Студопедия

КАТЕГОРИИ:


Архитектура-(3434)Астрономия-(809)Биология-(7483)Биотехнологии-(1457)Военное дело-(14632)Высокие технологии-(1363)География-(913)Геология-(1438)Государство-(451)Демография-(1065)Дом-(47672)Журналистика и СМИ-(912)Изобретательство-(14524)Иностранные языки-(4268)Информатика-(17799)Искусство-(1338)История-(13644)Компьютеры-(11121)Косметика-(55)Кулинария-(373)Культура-(8427)Лингвистика-(374)Литература-(1642)Маркетинг-(23702)Математика-(16968)Машиностроение-(1700)Медицина-(12668)Менеджмент-(24684)Механика-(15423)Науковедение-(506)Образование-(11852)Охрана труда-(3308)Педагогика-(5571)Полиграфия-(1312)Политика-(7869)Право-(5454)Приборостроение-(1369)Программирование-(2801)Производство-(97182)Промышленность-(8706)Психология-(18388)Религия-(3217)Связь-(10668)Сельское хозяйство-(299)Социология-(6455)Спорт-(42831)Строительство-(4793)Торговля-(5050)Транспорт-(2929)Туризм-(1568)Физика-(3942)Философия-(17015)Финансы-(26596)Химия-(22929)Экология-(12095)Экономика-(9961)Электроника-(8441)Электротехника-(4623)Энергетика-(12629)Юриспруденция-(1492)Ядерная техника-(1748)

Упражнения при подготовке к самостоятельной работе. Основные формулы и предпосылки расчета




Основные формулы и предпосылки расчета

Практическое занятие №2. Плоская система произвольно расположенных сил

Знать теорему Пуансо о приведении силы к точке.

Уметь приводить произвольную плоскую систему сил к точ­ке, определяя величины главного вектора и главного момента сис­темы.

Знать три формы уравнений равновесия и уметь ими пользо­ваться при определении реакций в опорах балочных систем.

Виды опор балок и их реакции (рис. П2.1)

Моменты пары сил и силы относительно точки (рис. П2.2)

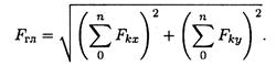
Главный вектор

Главный момент

Условия равновесия

Проверка:

Проверка:

4. Перенести силу F в точку А, используя теорему Пуансо (рис. П2.3).

F = 20кН; АВ = 6м; ВС = 2м.

 

2. Привести систему сил к точке В, определить главный вектор и главный момент системы сил (рис. П2.4). АВ = 2м; ВС = 1,5м; CD = 1м. F1 = 18кН; F2 = 10кН; F3 = 30кН; т = 36кН-м.

 

3. Система сил находится в равновесии. Определить величину момента пары т (рис. П2.5).

F1 = F1’ = 10 кН; F2 = F2’ = 20кН.

 

4. Нанести реакции в опорах балок 1 и 2 (рис. П2.6).

 

 

 
 

5. Определить величину реакции в опоре А. Приложена распре­деленная нагрузка интенсивностью q = 5кН/м (рис. П2.7).

 

6. Записать систему уравнений равновесия для определения ре­акций в опоре защемленной балки.

7. Записать систему уравнений равновесия для определения ре­акций в опорах двухопорной балки, закрепленной на двух шарнирах.

 





Поделиться с друзьями:


Дата добавления: 2014-11-16; Просмотров: 1771; Нарушение авторских прав?; Мы поможем в написании вашей работы!


Нам важно ваше мнение! Был ли полезен опубликованный материал? Да | Нет



studopedia.su - Студопедия (2013 - 2025) год. Все материалы представленные на сайте исключительно с целью ознакомления читателями и не преследуют коммерческих целей или нарушение авторских прав! Последнее добавление




Генерация страницы за: 0.008 сек.