Студопедия

КАТЕГОРИИ:


Архитектура-(3434)Астрономия-(809)Биология-(7483)Биотехнологии-(1457)Военное дело-(14632)Высокие технологии-(1363)География-(913)Геология-(1438)Государство-(451)Демография-(1065)Дом-(47672)Журналистика и СМИ-(912)Изобретательство-(14524)Иностранные языки-(4268)Информатика-(17799)Искусство-(1338)История-(13644)Компьютеры-(11121)Косметика-(55)Кулинария-(373)Культура-(8427)Лингвистика-(374)Литература-(1642)Маркетинг-(23702)Математика-(16968)Машиностроение-(1700)Медицина-(12668)Менеджмент-(24684)Механика-(15423)Науковедение-(506)Образование-(11852)Охрана труда-(3308)Педагогика-(5571)Полиграфия-(1312)Политика-(7869)Право-(5454)Приборостроение-(1369)Программирование-(2801)Производство-(97182)Промышленность-(8706)Психология-(18388)Религия-(3217)Связь-(10668)Сельское хозяйство-(299)Социология-(6455)Спорт-(42831)Строительство-(4793)Торговля-(5050)Транспорт-(2929)Туризм-(1568)Физика-(3942)Философия-(17015)Финансы-(26596)Химия-(22929)Экология-(12095)Экономика-(9961)Электроника-(8441)Электротехника-(4623)Энергетика-(12629)Юриспруденция-(1492)Ядерная техника-(1748)

Ткізгіштегі электр тогы 2 страница




Магнит индукция векторы [Тл] Магнит өрісінің күштік сипаты болатын векторлық физикалық шама. Тогы бар рама (контур) ‒ магнит өрісінде бағдарланады. М − айналдырушы момент (контурдың пішініне тәуелді емес), I ‒ ток күші, S ‒ раманың ауданы (тәжірибе жүзінде дәлелденген).

 

Магнит өрісінің сипаты, магнит индукция векторы

 

Магнит өрісінің векторының бағыты

 

‒ векторының бағыты сәйкес келеді: а) Магнит өрісінде бағдарланған магниттік тілшенің солтүстік (N) ұшының бағыты. б) Тогы бар рамаға түсірілген (n) нормальдің бағыты бұрғы ережесіне сәйкес (оңқай винт).

 

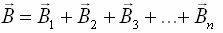
  Суперпозиция принципі Өрістің берілген нүктесіндегі магнит индукция векторы осы нүктедегі барлық магнит өрістерінің индукция векторларының геометриялық қосындысына тең.

 

Магнит өрісінің графиктік кескіні

 

Магнит индукциясының сызықтары Өрістің кезкелген нүктесіне жүргізілген жанама осы нүктедегі магнит өрісінің индукциясының бағытымен сәйкес келетін сызықтар: 1. Өзі өзімен тұйықталған сызықтар (құйынды өріс). 2. Өзара қиылыспайды. 3. Шартты түрде: бірлік ауданды тесіп өтетін сызықтардың саны магнит индукциясының сан мәніне тең.

 

Магнит өрісі парақтан жоғары бағытталған. Тогы бар түзу өткізгіш Тогы бар орам   Магнит өрісі парақ үстінен астына қарай бағытталған. Тогы бар катушка (электро магнит) катушканың ішіндегі өріс біртекті

 

Магнит ағыны Ф[Вб]- Кеңістіктің берілген ауданына перпендикуляр тесіп өтетін магнит индукция сызықтарының санына тең скаляр физикалық шама.

 

  Ф max   Ф = 0 В ‒ векторының модулі, S ‒ раманың ауданы, α ‒ вектормен рамаға жүргізілген нормаль арасындағы бұрыш.  

 

Магнит ағыны Ф [Вб] – ауданы S раманы перпендикуляр бағытта тесіп өтетін магнит индукция векторының проекциясы мен сол ауданның көбейтіндісімен анықталады.

Өрістің энергетикалық сипаты

Тұйық контур бойымен жұмыс 0 ‒ге тең емес. Яғни, магнит өрісі потенциалды емес.

Магниттік күштер

Магнит өрісіне сандық сипаттама беру үшін магнит өрісі тарапынан тоғы бар өткізгішке әсер ететін күшті анықтайтын заңды қорытуымыз керек. Магнит өрісі өткізгіштің әр бөлігіне әсер етеді, осы күшті білсек, тұйық өткізгішке бүтіндей әсер етіп тұрған күшті есептеуге болады. Өткізгіштің жеке бөлігіне (ток элементіне) әсер етуші күшті анықтайтын заңды 1820 жылы А. Ампер тағайындаған. Ампер күші - магнит өрісінде тогы бар өткізгішке әсер етуші күш.

 

Магнит индукциясы өткізгішке перпендикуляр болғанда күш ең үлкен мәніне жетеді. Бұл күш тізбектегі ток күшіне және өткізгіштің ұзындығына тура пропорционал болады. Осы күштің ток күші мен өткізгіштің ұзындығының көбейтіндісіне қатынасы магнит өрісін сипаттайды. Магнит индукция векторының модулі деп ток жүріп тұрған өткізгіш бөлігіне магнит өріс тарапынан әсер ететін ең үлкен күштің ток күші мен өткізгіш бөлігінің көбейтіндісіне қатынасын айтамыз

Магнит индукциясының бірлігіне ұзындығы 1 м өткізгіш бөлігіне ондағы ток күші 1А болғанда, өріс тарапынан әсер ететін ең үлкен күш 1 Н болатын біртекті өрістің магнит индукциясын алуға болады. Магнит индукциясының бірлігі Югославияның ғалымы Н. Тесланың құрметіне тесла (Тл) деп аталған. Өріс тарапынан тогы бар өткізгішке әсер етуші күшті өлшеу арқылы магнит индукция векторының модулін және бағытын анықтауға болады. Төменде Ампер күшінің модулі берілген.

          B – магнит индукция векторының модулі, I – өткізгіштегі ток күші, Δl – өткізгіштің ұзындығы, α - магнит индукция век- торы мен өткізгіш бөлігі- нің арасындағы бұрыш.

 

- Ампер күшінің бағыты Сол қол ережесі Сол қолдың алақанының орналасуы: o векторы ‒ алақанға перпендикуляр кіретіндей, o I ‒ токтың бағыты төрт саусақ бағытымен бағыттас, o FA. max – бас бармақтың бағытымен бағыттас.

 

Лоренц күші - магнит өрісі тарапынан қозғалыстағы электр зарядына әсер етуші күш, ол зат құрлысының электрондық теориясының негізін салған Голландияның физигі Х. Лоренцтің құрметіне осылай аталған. Ол күш Ампер күшінің көмегімен анықталады.

 

В – магнит индукция векторының модулі, q0 – бөлшектің заряды, υ ‒ бөлшектің жылдамдығы. α – жылдамдық векторы мен магнит индукциясы векторының арасындағы бұрыш.

α=0°; 180° → α=90° →

 

‒ Лоренц күшінің бағыты Сол қол ережесі Сол қолдың алақанының орналасуы: o В векторы ‒ алақанға кіреді, o жылдамдық векторы ‒ төрт саусақ бағытымен бағыттас Fл Лоренц күші оң (+) заряд үшін бас бармақтың бағытымен сәйкес, ал теріс (-) заряд үшін бас бармақ бағытына қарама - қарсы.

 

Лоренц күші бөлшектің жылдамдығына перпендикуляр болғандықтан ол жұмыс атқармайды. Ол күш бөлшектің жылдамдығының модулін өзгертпейді, тек жылдамдығының бағытын өзгертеді.

Магнит өрісіндегі зарядталған бөлшектердің қозғалысы

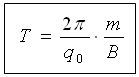
Лоренц күші бөлшек жылдамдығының модулі мен өріс индукциясына байланысты. Бұл күш жылдамдыққа перпендикуляр болғандықтан, бөлшектің центрге тартқыш үдеуін анықтайды. Ньютонның екінші заңын пайдаланып бөлшектің шеңбер бойымен қозғалысын қарастырып, оның радиусын анықтауға болады.

 

Зарядталған бөлшектер түзу сызықты бірқалыпты қозғалады.
Егер заряд магнит өрісіне перпендикуляр ұшып кірсе, онда α=90° Егер заряд шеңбер бойымен бірқалыпты қозғалса  
Онда Лоренц күші жұмыс атқармайды! шеңбердің радиусы Период   Егер заряд магнит өрісіне бұрыш жасай ұшып кірсе, онда:    

 

- бөлшек шеңбер бойымен бірқалыпты қозғалыс жасайды.

- бөлшек түзусызықты бірқалыпты қозғалыс жасайды.

Қорытындысында заряд спираль бойымен қозғалады.

Заттың магниттік қасиеті

Денелердің магниттік қасиеттері болу себебін тұнғыш рет француз ғалымы А. Ампер тапқан. Алдымен дат ғалымы Х. Эрстед тәжірибелеріндегі магнит тілшесінің тогы бар өткізгіш маңында бұрылуын бақылаудан кейін Ампер Жердің магнетизмін жер шарының ішімен ағып жүрген токтар тудырады деп болжады.

 

Заттың магниттік қасиеті микроскопиялық электр токтарымен (атомда электрондардың орбиталдық қозғалысы) ‒ Ампер токтарымен анықталады.

 

а) Токтардың бағыты реттелмеген болса, олардың тудырған магнит өрістері бір-бірін компенсациялайды, яғни дене магниттелмейді.

 

б) Егер сыртқы магнит өрісінде микротоктардың бағыты реттелсе, заттың өзінде меншікті магнит өрісі пайда болады да, дене магниттеледі.

 

- сыртқы өрістің магнит индукциясы - заттың ішіндегі магнит өрісінің индукциясы μ ‒ ортаның магнит өтімділігі диамагнетиктер μ < 1 магниттік қасиеттері нашар заттар  
μ > 1 парамагнетиктер  
μ >> 1 ферромагнетиктер магниттік қасиеттері күшті заттар  

 

Берілген ферромагнетиктерге арналған белгілі бір температурадан артық температурада, оның ферромагнетиктік қасиеттері жойылады. Бұл температураны осы құбылысты ашқан француз ғалымының атымен Кюри температурасы деп атайды. Темір үшін Кюри температурасы 7530С, никель үшін 3650С, кобальт үшін 10000С. Ферромагнетиктердің магниттік қасиеттерің жан-жақты зерттеген орыстың ғалымы физик А. Г. Столетов.

Электромагниттік индукция заңы

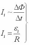
Тәжірибе жүзінде тағайындалған: Индукциялық токтың күші контур шектеп тұрған бетті тесіп өтетін магнит ағынының өзгеру жылдамдығына тура пропорционал. Фарадей осындай қорытындыға келді.

 

Индукциялық токтың күші контур шектеп тұрған бетті тесіп өтетін магнит ағынының өзгеру жылдамдығына тура пропорционал. Фарадей осындай қорытындыға келді.

 

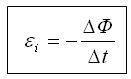
Тұйық контурдағы индукцияның ЭҚК-і модулі жағынан магнит ағынының өзгеріс жылдамдығына тең, ал бағыты жағынан оған қарама-қарсы

 

Қозғалмайтын өткізгіште электромагниттік индукция құбылысының негізі тек индукциялық токтың пайда болуында емес, электрондарды өткізгіште қозғалысқа келтіретін құйынды электр өрісінің тууында

 

Магнит индукциясы неғұрлым тез өзгерсе, құйынды электр өрісінің кернеулігі де соғұрлым жоғарырақ болады   (оңқай бұрғы ережесі)   (оңқай бұрғы ережесі)

 

o құйынды электр өрісі зарядтарға байланысты емес, оның кернеулік сызықтары өзімен-өзі тұйықталған;

o құйынды электр өрісі потенциалды емес (Ақұй ≠ 0 тұйық контурда);

o күш сызықтары қиылыспайды,

o (кернеулік сызықтарының бағыты индукциялық ток бағытымен бағыттас).

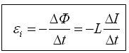
Өздік индукция - э лектромагниттік индукция құбылысының дербес түрі. Егер катушка арқылы айнымалы ток жүріп жатса, онда катушканы тесіп өтетін магнит ағыны өзгереді. Сол себептен айнымалы ток (Isi) өтіп жатқан өткізгіштің өзінде индукцияның ЭҚК-і (εsi) пайда болады. Бұл құбылыс өздік индукция деп аталады.

 

Тізбекті тұйықтағанда 1. 2-ші шам кеш жанады 2. 3. (Ленц ережесі)
Тізбекті ажыратқанда 1. 2-ші шам жарқырайды 2. 3. (Ленц ережесі)

 

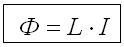
Токтың тудыратын магнит өрісі индукциясы В векторының модулі ток күшіне тура пропорционал болады, ал Ф магнит ағыны векторына пропорционал болғандықтан

 

осыдан

 

L ‒ контурдың индуктивтілігі, I – ток күші, Ф – магнит ағыны, индуктивтілігі 1 Гн катушкадан 1 А ток өткенде тудыратын магнит ағыны 1Вб (вебер).

 

Электромагниттік индукция заңын пайдаланып

Индуктивтілік L [Гн] - Сандық мәні жағынан ток күшін 1 с ішінде 1 А-ге өзгерткен кезде контурда пайда болатын өздік индукциясының ЭҚК-іне тең болатын физикалық шама. Индуктивтік өткізгіштің өлшемдеріне және оның пішініне, ортаның магниттік қасиеттеріне тәуелді электр тізбегінің «инерттілігінің» өлшемі.

Магнит өрісінің энергиясы

Электромагниттік индукция (сипаттама)

Электромагниттік индукция құбылысы

 

Фарадей тәжірибесі 1831ж М.Фарадей (ағыл.). Магнит пен тұйықталған катушканың бір-біріне қатысты қозғалуының салдарынан катушкада ток пайда болады, ол ток индукциялық ток деп аталады
Электромагниттік индукция   Тұйықталған өткізгіш контурда оны тесіп өтетін (Ф) магнит ағыны өзгергенде (магнит индукциясының сызықтарының саны өзгергенде) индукциялық токтың пайда болу құбылысы.

 

Ленц ережесі

Тұйық контурда пайда болған индукциялық ток өзінің магнит өрісімен өзін тудырған магнит ағынының өзгерісіне қарсы әсер етеді Егер Ф↓, онда В0↑↑В (б-сурет) Егер Ф↑, онда В0↑↓В (а-сурет)

 

Ленц ережесінің көмегімен, бұранда ережесін пайдаланып, индукциялық токтың бағыты анықталады.




Поделиться с друзьями:


Дата добавления: 2014-11-25; Просмотров: 4021; Нарушение авторских прав?; Мы поможем в написании вашей работы!


Нам важно ваше мнение! Был ли полезен опубликованный материал? Да | Нет



studopedia.su - Студопедия (2013 - 2026) год. Все материалы представленные на сайте исключительно с целью ознакомления читателями и не преследуют коммерческих целей или нарушение авторских прав! Последнее добавление




Генерация страницы за: 0.01 сек.