Студопедия

КАТЕГОРИИ:


Архитектура-(3434)Астрономия-(809)Биология-(7483)Биотехнологии-(1457)Военное дело-(14632)Высокие технологии-(1363)География-(913)Геология-(1438)Государство-(451)Демография-(1065)Дом-(47672)Журналистика и СМИ-(912)Изобретательство-(14524)Иностранные языки-(4268)Информатика-(17799)Искусство-(1338)История-(13644)Компьютеры-(11121)Косметика-(55)Кулинария-(373)Культура-(8427)Лингвистика-(374)Литература-(1642)Маркетинг-(23702)Математика-(16968)Машиностроение-(1700)Медицина-(12668)Менеджмент-(24684)Механика-(15423)Науковедение-(506)Образование-(11852)Охрана труда-(3308)Педагогика-(5571)Полиграфия-(1312)Политика-(7869)Право-(5454)Приборостроение-(1369)Программирование-(2801)Производство-(97182)Промышленность-(8706)Психология-(18388)Религия-(3217)Связь-(10668)Сельское хозяйство-(299)Социология-(6455)Спорт-(42831)Строительство-(4793)Торговля-(5050)Транспорт-(2929)Туризм-(1568)Физика-(3942)Философия-(17015)Финансы-(26596)Химия-(22929)Экология-(12095)Экономика-(9961)Электроника-(8441)Электротехника-(4623)Энергетика-(12629)Юриспруденция-(1492)Ядерная техника-(1748)

Кодовое дерево сверточного кода и решетчатая диаграмма




 

Вернемся к коду (5,7), кодер которого показан на рис.2а. Считаем, что начальное состояние кодера было нулевым. Это состояние и все предыдущее мы будем отображать в виде узлов дерева. Возможные переходы из состояния в состояние соответствуют ребрам дерева. Каждому такому ребру соответствует некоторый блок из n=2 кодовых символов. Несколько начальных ярусов дерева, соответствующего коду (5,7), показано на рис. 3. Это дерево называют кодовым. В связи с такой графической интерпретацией сверточного кода параметр называют длиной ребра кода.

По кодовому дереву легко определить кодовое слово, соответствующее заданной информационной последовательности. На рис. 3 движение вверх соответствует информационному символу 0, движение вниз - символу 1. Например, информационной последовательности 010110… соответствует кодовое слово 00111000…

Обращает на себя внимание то, что число узлов дерева быстро растет от яруса к ярусу. В то же время, каждому узлу соответствует некоторое состояние кодера. Число различных состояний кода со скоростью 1/n и с длиной кодового ограничения m в точности равно 2m. Следовательно, начиная с яруса с номером m+1, найдутся узлы соответствующие одинаковым состояниям. Поддеревья, начинающиеся в этих узлах, полностью идентичны. Чтобы сделать графическое представление кода более компактным, имеет смысл объединить узлы, соответствующие одинаковым состояниям и отображать их в виде одного узла.

 

 

Рис. 4. Решетчатая диаграмма кода (5,7)

 

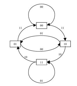
Рис. 5. Конечный автомат, описывающий работу кодера кода (5,7)

 




Поделиться с друзьями:


Дата добавления: 2014-11-08; Просмотров: 1984; Нарушение авторских прав?; Мы поможем в написании вашей работы!


Нам важно ваше мнение! Был ли полезен опубликованный материал? Да | Нет



studopedia.su - Студопедия (2013 - 2025) год. Все материалы представленные на сайте исключительно с целью ознакомления читателями и не преследуют коммерческих целей или нарушение авторских прав! Последнее добавление




Генерация страницы за: 0.01 сек.