Студопедия

КАТЕГОРИИ:


Архитектура-(3434)Астрономия-(809)Биология-(7483)Биотехнологии-(1457)Военное дело-(14632)Высокие технологии-(1363)География-(913)Геология-(1438)Государство-(451)Демография-(1065)Дом-(47672)Журналистика и СМИ-(912)Изобретательство-(14524)Иностранные языки-(4268)Информатика-(17799)Искусство-(1338)История-(13644)Компьютеры-(11121)Косметика-(55)Кулинария-(373)Культура-(8427)Лингвистика-(374)Литература-(1642)Маркетинг-(23702)Математика-(16968)Машиностроение-(1700)Медицина-(12668)Менеджмент-(24684)Механика-(15423)Науковедение-(506)Образование-(11852)Охрана труда-(3308)Педагогика-(5571)Полиграфия-(1312)Политика-(7869)Право-(5454)Приборостроение-(1369)Программирование-(2801)Производство-(97182)Промышленность-(8706)Психология-(18388)Религия-(3217)Связь-(10668)Сельское хозяйство-(299)Социология-(6455)Спорт-(42831)Строительство-(4793)Торговля-(5050)Транспорт-(2929)Туризм-(1568)Физика-(3942)Философия-(17015)Финансы-(26596)Химия-(22929)Экология-(12095)Экономика-(9961)Электроника-(8441)Электротехника-(4623)Энергетика-(12629)Юриспруденция-(1492)Ядерная техника-(1748)

Айнымалы электр тогы




Еркін тербелістер тез өшеді, сондықтан олар көп қолданылмайды. Керісінше, өшпейтін тербелістер әртүрлі салаларда кеңінен қолданылады. Төменде айнымалы токты өндіру және электр энергиясын алыс қашықтықтарға тарату туралы айтылады. Тізбекте орныққан еріксіз электромагниттік тербелістерді айнымалы ток деп атайды. Тізбектегі кернеудің гармониялық өзгерістері өткізгіштердің ішіндегі электр өрісі кернеулігінің гармониялық өзгерісін туғызады. Олай болса, ток күші де соған сәйкес өзгереді.

Айнымалы электр тогы генераторының қарапайым үлгісі:

Магнит ағыны [, мұндағы α – векторымен рамаға тұрғызылған нормаль арасындағы бұрыш]. Рама айналғанда α бұрышын өзгерткенде, магнит ағыны да өзгереді. Электромагниттік индукция құбылысы әсерінен рамада айнымалы индукциялық ток пайда болады.

 

(ω ‒ раманың бұрыштық жылдамдығы)

 

Электромагниттік индукция заңы бойынша индукция ЭҚК-ші:

 

 

индукция ЭҚК-нің амплитудасы. Рама N орамнан тұрса, онда. u ‒ айнымалы токтың кернеуінің өзгерісі, Um ­ кернеудің амплитудалық мәні.

 

i ‒ ток күшінің өзгерісі, мұндағы φы ‒ ток күші мен кернеудің тербелістері арасындағы фаза бойынша ығысуы, Im ­ ток күшінің амплитудалық мәні.

 

Ток күші мен кернеудің әсерлік мәндері

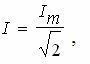
Айнымалы ток күшінің әсерлік мәні I айнымалы ток өткізгіште қанша жылу мөлшерін бөліп шығарса, өткізгіште сонша уақытта дәл сондай жылу мөлшерін бөліп шығаратын тұрақты ток күшіне тең

 

 

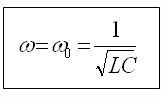
Айнымалы ток тізбегіндегі резонанс   Сыртқы айнымалы кернеудің жиілігі тербелмелі контурдың меншікті жиілігімен бірдей болғанда, ток күшінің еріксіз тербеліс амплитудасының кенет арту құбылысын электрлік тербелмелі контурдағы резонанс деп атайды. (Бұл құбылыс радиобайланыста таратушы байланыстың жиілігіне келтіру үшін қолданылады)

 

және

 

Айнымалы ток тізбегінде сыйымдылық кедергі болғанда Ом заңы орындалады және кернеуден ток күшінің тербеліс фазалары -ге озады:

және себебі

‒ айнымалы ток тізбегіндегі сыйымдылық кедергі (реактивті кедергі).

 

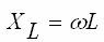
Айнымалы ток тізбегінде индуктивтілік кедергі болғанда Ом заңы орындалады және кернеуден ток күшінің тербеліс фазалары -ге қалады: және

‒ айнымалы ток тізбегіндегі индуктивтілік кедергі (реактивті кедергі). Айнымалы ток тізбегінде толық кедергі болғанда Ом заңы орындалады

 

Кернеу мен ток күшінің тербеліс фазалары тізбектің әр бөлігінде әртүрлі болады. Актив кедергідегі кернеудің тербеліс фазасы ток күшінің тербеліс фазасымен сәйкес келеді: сиымдылық кедергіде кернеуден ток күшінің тербеліс фазалары -ге озады:

индуктивтілік кедергіде кернеуден ток күшінің тербеліс фазалары -ге қалады:

‒ айнымалы ток тізбегіндегі толық кедергі.

 

Айнымалы токтың жасайтын пайдалы жұмысын бағалау үшін қуаттың бір периодтағы орташа мәнін алады мұндағы мәндерін орындарына қойып, қуаттың орташа мәнін ток пен кернеудің әсерлік мәні арқылы өрнектейміз.

‒ айнымалы ток тізбегіндегі орташа қуат, cosφ=R/Z ‒ қуат коэффициенті.




Поделиться с друзьями:


Дата добавления: 2014-11-25; Просмотров: 8741; Нарушение авторских прав?; Мы поможем в написании вашей работы!


Нам важно ваше мнение! Был ли полезен опубликованный материал? Да | Нет



studopedia.su - Студопедия (2013 - 2025) год. Все материалы представленные на сайте исключительно с целью ознакомления читателями и не преследуют коммерческих целей или нарушение авторских прав! Последнее добавление




Генерация страницы за: 0.124 сек.