Студопедия

КАТЕГОРИИ:


Архитектура-(3434)Астрономия-(809)Биология-(7483)Биотехнологии-(1457)Военное дело-(14632)Высокие технологии-(1363)География-(913)Геология-(1438)Государство-(451)Демография-(1065)Дом-(47672)Журналистика и СМИ-(912)Изобретательство-(14524)Иностранные языки-(4268)Информатика-(17799)Искусство-(1338)История-(13644)Компьютеры-(11121)Косметика-(55)Кулинария-(373)Культура-(8427)Лингвистика-(374)Литература-(1642)Маркетинг-(23702)Математика-(16968)Машиностроение-(1700)Медицина-(12668)Менеджмент-(24684)Механика-(15423)Науковедение-(506)Образование-(11852)Охрана труда-(3308)Педагогика-(5571)Полиграфия-(1312)Политика-(7869)Право-(5454)Приборостроение-(1369)Программирование-(2801)Производство-(97182)Промышленность-(8706)Психология-(18388)Религия-(3217)Связь-(10668)Сельское хозяйство-(299)Социология-(6455)Спорт-(42831)Строительство-(4793)Торговля-(5050)Транспорт-(2929)Туризм-(1568)Физика-(3942)Философия-(17015)Финансы-(26596)Химия-(22929)Экология-(12095)Экономика-(9961)Электроника-(8441)Электротехника-(4623)Энергетика-(12629)Юриспруденция-(1492)Ядерная техника-(1748)

Место дисциплины в структуре основной образовательной программы 1 страница




СПЕЦГЛАВЫ МАТЕМАТИКИ

 

Методические указания и индивидуальные задания для студентов ИДО,
обучающихся по направлению 150700 «Машиностроение»

 

 

Составитель Е.А. Молдованова

 

Семестр  
Кредиты  
Лекции, часов  
Практические занятия, часов  
Индивидуальные задания № 1
Самостоятельная работа, часов  
Формы контроля зачет

 

 

Издательство

Томского политехнического университета

 

 

Спецглавы математики: метод. указ. и индивид. задания для студентов ИДО, обучающихся по направлению 150700 «Машиностроение» / сост. Е.А. Молдованова; Томский политехнический университет. – Томск: Изд-во Томского политехнического университета, 2013. – 74 с.

 

 

Методические указания и индивидуальные задания рассмотрены и рекомендованы к изданию методическим семинаром кафедры высшей математики ФТИ «____» ________ 2013 г., протокол № _____.

 

 

Зав. кафедрой ВМ ФТИ

профессор, доктор физико-математических наук ________К.П.Арефьев

 

 

Аннотация

Методические указания и индивидуальные задания по дисциплине «Спецглавы математики» предназначены для студентов ИДО, обучающихся по направлению 150700 «Машиностроение». Данная дисциплина изучается в одном семестре.

Приводится содержание основных тем дисциплины, темы практических занятий, варианты индивидуальных домашних заданий и список рекомендуемой литературы. Даны методические указания по выполнению индивидуальных домашних заданий.

 



ОГЛАВЛЕНИЕ

1. МЕСТО ДИСЦИПЛИНЫ В СТРУКТУРЕ ОСНОВНОЙ ОБРАЗОВАТЕЛЬНОЙ ПРОГРАММЫ 4

 

2. СОДЕРЖАНИЕ ТЕОРЕТИЧЕСКОГО РАЗДЕЛА ДИСЦИПЛИНЫ... 5

 

3. СОДЕРЖАНИЕ ПРАКТИЧЕСКОГО РАЗДЕЛА ДИСЦИПЛИНЫ... 7

3.1. Тематика практических занятий. 7

 

4. ИНДИВИДУАЛЬНЫЕ ДОМАШНИЕ ЗАДАНИЯ.. 8

4.1. Общие методические указания. 8

4.2. Варианты индивидуального задания и методические указания. 9

 

5. ПРОМЕЖУТОЧНЫЙ КОНТРОЛЬ (ЗАЧЕТ). 71

5.1. Требования для сдачи экзамена. 71

5.2. Вопросы для подготовки к зачету. 71

5.3. Образец билета к зачету для студентов классической заочной формы обучения 72

5.4. Образец билета к зачету для студентов, обучающихся с использованием дистанционных образовательных технологий. 73

 

6. УЧЕБНО-МЕТОДИЧЕСКОЕ ОБЕСПЕЧЕНИЕ ДИСЦИПЛИНЫ... 74

6.1. Литература обязательная. 74

6.2. Литература дополнительная. 74

6.3. Internet-ресурсы.. 74

 

Модуль «Спецглавы математики» входит в вариативную часть математического и естественнонаучного цикла объединенного блока образовательных программ. Этот модуль является необходимым для освоения остальных дисциплин математического и естественнонаучного цикла и дисциплин профессионального цикла ООП.

Пререквизиты – Линейная алгебра и аналитическая геометрия, дифференциальное исчисление, интегральное исчисление и дифференциальные уравнения.

Кореквизиты – Гуманитарный, социальный и экономический цикл дисциплин, физика, химия, экология, инженерная и компьютерная графика, информационные технологии, физическая культура, дисциплины профессионального цикла.

2. СОДЕРЖАНИЕ ТЕОРЕТИЧЕСКОГО РАЗДЕЛА ДИСЦИПЛИНЫ

Тема 1. Функции комплексного переменного

Комплексные числа и действия над ними. Модуль, аргумент комплексного числа. Понятие функции комплексного переменного. Реальная и мнимая части функции. Основные элементарные функции комплексного переменного и их свойства. Однозначные и многозначные функции. Точки ветвления и их классификация. Производная функции комплексного переменного. Дифференцируемость. Теорема о необходимом и достаточном условиях дифференцируемости функции в точке. Условия Коши - Римана. Геометрический смысл производной. Понятие аналитичности функции комплексного переменного. Интеграл от функции комплексного переменного вдоль кривой и его свойства. Теорема о независимости интеграла от пути интегрирования. Интегральная формула Коши.

Числовые ряды с комплексными членами. Абсолютная сходимость. Степенные ряды. Теорема Абеля. Круг и радиус сходимости. Ряд Тейлора. Теорема о разложении аналитической функции в ряд Тейлора. Ряды Лорана, определение. Главная и правильная части ряда Лорана. Кольцо сходимости ряда Лорана. Теорема Лорана о разложении аналитической функции в кольце в ряд. Нули аналитической функции. Порядок нуля. Теорема о нулях функции. Понятие аналитического продолжения. Особые точки и их классификация. Поведение функции в окрестности особой точки. Вычет функции в изолированной особой точке. Формулы для вычисления вычетов. Основная теорема о вычетах. Применение вычетов к вычислению интегралов.

Рекомендуемая литература: [1, гл. 3].

Методические указания

Комплексные числа дают единственно возможное расширение множества действительных чисел с сохранением их алгебраических свойств. Обстоятельный анализ свойств функций немыслим без выхода в комплексную область. Переход к комплексному аргументу дает возможность глубже изучить элементарные функции и установить интересные связи между ними. Комплексный анализ находит многочисленные применения в самых разных областях.

Одной из отличительных черт комплексного анализа является то, что в нем сочетаются аналитические и геометрические, вполне классические и самые новые методы. В комплексном анализе соединяются разные разделы математики, разные прикладные науки. Этот факт может доставить трудности при изучении функций комплексного переменного, но в тоже время, сделает изучение данного курса увлекательным.

Вопросы для самоконтроля

1. Что такое комплексное число?

2. Что такое мнимая единица?

3. Что называется модулем комплексного числа?

4. Что называется вещественной частью комплексного числа?

5. Что называется мнимой частью комплексного числа?

6. Что называется аргументом комплексного числа?

7. Как сложить два комплексных числа?

8. Как перемножить два комплексных числа?

9. Какие числа называются комплексно сопряженными?

10. Какие комплексные числа называются равными?

11. Как перейти от алгебраической формы комплексного числа к тригонометрической?

12. Как перейти от алгебраической формы комплексного числа к показательной?

13. Как перейти от показательной формы комплексного числа к алгебраической?

14. Как сложить два комплексных числа в показательной форме?

15. Как извлечь корень n -ой степени из комплексного числа?

16. Сколько существует различных значений корня 4-ой степени из комплексного числа?

17. Как найти производную функции комплексного переменного?

18. Какую роль в теории ФКП играют условия Коши-Римана?

19. Какие функции называются аналитическими?

20. Какие функции называются гармоническими?

21. Следует ли из аналитичности функции ее гармоничность и наоборот?

22. Что характеризует модуль производной функции комплексного переменного в точке z 0?

23. Что характеризует аргумент производной функции комплексного переменного в точке z 0?

24. В каком случае для вычисления интеграла от ФКП можно применять формулу Ньютона – Лейбница?

25. Чему равен интеграл от аналитической функции по замкнутому контуру?

26. Какой интеграл называется «интегралом Коши»?

27. Чем отличается ряд на множестве вещественных чисел от ряда на множестве комплексных чисел?

28. Каково достаточное условие сходимости ряда комплексных чисел?

29. Чем отличается ряд Лорана от ряда Тейлора?

30. Какой геометрической фигурой на плоскости является область сходимости ряда Лорана?

31. Что такое вычет?

32. Чему равен коэффициент при первой отрицательной степени ряда Лорана?

33. Как связан вычет в бесконечно удаленной точке с вычетами в конечных точках?

 

 

3. СОДЕРЖАНИЕ ПРАКТИЧЕСКОГО РАЗДЕЛА ДИСЦИПЛИНЫ

3.1. Тематика практических занятий

1. Дифференцирование функции комплексного переменного (2 часа).

2. Интегрирование функции комплексного переменного (2 часа).

Рекомендуемая литература: [1, гл. 3].

4. ИНДИВИДУАЛЬНЫЕ ДОМАШНИЕ ЗАДАНИЯ

4.1. Общие методические указания

В соответствии с учебным графиком предусмотрено выполнение одного индивидуального домашнего задания (ИДЗ). Выполнение задания необходимо для закрепления теоретических знаний и приобретения практических навыков решения типовых задач.

Номер варианта индивидуального заданияопределяется по последним двум цифрам номера зачетной книжки. Если образуемое ими число больше 20, то следует взять сумму этих цифр. Например, если номер зачетной книжки Д-11А11/14, то номер варианта задания равен 14. Если номер зачетной книжки З-11А11/31, то номер варианта задания равен 4.

Для студентов классической заочной формы обучения (КЗФ)

При оформлении необходимо соблюдать следующие требования:

1. Индивидуальное задание оформляется в отдельной тетради.

2. Обязательно должен быть титульный лист. На титульном листе указываются номер индивидуального задания, номер варианта, название дисциплины; фамилия, имя, отчество студента; номер группы, шифр.

3. Каждая задача должна начинаться с условия задачи (с условными обозначениями, которые в дальнейшем будут использованы при решении задач). При необходимости выполняется рисунок.

4. Решения задач должны быть подробными, со всеми промежуточными расчётами, с указанием использованных формул и т.п.

5. Решения задач следует располагать в той же последовательности, что и задания.

6. Все страницы работы должны иметь сквозную нумерацию.

7. Обязательно прилагается список использованной литературы.

8. Вы должны быть готовы защитить свое индивидуальное задание у преподавателя во время сессии.

9. При несоответствии работы требованиям выставляется оценка «незачтено». В этом случае работа должна быть исправлена и повторно предоставлена преподавателю.

10. Вы не будете допущены к сдаче экзамена при отсутствии положительной аттестации по индивидуальному заданию.

Работы, оформленные не в соответствии с требованиями, не рецензируются.

 

Для студентов, обучающихся с использованием дистанционных образовательных технологий (ДОТ)

Студенты, обучающиеся с использованием ДОТ, выполняют и отправляют ИДЗ на проверку преподавателю в соответствии с календарным планом-графиком изучения дисциплины. Преподаватель в течение трёх-пяти дней предоставляет рецензию на выполненное ИДЗ.

При оформлении ИДЗ необходимо соблюдать следующие требования:

1. Каждое индивидуальное задание оформляется в отдельном файле. Если условия и решения задач набраны с использованием программы Microsoft Word, то формулы набираются в MathType (кегль не менее 12).

2. Обязательно должен быть титульный лист. На титульном листе указываются номер индивидуального задания, номер варианта, название дисциплины; фамилия, имя, отчество студента; номер группы, шифр.

3. Каждая задача должна начинаться с условия задачи, ниже краткая запись задачи, если необходимо – рисунок с условными обозначениями, которые в дальнейшем будут использованы при решении задач.

4. Решения задач должны быть подробными, со всеми промежуточными расчётами, с указанием использованных формул и т.п.

5. Решения задач следует располагать в той же последовательности, что и задания.

6. Все страницы работы должны иметь сквозную нумерацию.

7. Обязательно прилагается список использованной литературы.

8. В случае несоответствия работы требованиям к оформлению студент получает отрицательную рецензию. В этом случае работа должна быть исправлена и повторно отправлена на проверку преподавателю в минимально короткий срок.

9. Вы не будете допущены к сдаче экзамена при отсутствии положительной аттестации по индивидуальному заданию.

Работы, оформленные не в соответствии с требованиями, не рецензируются.

4.2. Варианты индивидуального задания
и методические указания

Индивидуальное задание № 1

Вариант 1

1. Представьте в тригонометрической и показательной формах число

2. Вычислите и постройте на комплексной плоскости число .

3. Решите уравнение

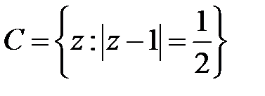
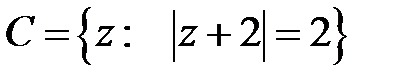
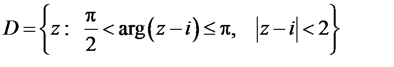
4. Постройте на комплексной плоскости множества точек

а) ;

б) .

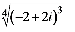
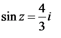
5. Запишите в алгебраической форме числа:

а) ; б) Arcsin 4.

6. Выделите Re w, Im w, если .

7. Найдите угол поворота и коэффициент растяжения k в точке при отображении .

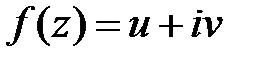
8. Найдите аналитическую функцию , если , .

9. Вычислите , где .

10. Вычислите , если

а) ; б) ; в) .

11. Найдите первые три члена разложения функции в ряд Тейлора по степеням z непосредственным вычислением коэффициентов ряда. Укажите область сходимости ряда.

12. Определите характер особых точек функций:

а) , ; б) , ;

в) , .

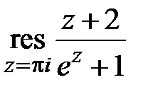
13. Найдите вычеты:

а) ; б) ;

в) ; г) .

14. Найдите и постройте область сходимости ряда Лорана

.

 

15. Разложите в ряд Лорана в окрестности точки функцию . Укажите область сходимости ряда.

16. Разложите в ряд Лорана функцию в проколотой окрестности точки z = 1. Укажите область сходимости полученного ряда.

17. Найдите возможные разложения в ряд функции , приняв центр ряда в точке .

18. Вычислите интегралы, применяя теорему о вычетах:

а) ; б) .

 

19. Вычислите интегралы с помощью вычетов:

а) ; б) ; в) .

Вариант 2

1. Представьте в тригонометрической и показательной формах число

2. Вычислите и постройте на комплексной плоскости числа .

3. Решите уравнение .

4. Постройте на комплексной плоскости множества точек:

а) ;

б) .

5. Запишите в алгебраической форме:

а) ch (1 + i); б) Arcsin (−2 i).

6. Выделите Im w и Re w, если w = (z + i) ch z.

7. Найдите угол поворота a и коэффициент растяжения k в точке при отображении .

8. Найдите аналитическую функцию f (z) = u + iv, если , f (− i) = −1.

9. Вычислите , где Г- ломаная с вершинами в точках 0; 1; 1 + i.

10. Вычислите , если

а) ; б) ;

в) .

11. Найдите по формулам Тейлора три первых члена разложения функции по степеням z. Укажите область сходимости ряда.

12. Определите характер особых точек функций:

а) , ; б) , ;

в) , .

13. Найдите вычеты:

а) ; б) ;

в) ; г) .

14. Найдите и постройте область сходимости ряда Лорана

.

15. Разложите функцию в окрестности точки в ряд Лорана

. Укажите область сходимости ряда.

16. Разложите в ряд Лорана по степеням z функцию в кольце .

17. Найдите возможные разложения в ряд функции , приняв центр ряда в точке .

18. Вычислите интегралы, применяя теорему о вычетах:

а) ; б) .

19. Вычислите интегралы с помощью вычетов:

а) ; б) ; в) .

Вариант 3

1. Представьте в тригонометрической и показательной формах число .

2. Вычислите и постройте на комплексной плоскости числа .

3. Решите уравнение .

4. Постройте на комплексной плоскости множества точек:

а) ;

б) .

5. Запишите в алгебраической форме:

а) ; б) .

6. Выделите Im w, Re w, если .

7. Найдите угол поворота a и коэффициент растяжения k в точке при отображении .

8. Найдите аналитическую функцию , если .

9. Вычислите , где C – ломаная с вершинами в точках 0; 1; 1 +2 i.

10. Вычислите , если

а) ; б) ;

в) .

11. Найдите первые три члена разложения функции в ряд Тейлора по степеням z непосредственным вычислением коэффициентов ряда. Укажите область сходимости ряда.

12. Определить характер особых точек функций:

а) , ; б) , ;

в) , .

13. Найдите вычеты:

а) ; б) ;

в) ; г) .

14. Найдите и постройте область сходимости ряда Лорана

.

15. Разложите в ряд Лорана функцию в окрестности точки . Укажите область сходимости ряда.

16. Разложите в ряд Лорана функцию по степеням . Укажите область сходимости ряда.

17. Найдите возможные разложения в ряд функции , приняв центр ряда в точке .

18. Вычислите интегралы, применяя теорему о вычетах:

а) ; б) .

19. Вычислите интегралы с помощью вычетов:

а) ; б) ;

в) .

Вариант 4

1. Представьте в тригонометрической и показательной форме число

.

2. Вычислите и постройте на комплексной плоскости .

3. Решите уравнение .

4. Постройте на комплексной плоскости множества точек:

а) ,

б) .

5. Запишите в алгебраической форме:

а) ; б) .

6. Выделите Re w и Im w, если

7. Найдите угол поворота a и коэффициент растяжения k в точке при отображении .

8. Найдите аналитическую функцию , если , .




Поделиться с друзьями:


Дата добавления: 2014-11-25; Просмотров: 716; Нарушение авторских прав?; Мы поможем в написании вашей работы!


Нам важно ваше мнение! Был ли полезен опубликованный материал? Да | Нет



studopedia.su - Студопедия (2013 - 2026) год. Все материалы представленные на сайте исключительно с целью ознакомления читателями и не преследуют коммерческих целей или нарушение авторских прав! Последнее добавление




Генерация страницы за: 0.012 сек.