Студопедия

КАТЕГОРИИ:


Архитектура-(3434)Астрономия-(809)Биология-(7483)Биотехнологии-(1457)Военное дело-(14632)Высокие технологии-(1363)География-(913)Геология-(1438)Государство-(451)Демография-(1065)Дом-(47672)Журналистика и СМИ-(912)Изобретательство-(14524)Иностранные языки-(4268)Информатика-(17799)Искусство-(1338)История-(13644)Компьютеры-(11121)Косметика-(55)Кулинария-(373)Культура-(8427)Лингвистика-(374)Литература-(1642)Маркетинг-(23702)Математика-(16968)Машиностроение-(1700)Медицина-(12668)Менеджмент-(24684)Механика-(15423)Науковедение-(506)Образование-(11852)Охрана труда-(3308)Педагогика-(5571)Полиграфия-(1312)Политика-(7869)Право-(5454)Приборостроение-(1369)Программирование-(2801)Производство-(97182)Промышленность-(8706)Психология-(18388)Религия-(3217)Связь-(10668)Сельское хозяйство-(299)Социология-(6455)Спорт-(42831)Строительство-(4793)Торговля-(5050)Транспорт-(2929)Туризм-(1568)Физика-(3942)Философия-(17015)Финансы-(26596)Химия-(22929)Экология-(12095)Экономика-(9961)Электроника-(8441)Электротехника-(4623)Энергетика-(12629)Юриспруденция-(1492)Ядерная техника-(1748)

Решение. Добавочные динамические реакции VА и Vв опор балки возникнут от силы инерции груза




 

Добавочные динамические реакции V А и V в опор балки возникнут от силы инерции груза

Сила инерции на­правлена вниз, так как ускорение груза направлено вверх.

Освобождаем бал­ку от связей и заме­няем их действие реакциями V А и V в.

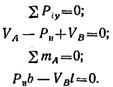
Составляем урав­нения равновесия:

Решая уравнения, находим:

Контрольные вопросы и задания

 

1. Объясните разницу между понятиями «инертность» и «сила инерции».

 

2. К каким телам приложена сила инерции, как направлена и по какой формуле может быть рассчитана?

 

3. В чем заключается принцип кинетостатики?

 

4. Задано уравнение движения материальной точки S = 8,6 t 2. Определите ускорение точки в конце десятой секунды движения.

 

5. Тело движется вниз по наклонной плоскости (рис. 14.10). На­несите силы, действующие на тело; используйте принцип Даламбера, запишите уравнение равновесия.

 

6. Лифт спускается вниз с ускорением (рис. 14.11). Нанесите си­лы, действующие на кабину лифта, используя принцип кинетостати­ки, запишите уравнения равновесия.

 

7. Автомобиль въезжает на арочный мост с постоянной скоро­стью v (рис. 14.12). Нанесите силы, действующие на автомобиль в середине моста, используя принцип кинетостатики, запишите урав­нения равновесия.

 

8. Ответьте на вопросы тестового задания.





Поделиться с друзьями:


Дата добавления: 2014-11-16; Просмотров: 1247; Нарушение авторских прав?; Мы поможем в написании вашей работы!


Нам важно ваше мнение! Был ли полезен опубликованный материал? Да | Нет



studopedia.su - Студопедия (2013 - 2026) год. Все материалы представленные на сайте исключительно с целью ознакомления читателями и не преследуют коммерческих целей или нарушение авторских прав! Последнее добавление




Генерация страницы за: 0.011 сек.