное распределение




Основные распределения непрерывных случайных величин

Определение 1. Распределение вероятностей называется рав­номерным, если на интервале возможных значений случайной величины плотность распределения является постоянной.

Пусть на интервале (a, b) плотность распределения являет­ся постоянной величиной: f(x) = С. Определим значение С из условия (18.35):

 

 

откуда получаем, что f(x) = С = 1/(b - а). Значит, искомая плотность равномерного распределения дается формулой

 

 

График плотности равномерного распределения указан на рис. 18.5.

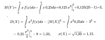
Пример 1. Найти среднеквадратическое отклонение случай­ной величины X, распределенной равномерно на интерва­ле (1, 5).

Решение. Согласно формуле (18.39), плотность распреде­ления указанной случайной величины является ненулевой и равна 0,25 на интервале (1, 5). По формулам (18.36) и (18.38) последовательно вычисляем:

 

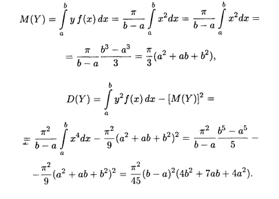
Пример 2. Радиус круга измерен приближенно на интервале (а, b). Полагая, что радиус является случайной величиной X, распределенной равномерно в этом интервале, найти матема­тическое ожидание и дисперсию площади круга.

Решение. Площадь круга также является случайной ве­личиной, вычисляемой по формуле Y = πX 2; она имеет то же равномерное распределение, что и случайная величина X. По формулам (18.36) и (18.38) получаем

 




Поделиться с друзьями:


Дата добавления: 2014-10-15; Просмотров: 591; Нарушение авторских прав?; Мы поможем в написании вашей работы!


Нам важно ваше мнение! Был ли полезен опубликованный материал? Да | Нет



studopedia.su - Студопедия (2013 - 2026) год. Все материалы представленные на сайте исключительно с целью ознакомления читателями и не преследуют коммерческих целей или нарушение авторских прав! Последнее добавление




Генерация страницы за: 0.011 сек.