Студопедия

КАТЕГОРИИ:


Архитектура-(3434)Астрономия-(809)Биология-(7483)Биотехнологии-(1457)Военное дело-(14632)Высокие технологии-(1363)География-(913)Геология-(1438)Государство-(451)Демография-(1065)Дом-(47672)Журналистика и СМИ-(912)Изобретательство-(14524)Иностранные языки-(4268)Информатика-(17799)Искусство-(1338)История-(13644)Компьютеры-(11121)Косметика-(55)Кулинария-(373)Культура-(8427)Лингвистика-(374)Литература-(1642)Маркетинг-(23702)Математика-(16968)Машиностроение-(1700)Медицина-(12668)Менеджмент-(24684)Механика-(15423)Науковедение-(506)Образование-(11852)Охрана труда-(3308)Педагогика-(5571)Полиграфия-(1312)Политика-(7869)Право-(5454)Приборостроение-(1369)Программирование-(2801)Производство-(97182)Промышленность-(8706)Психология-(18388)Религия-(3217)Связь-(10668)Сельское хозяйство-(299)Социология-(6455)Спорт-(42831)Строительство-(4793)Торговля-(5050)Транспорт-(2929)Туризм-(1568)Физика-(3942)Философия-(17015)Финансы-(26596)Химия-(22929)Экология-(12095)Экономика-(9961)Электроника-(8441)Электротехника-(4623)Энергетика-(12629)Юриспруденция-(1492)Ядерная техника-(1748)

Решение. Решение При равномерном подъеме движущая сила равна сумме сил сопро­тивления движению




Решение

Решение

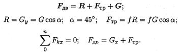
  1. При равномерном подъеме движущая сила равна сумме сил сопро­тивления движению. Наносим на схему силы, действующие на тело:

  1. Используем теорему о работе равнодействующей:

  1. Подставляем входящие величины и определяем работу по подъему:

 

Пример 2. Определите работу силы тяжести при перемещении груза из точки А в точку С по наклонной плоскости (рис. 15.9). Сила тяжести тела 1500 Н. АВ = 6 м, ВС = 4 м.

 

1. Работа силы тяжести зависит только от изменения вы­соты груза. Изменение высоты при перемещении из точки А в С:

2. Работа силы тяжести:

 

Пример 3. Определите работу силы резания за 3 мин. Ско­рость вращения детали 120 об/мин, диаметр обрабатываемой детали 40 мм, сила резания 1 кН (рис. 15.10).

1. Работа при вращательном движе­нии

где Fpeз — сила резания.

2. Угловая частота вращения 120 об/мин.

3. Число оборотов за заданное время составляет z = 120 • 3 = 360 об.

Угол поворота за это время

 

4. Работа за 3 мин Wp = 1 • 0,02 • 2261 = 45,2 кДж.

Пример 4. Тело массой m = 50 кг передвигают по полу при помощи горизонтальной силы Q на расстояние S = 6 м. Определить ра­боту, которую совершит сила трения, если коэф­фициент трения между поверхностью тела и полом f = 0,3 (рис. 1.63).




Поделиться с друзьями:


Дата добавления: 2014-11-16; Просмотров: 5147; Нарушение авторских прав?; Мы поможем в написании вашей работы!


Нам важно ваше мнение! Был ли полезен опубликованный материал? Да | Нет



studopedia.su - Студопедия (2013 - 2026) год. Все материалы представленные на сайте исключительно с целью ознакомления читателями и не преследуют коммерческих целей или нарушение авторских прав! Последнее добавление




Генерация страницы за: 0.013 сек.