Студопедия

КАТЕГОРИИ:


Архитектура-(3434)Астрономия-(809)Биология-(7483)Биотехнологии-(1457)Военное дело-(14632)Высокие технологии-(1363)География-(913)Геология-(1438)Государство-(451)Демография-(1065)Дом-(47672)Журналистика и СМИ-(912)Изобретательство-(14524)Иностранные языки-(4268)Информатика-(17799)Искусство-(1338)История-(13644)Компьютеры-(11121)Косметика-(55)Кулинария-(373)Культура-(8427)Лингвистика-(374)Литература-(1642)Маркетинг-(23702)Математика-(16968)Машиностроение-(1700)Медицина-(12668)Менеджмент-(24684)Механика-(15423)Науковедение-(506)Образование-(11852)Охрана труда-(3308)Педагогика-(5571)Полиграфия-(1312)Политика-(7869)Право-(5454)Приборостроение-(1369)Программирование-(2801)Производство-(97182)Промышленность-(8706)Психология-(18388)Религия-(3217)Связь-(10668)Сельское хозяйство-(299)Социология-(6455)Спорт-(42831)Строительство-(4793)Торговля-(5050)Транспорт-(2929)Туризм-(1568)Физика-(3942)Философия-(17015)Финансы-(26596)Химия-(22929)Экология-(12095)Экономика-(9961)Электроника-(8441)Электротехника-(4623)Энергетика-(12629)Юриспруденция-(1492)Ядерная техника-(1748)

Равномерное движение




Анализ видов и кинетических параметров движений

Тема 1.8. Кинематика точки

ЛЕКЦИЯ 10

 

Иметь представление о скоростях средней и истинной, об уско­рении при прямолинейном и криволинейном движениях, о различ­ных видах движения точки.

Знать формулы (без вывода) и графики равномерного и равно­переменного движений точки.

Уметь определять параметры движения точки по заданному закону движения, строить и читать кинематические графики.

Равномерное движение — это движение с постоянной скоростью:

v — const.

 

Для прямолинейного равномерного движения (рис. 10.1а)

 

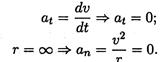
Полное ускорение движения точ­ки равно нулю: а = 0.

При криволинейном равномерном движении (рис. 10.16)

 

Полное ускорение равно нормальному ускорению: а = ап.

Уравнение (закон) движения точки при равномерном движении можно получить, проделав ряд несложных операций.

Так как v = const, закон равномерного движения в общем виде является уравнением прямой:

S = So+vt,

где So — путь, пройденный до начала отсчета.

 




Поделиться с друзьями:


Дата добавления: 2014-11-16; Просмотров: 811; Нарушение авторских прав?; Мы поможем в написании вашей работы!


Нам важно ваше мнение! Был ли полезен опубликованный материал? Да | Нет



studopedia.su - Студопедия (2013 - 2026) год. Все материалы представленные на сайте исключительно с целью ознакомления читателями и не преследуют коммерческих целей или нарушение авторских прав! Последнее добавление




Генерация страницы за: 0.011 сек.