Студопедия

КАТЕГОРИИ:


Архитектура-(3434)Астрономия-(809)Биология-(7483)Биотехнологии-(1457)Военное дело-(14632)Высокие технологии-(1363)География-(913)Геология-(1438)Государство-(451)Демография-(1065)Дом-(47672)Журналистика и СМИ-(912)Изобретательство-(14524)Иностранные языки-(4268)Информатика-(17799)Искусство-(1338)История-(13644)Компьютеры-(11121)Косметика-(55)Кулинария-(373)Культура-(8427)Лингвистика-(374)Литература-(1642)Маркетинг-(23702)Математика-(16968)Машиностроение-(1700)Медицина-(12668)Менеджмент-(24684)Механика-(15423)Науковедение-(506)Образование-(11852)Охрана труда-(3308)Педагогика-(5571)Полиграфия-(1312)Политика-(7869)Право-(5454)Приборостроение-(1369)Программирование-(2801)Производство-(97182)Промышленность-(8706)Психология-(18388)Религия-(3217)Связь-(10668)Сельское хозяйство-(299)Социология-(6455)Спорт-(42831)Строительство-(4793)Торговля-(5050)Транспорт-(2929)Туризм-(1568)Физика-(3942)Философия-(17015)Финансы-(26596)Химия-(22929)Экология-(12095)Экономика-(9961)Электроника-(8441)Электротехника-(4623)Энергетика-(12629)Юриспруденция-(1492)Ядерная техника-(1748)

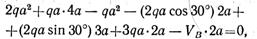
Решение. Освобождаем раму от связей и заменяем их действие реакциями NА, VA, VB (рис




 

Освобождаем раму от связей и заменяем их действие реакциями NА, VA, VB (рис. 1.20, б). Получили плоскую систему произвольно расположенных сил.


Выбираем систему координат (см. рис. 1.20, б) и составляем уравнения равновесия:

 

 

где Р2 cos α — вертикальная составляющая силы Р2;

P2 sin α — горизонтальная составляющая силы Р2;

2qa — равнодействующая равномерно распределенной нагрузки интенсивностью q (показана штриховой линией);

откуда VB = 5,27 qa;

или

откуда HA=7qa

линия действия силы Р2 cos α проходит через точку В и поэтому ее момент относительно точки В равен нулю

откуда VA = 7qa.

Для определения реакций не было использовано урав­нение равновесия Σ Piv=0. Если реакции определены верно, то сумма проекций на ось v всех сил, действую­щих на раму, должна быть равна нулю. Проектируя все силы на ось v, получаем:

следовательно, опорные реакции определены верно.

Напомним, что сумма проекций сил, составляющих пару с моментом т, на любую ось равна нулю.

Контрольные вопросы и задания

 

1. Замените распределенную нагрузку сосредоточенной и опре­делите расстояние от точки приложения равнодействующей до опо­ры А (рис. 6.9).

 

2. Рассчитайте величину суммарного момента сил системы от­носительно точки А (рис. 6.10).

3. Какую из форм уравнений равновесия целесообразно исполь­зовать при определении реакций в заделке?

4. Какую форму системы уравнений равновесия целесообразно использовать при определении реакций в опорах двухопорной балки и почему?

 
 

5. Определите реактивный момент в заделке одноопорной балки, изображенной на схеме (рис. 6.11).

 

6. Определите вертикальную реакцию в заделке для балки, представленной на рис. 6.11.





Поделиться с друзьями:


Дата добавления: 2014-11-16; Просмотров: 3713; Нарушение авторских прав?; Мы поможем в написании вашей работы!


Нам важно ваше мнение! Был ли полезен опубликованный материал? Да | Нет



studopedia.su - Студопедия (2013 - 2025) год. Все материалы представленные на сайте исключительно с целью ознакомления читателями и не преследуют коммерческих целей или нарушение авторских прав! Последнее добавление




Генерация страницы за: 0.007 сек.