Студопедия

КАТЕГОРИИ:


Архитектура-(3434)Астрономия-(809)Биология-(7483)Биотехнологии-(1457)Военное дело-(14632)Высокие технологии-(1363)География-(913)Геология-(1438)Государство-(451)Демография-(1065)Дом-(47672)Журналистика и СМИ-(912)Изобретательство-(14524)Иностранные языки-(4268)Информатика-(17799)Искусство-(1338)История-(13644)Компьютеры-(11121)Косметика-(55)Кулинария-(373)Культура-(8427)Лингвистика-(374)Литература-(1642)Маркетинг-(23702)Математика-(16968)Машиностроение-(1700)Медицина-(12668)Менеджмент-(24684)Механика-(15423)Науковедение-(506)Образование-(11852)Охрана труда-(3308)Педагогика-(5571)Полиграфия-(1312)Политика-(7869)Право-(5454)Приборостроение-(1369)Программирование-(2801)Производство-(97182)Промышленность-(8706)Психология-(18388)Религия-(3217)Связь-(10668)Сельское хозяйство-(299)Социология-(6455)Спорт-(42831)Строительство-(4793)Торговля-(5050)Транспорт-(2929)Туризм-(1568)Физика-(3942)Философия-(17015)Финансы-(26596)Химия-(22929)Экология-(12095)Экономика-(9961)Электроника-(8441)Электротехника-(4623)Энергетика-(12629)Юриспруденция-(1492)Ядерная техника-(1748)

Конденсаторлар




  Конденсатор ортасының қалыңдығы өткізгіштердің өлшемдерінен аз, диэлектрик қабатымен бөлінген екі өткізгіштен тұратын өткізгіштер жүйесі. Өткізгіштер модульдары бірдей, әр аттас зарядтармен зарядталады.

 

  Жазық конденсатор диэлектрик қабатымен бөлінген, параллель орналасқан екі жазық металл пластиналар.

 

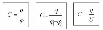
Электр сыйымдылығы Тәуелді: -өткізгіштің пішініне -өткізгіштің өлшеміне -ортаның (e) -басқа өткізгіштермен қатынасына Өткізгіш зарядының (конденсатордың бір астарының) оның потенциалына (екі астарының арасындағы потенциалдар айырымына) қатынасымен анықталады  

 

Х.Б.жүйесінде электрсыйымдылық бірлігіне 1 фарад алынады. 1 Ф – 1Кл заряд бергенде, потенциалдар айырымы 1 В-қа өзгеретін өткізгіштің электрсыйымдылығы. Бұл бірлік өте үлкен: мысалы, Жер сияқты аса үлкен өткізгіштің сыйымдылығы не бары 7·10-4 Ф, сондықтан тәжірибелік мақсатта үлестік бірліктер қолданылады:

1мкФ = 10-6 Ф; 1нФ = 10-9 Ф; 1пФ = 10-12 Ф

 

 

Мұндағы С - жазық конденсатордың сыйымдылығы, ε - диэлектрлік өтімділік, ε0 - электр тұрақтысы, S – конденсатор астарларының ауданы, d – диэлектриктің қалыңдығы.

Жазық конденсатордың сыйымдылығы конденсатор астарларының ауданына, диэлектрлік өтімділігіне тура пропорционал және диэлектриктің қалыңдығына кері пропорционал.

Зарядталған конденсатор энергиясы W [Дж] – ол зарядталған конденсатор астарларының арасындағы электр өрісінің энергиясы.

 

 

Мұндағы W - зарядталған конденсатор энергиясы, q - конденсатор астарларының заряды, C - конденсатордың сыйымдылығы, U - конденсатор астарларының ұштарындағы кернеу.

 

Көлем бірлігіне келетін өріс энергиясы конденсатор энергиясының тығыздығы деп аталады мұндағы Е – электр өрісінің кернеулігі.

 

Конденсаторларды жалғау

 

Параллель Тізбектей

 

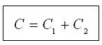
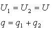
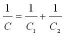
Конденсаторларды параллель жалғағанда жалпы сыйымдылық ең үлкен сыйымдылықтан үлкен болады, ал тізбектей жалғағанда жалпы сыйымдылық ең кіші сыйымдылықтан кіші болады.

Тұрақты электр тогы (анықтама)

Қозғалмайтын электр зарядтары практикада сирек қолданылады. Электр зарядтары бізге қызмет істеу үшін оларды қозғалысқа келтіру керек, яғни электр тогын туғызу керек. Электр тогы үйлерді жарықтандырады, станокты қозғалысқа келтіреді, радио толқындар туғызады, барлық электронды есептеу машиналарының жұмысын жүргізеді.

Электр тогы. Токтың әсерлері.

Электр тогы - электр өрісінің әсерінен зарядталған бөлшектердің реттелген (бағытталған) қозғалысы (токтың бағыты оң зарядтың бағытымен сәйкес).

 

Электр тогының болу шарты:

1. еркін зарядталған бөлшектердің болуы

2. электр өрісінің (өткізгіш ұшында потенциалдар айырымының)

Электр тогының әсері:

1. Жылулық (тогы бар өткізгіш қызады)

2. Химиялық (электр тогы өткізгіштің химиялық құрамын өзгертеді)

3. Магниттік (тогы бар өткізгіштерге және магниттелген денелерге әсер етеді)

4) Физиологиялық (жануарлар бойымен ток өткенде ток бұлшық еттерінің жиырылуын тудырады)

Ток күші I [А] - бірлік уақыт ішінде өткізгіштің көлденең қимасы арқылы өтетін зарядқа тең скаляр шама.

Х.Б. жүйесінде ток күші ампермен өлшенеді. Ампер-негізгі бірліктердің бірі. Оны тәжірибе жүзінде тогы бар екі параллель өткізгіштің өзара әрекеттесу күштері бойынша анықтаған француз ғалымы А.Ампердің құрметіне атаған.

1 ампер - вакуумде бір-бірінен 1 метр қашықтықта орналасқан, көлденең қимасының ауданы өте аз, шексіз ұзын түзу екі өткізгіштің бойымен өтетін тұрақты ток күші. Мұнда 1A ток ұзындығы 1 метр өткізгіштердің әрбір кесіндісіне 2·10-7 Н-ға тең өзара әрекеттесу күшін тудырады.




Поделиться с друзьями:


Дата добавления: 2014-11-25; Просмотров: 15442; Нарушение авторских прав?; Мы поможем в написании вашей работы!


Нам важно ваше мнение! Был ли полезен опубликованный материал? Да | Нет



studopedia.su - Студопедия (2013 - 2026) год. Все материалы представленные на сайте исключительно с целью ознакомления читателями и не преследуют коммерческих целей или нарушение авторских прав! Последнее добавление




Генерация страницы за: 0.013 сек.