Студопедия

КАТЕГОРИИ:


Архитектура-(3434)Астрономия-(809)Биология-(7483)Биотехнологии-(1457)Военное дело-(14632)Высокие технологии-(1363)География-(913)Геология-(1438)Государство-(451)Демография-(1065)Дом-(47672)Журналистика и СМИ-(912)Изобретательство-(14524)Иностранные языки-(4268)Информатика-(17799)Искусство-(1338)История-(13644)Компьютеры-(11121)Косметика-(55)Кулинария-(373)Культура-(8427)Лингвистика-(374)Литература-(1642)Маркетинг-(23702)Математика-(16968)Машиностроение-(1700)Медицина-(12668)Менеджмент-(24684)Механика-(15423)Науковедение-(506)Образование-(11852)Охрана труда-(3308)Педагогика-(5571)Полиграфия-(1312)Политика-(7869)Право-(5454)Приборостроение-(1369)Программирование-(2801)Производство-(97182)Промышленность-(8706)Психология-(18388)Религия-(3217)Связь-(10668)Сельское хозяйство-(299)Социология-(6455)Спорт-(42831)Строительство-(4793)Торговля-(5050)Транспорт-(2929)Туризм-(1568)Физика-(3942)Философия-(17015)Финансы-(26596)Химия-(22929)Экология-(12095)Экономика-(9961)Электроника-(8441)Электротехника-(4623)Энергетика-(12629)Юриспруденция-(1492)Ядерная техника-(1748)

Тема 11. Радиационный теплообмен в поглощающей и излучающей среде




Особенности излучения многоатомных газов. Исследованиями установлено, что одноатомные и двухатомные газы практически прозрачны для теплового излучения. Многоатомные же газы, такие, например, как , обладают излучающей и поглощающей способностью. Эти газы входят в состав продуктов сгорания и при высоких температурах их излучение существенно влияет на процессы теплообмена.

Особенностью многоатомных газов является селективность (т.е., выборочность) их излучения и поглощения. Они излучают и поглощают тепловые волны только на отдельных полосах спектра. На остальных же участках длин волн эти газы прозрачны для теплового излучения.

Например, СО2 имеет три полосы излучения и ; водяной пар - четыре полосы ;

. Напомним, что твердые тела и жидкости имеют сплошной спектр поглощения и излучения.

Излучение газов носит объемный характер и для них справедливо равенство А+D=1 при R=0. Как известно, для твердых тел характерно поверхностное излучение и справедливо равенство А+R=1 при D=0. Излучение (и поглощение) многоатомных газов тем больше, чем больше их парциальное давление в смеси и толщина газового слоя. Кроме того, плотность излучения пропорциональна абсолютной температуре в степени 3,5 и 3 соответственно и может быть рассчитана по эмпирическим формулам:

где - парциальное давление в газовой смеси;

- толщина слоя газа, м.

Следует напомнить также, что все газы, которые излучают энергию, способны ее поглощать, и полосы излучения являются и полосами поглощения.

Степень черноты газов. В практических расчетах излучения газов удобно пользоваться законом четвертой степени абсолютной температуры. Для этого вводят так называемую степень черноты газа . Тогда плотность потока излучения объема газа, отнесенную к поверхности замыкающей его оболочки, можно найти по формуле:

.

Степень черноты газа – это отношение плотность потока излучения объема газа, отнесенной к поверхности замыкающей его оболочки, к плотности потока излучения абсолютно черного тела Е0:

Так как , то ,

где

Значения степени черноты при давлении газовой смеси одна атмосфера представлены в литературе в виде графиков.

Для определения рассчитывают:

- парциальное давление ,

где - содержание в газе в %;

- давление газа.

- толщину слоя газа или эффективную длину пути луча ,

где - коэффициент эффективного газового излучения;

- объем газа, ;

- поверхность оболочки газа, .

Коэффициент определяет долю излучения газа, которая доходит до стенок. Часть энергии поглощается газом, поэтому . Обычно в расчетах принимают = 0,9.

Затем по произведению и температуре газа Тг с помощью графиков находят .

Аналогично определяют степень черноты водяного пара по соответствующему графику .

Степень черноты слоя газа, содержащего СО2 и Н2О, вычисляют по формуле:

,

где b – поправка, которая учитывает частичное наложение спектров излучения СО2 и Н2О. В результате этого наложения часть энергии, излучаемая одним газом, поглощается другим.

При расчетах на ПЭВМ удобнее использовать аналитическое выражение для (закон Бугера):

,

где ;

- коэффициент ослабления лучей, который определяется по соотношению:

.

Лучистый теплообмен между газом и оболочкой. Данный случай имеет прикладное значение, например, при расчете теплообмена между факелом и стенкой или между высокотемпературными продуктами сгорания и стенками канала, по которому они движутся.

eГ,TГ

Рис. 11.1. К расчету теплового потока от излучающего газа на стенку

 

Имеется объем газовой среды, ограниченный изотермической серой поверхностью , причем . Определим результирующее излучение на стенку .

Проведем условно проницаемую поверхность, которая бесконечно близко прилегает к оболочке. Эту поверхность пронизывают встречные тепловые потоки . Следовательно, можно записать:

где , поскольку имеет место лучистый теплообмен между двумя условно параллельными поверхностями.

Для эффективных потоков излучения справедливы соотношения: ,

а для результирующих - равенство .

После подстановки и решения относительно имеем:

.

Полученное выражение можно представить в виде:

,

где - приведенная степень черноты системы;

sпр = eпрσ0 – приведенный коэффициент излучения.

Теплообмен излучением между двумя поверхностями, разделенными поглощающим газом. Система включает две параллельные бесконечно длинные и широкие поверхности, расположенные на расстоянии L друг от друга. Температуры поверхностей , поглощательные их способности - . Необходимо найти плотность результирующего потока на вторую поверхность .

В стационарном режиме поглощающая среда находится в тепловом равновесии по отношению к излучающим поверхностям. Она передает равно столько тепловой энергии, сколько сама ее поглощает, то есть:

(1)

Eпад1
Eпад2
Eэф1
Eэф2
L
0,5EГ
0,5EГ
T1, A1
T2, A2

Рис. 11.2. К расчету теплообмена излучением при наличии поглощающего газа

 

Система включает две параллельные бесконечно длинные и широкие поверхности, расположенные на расстоянии L друг от друга. Температуры поверхностей , поглощательные их способности - . Необходимо найти плотность результирующего потока на вторую поверхность .

В стационарном режиме поглощающая среда находится в тепловом равновесии по отношению к излучающим поверхностям. Она передает равно столько тепловой энергии, сколько сама ее поглощает, то есть:

(1)

Поскольку канал симметричен, то плотность теплового потока на поверхность 1 или 2 складывается из прошедшего через слой газа потока эффективного излучения противоположной стороны и половины излучения газа:

. (2)

Результирующий поток на поверхность 2 согласно определению равен:

(3)

Подставив (1) и (2) в (3), получим:

.

Так как и , получим:

.

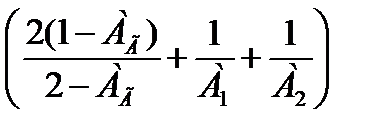
Преобразуем выражение в круглых скобках:

Тогда выражение для определения Ер2 принимает вид:

, где

При лучепрозрачной среде и выражение для принимает вид:

Поглощающий слой газа существенно изменяет величину Ер2. Например, если , то результирующий тепловой поток на 14% ниже, чем при лучепрозрачной среде.




Поделиться с друзьями:


Дата добавления: 2014-11-08; Просмотров: 985; Нарушение авторских прав?; Мы поможем в написании вашей работы!


Нам важно ваше мнение! Был ли полезен опубликованный материал? Да | Нет



studopedia.su - Студопедия (2013 - 2026) год. Все материалы представленные на сайте исключительно с целью ознакомления читателями и не преследуют коммерческих целей или нарушение авторских прав! Последнее добавление




Генерация страницы за: 0.011 сек.