Студопедия

КАТЕГОРИИ:


Архитектура-(3434)Астрономия-(809)Биология-(7483)Биотехнологии-(1457)Военное дело-(14632)Высокие технологии-(1363)География-(913)Геология-(1438)Государство-(451)Демография-(1065)Дом-(47672)Журналистика и СМИ-(912)Изобретательство-(14524)Иностранные языки-(4268)Информатика-(17799)Искусство-(1338)История-(13644)Компьютеры-(11121)Косметика-(55)Кулинария-(373)Культура-(8427)Лингвистика-(374)Литература-(1642)Маркетинг-(23702)Математика-(16968)Машиностроение-(1700)Медицина-(12668)Менеджмент-(24684)Механика-(15423)Науковедение-(506)Образование-(11852)Охрана труда-(3308)Педагогика-(5571)Полиграфия-(1312)Политика-(7869)Право-(5454)Приборостроение-(1369)Программирование-(2801)Производство-(97182)Промышленность-(8706)Психология-(18388)Религия-(3217)Связь-(10668)Сельское хозяйство-(299)Социология-(6455)Спорт-(42831)Строительство-(4793)Торговля-(5050)Транспорт-(2929)Туризм-(1568)Физика-(3942)Философия-(17015)Финансы-(26596)Химия-(22929)Экология-(12095)Экономика-(9961)Электроника-(8441)Электротехника-(4623)Энергетика-(12629)Юриспруденция-(1492)Ядерная техника-(1748)

Сила инерции




Свободная и несвободная точки

Тема 1.13. Движение материальной точки. Метод кинетостатики

ЛЕКЦИЯ 14

 

Иметь представление о свободных и несвободных материаль­ных точках, о силах инерции, об использовании силы инерции для решения технических задач.

Знать формулы для расчета силы инерции при поступатель­ном и вращательном движениях, знать принцип Даламбера и уметь определять параметры движения с использованием законов динамики и метода кинетостатики.

 

Материальная точка, движение которой в пространстве не огра­ничено какими-нибудь связями, называется свободной. Задачи реша­ются с помощью основного закона динамики.

Материальные точки, движение которых ограничено связями, называются несвободными.

Для несвободных точек необходимо определять реакции связей. Эти точки движутся под действием активных сил и ограничивающих движение реакций связей (пассивных сил).

Несвободные материальные точки освобождаются от связей: связи заменяются их реакциями. Далее несвободные точки можно рассматривать как свободные (принцип освобождаемости от связей).

 

Инертность — способность сохранять свое состояние неизмен­ным, это внутреннее свойство всех материальных тел.

Сила инерции — сила, возникающая при разгоне или торможе­нии тела (материальной точки) и направленная в обратную сторо­ну от ускорения. Силу инерции можно измерить, она приложена к «связям» — телам, связанным с разгоняющимся или тормозящимся телом.

Рассчитано, что сила инерции равна

FИН = / mа/

Таким образом, силы, действующие на материальные точки m1 и m2 (рис. 14.1), при разгоне платформы соответственно равны

Fин2 = m2 а

 

Разгоняющееся тело (плат­форма с массой т (рис. 14.1)) си­ лу инерции не воспринимает, иначе разгон платформы вообще был бы невозможен.

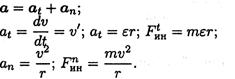
При вращательном движении (криволинейном) возникающее ускорение принято представлять в виде двух составляющих: нор­мального ап и касательного at (рис. 14.2).

Поэтому при рассмотрении кри­волинейного движения могут воз­никнуть две составляющие силы инерции: нормальная и касательная

При равномерном движении по дуге всегда возникает нормальное ускорение, касательное ускоре­ние равно нулю, поэтому действует только нормальная составляющая силы инерции, направленная по радиусу из центра дуги (рис. 14.3).

Принцип кинетостатики (принцип Даламбера)

 

Принцип кинетостатики используют для упрощения решения ряда технических задач. Реально силы инерции приложены к телам, связанным с разго­няющимся телом (к связям).

 

Даламбер предложил условно прикладывать силу инерции к ак­тивно разгоняющемуся телу. Тогда система сил, приложенных к ма­териальной точке, становится уравновешенной, и можно при реше­нии задач динамики использовать уравнения статики.

 

Принцип Даламбера:

Материальная точка под действием активных сил, реакций связей и условно приложенной силы инерции находится в равно­весии:

Порядок решения задач с использованием принципа Да­ламбера

  1. Составить расчетную схему.
  2. Выбрать систему координат.
  3. Выяснить направление и величину ускорения.
  4. Условно приложить силу инерции.
  5. Составить систему уравнений равновесия.
  6. Определить неизвестные величины.



Поделиться с друзьями:


Дата добавления: 2014-11-16; Просмотров: 4203; Нарушение авторских прав?; Мы поможем в написании вашей работы!


Нам важно ваше мнение! Был ли полезен опубликованный материал? Да | Нет



studopedia.su - Студопедия (2013 - 2026) год. Все материалы представленные на сайте исключительно с целью ознакомления читателями и не преследуют коммерческих целей или нарушение авторских прав! Последнее добавление




Генерация страницы за: 0.012 сек.