Студопедия

КАТЕГОРИИ:


Архитектура-(3434)Астрономия-(809)Биология-(7483)Биотехнологии-(1457)Военное дело-(14632)Высокие технологии-(1363)География-(913)Геология-(1438)Государство-(451)Демография-(1065)Дом-(47672)Журналистика и СМИ-(912)Изобретательство-(14524)Иностранные языки-(4268)Информатика-(17799)Искусство-(1338)История-(13644)Компьютеры-(11121)Косметика-(55)Кулинария-(373)Культура-(8427)Лингвистика-(374)Литература-(1642)Маркетинг-(23702)Математика-(16968)Машиностроение-(1700)Медицина-(12668)Менеджмент-(24684)Механика-(15423)Науковедение-(506)Образование-(11852)Охрана труда-(3308)Педагогика-(5571)Полиграфия-(1312)Политика-(7869)Право-(5454)Приборостроение-(1369)Программирование-(2801)Производство-(97182)Промышленность-(8706)Психология-(18388)Религия-(3217)Связь-(10668)Сельское хозяйство-(299)Социология-(6455)Спорт-(42831)Строительство-(4793)Торговля-(5050)Транспорт-(2929)Туризм-(1568)Физика-(3942)Философия-(17015)Финансы-(26596)Химия-(22929)Экология-(12095)Экономика-(9961)Электроника-(8441)Электротехника-(4623)Энергетика-(12629)Юриспруденция-(1492)Ядерная техника-(1748)

Электромагниттік еркін тербелістер




Электромагниттік тербелістер мен толқындар - зарядтың, ток күшінің, кернеудің, электр өрісі мен магнит өрісінің периодты өзгеруін және электромагниттік өрістердің уақыт өтуіне қарай кеңістікте таралуын зерттейтін физиканың тарауы.

Сыртқы әрекет жоқ кезде пайда болатын тербелістерді еркін электромагниттік тербелістер деп атайды.

Тербелмелі контур ‒ С-сыйымдылығы бар конденсатордан және L индуктивтігі бар катушкадан тұратын, электромагниттік тербелістер алуға арналған ең қарапайым жүйе (құрылғы).

Идеал тербелмелі контурда → R= 0

Конденсаторды батереяға қосып зарядтағанда оның алатын энергиясы Конденсатор катушкамен тұйықталғанда ол разрядталып катушка арқылы электр тогы жүреді. Өздік индукция құбылысы әсерінен конденсатордың қайыра зарядталу және разрядталуы кезінде электр тогы біртіндеп артады және кемиді. Электромагниттік тербелістер пайда болады. ((q) заряд, (I) ток күші, (U) кернеу, (Wэ) электр өрісінің энергиясы, (Wм) магнит өрісінің энергиясы периодты түрде өзгереді.

Идеал тербелмелі контурдың тербеліс теңдеуі

Егер тербелмелі контур идеал болса (R = 0) энергияның сақталу заңы орындалады (W‒const). Тұрақты шаманың туындысы 0‒ге тең болғандықтан:

 

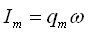
  теңдеудің шешімі: qm ‒ амплитуда (зарядтың максимал мәні)

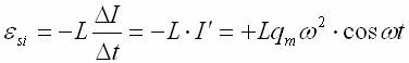
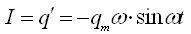
Физикалық шаманың синус немесе косинус заңы бойынша өтетін уақытқа тәуелді периодты өзгерісі гармониялық тербеліс деп аталады. Идеал тербелмелі контурдағы тербелістер гармониялық болады. Төменде ток күшінің, кернеудің және Э.Қ.К- тің гармониялық теңдеуі көрсетілген.

 

 

 

Мұндағы i, u, e - ток күшінің, кернеудің, Э.Қ.К- тің лездік мәндері, Im, Um, εm - ток күшінің, кернеудің, Э.Қ.К-тің амплитудалық мәндері, ωt ­ тербеліс фазасы, ω ­ циклді жиілік [рад/с].

 




Поделиться с друзьями:


Дата добавления: 2014-11-25; Просмотров: 3696; Нарушение авторских прав?; Мы поможем в написании вашей работы!


Нам важно ваше мнение! Был ли полезен опубликованный материал? Да | Нет



studopedia.su - Студопедия (2013 - 2026) год. Все материалы представленные на сайте исключительно с целью ознакомления читателями и не преследуют коммерческих целей или нарушение авторских прав! Последнее добавление




Генерация страницы за: 0.009 сек.