Студопедия

КАТЕГОРИИ:


Архитектура-(3434)Астрономия-(809)Биология-(7483)Биотехнологии-(1457)Военное дело-(14632)Высокие технологии-(1363)География-(913)Геология-(1438)Государство-(451)Демография-(1065)Дом-(47672)Журналистика и СМИ-(912)Изобретательство-(14524)Иностранные языки-(4268)Информатика-(17799)Искусство-(1338)История-(13644)Компьютеры-(11121)Косметика-(55)Кулинария-(373)Культура-(8427)Лингвистика-(374)Литература-(1642)Маркетинг-(23702)Математика-(16968)Машиностроение-(1700)Медицина-(12668)Менеджмент-(24684)Механика-(15423)Науковедение-(506)Образование-(11852)Охрана труда-(3308)Педагогика-(5571)Полиграфия-(1312)Политика-(7869)Право-(5454)Приборостроение-(1369)Программирование-(2801)Производство-(97182)Промышленность-(8706)Психология-(18388)Религия-(3217)Связь-(10668)Сельское хозяйство-(299)Социология-(6455)Спорт-(42831)Строительство-(4793)Торговля-(5050)Транспорт-(2929)Туризм-(1568)Физика-(3942)Философия-(17015)Финансы-(26596)Химия-(22929)Экология-(12095)Экономика-(9961)Электроника-(8441)Электротехника-(4623)Энергетика-(12629)Юриспруденция-(1492)Ядерная техника-(1748)

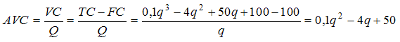
Решение. (TC – общие издержки, ATC – средние общие издержки, AVC – средние переменные издержки, AFC – средние постоянные издержки




Решение

(TC – общие издержки, ATC – средние общие издержки, AVC – средние переменные издержки, AFC – средние постоянные издержки, Q – объем производства).

Постоянные издержки не зависят от объема выпуска, в этом задании они равны 100 ден. ед.

Курс экономической теории: Общие основы экономической теории. Микроэкономика. Макроэкономика. Основы национальной экономики: учеб. пособие для студентов вузов / рук. авт. коллектива и науч. ред. А.В. Сидорович; МГУ им. М.В. Ломоносова. – М.: Изд-во «Дело и Сервис», 2007. – С. 169–170.

Задание 15.3.

В краткосрочный период фирма производит 500 единиц продукции. Средние переменные издержки составляют 2 ден. ед., средние постоянные издержки – 0,5 ден. ед. Общие издержки составят ___ ден. ед.

 

1250*

2,5

 


(TC – общие издержки, ATC – средние общие издержки, AVC – средние переменные издержки, AFC – средние постоянные издержки, Q – объем производства).

Курс экономической теории: Общие основы экономической теории. Микроэкономика. Макроэкономика. Основы национальной экономики: учеб. пособие для студентов вузов / рук. авт. коллектива и науч. ред. А.В. Сидорович; МГУ им. М.В. Ломоносова. – М.: Изд-во «Дело и Сервис», 2007. – С. 169–170.

Задание 15.4.

В краткосрочный период фирма производит 600 единиц продукции. Средние переменные издержки составляют 4 ден. ед., средние постоянные издержки – 2 ден. ед., выручка фирмы равна 4000 ден. ед. Прибыль составит ___ ден. ед.

 

400*




Поделиться с друзьями:


Дата добавления: 2014-11-25; Просмотров: 5733; Нарушение авторских прав?; Мы поможем в написании вашей работы!


Нам важно ваше мнение! Был ли полезен опубликованный материал? Да | Нет



studopedia.su - Студопедия (2013 - 2026) год. Все материалы представленные на сайте исключительно с целью ознакомления читателями и не преследуют коммерческих целей или нарушение авторских прав! Последнее добавление




Генерация страницы за: 0.007 сек.