Студопедия

КАТЕГОРИИ:


Архитектура-(3434)Астрономия-(809)Биология-(7483)Биотехнологии-(1457)Военное дело-(14632)Высокие технологии-(1363)География-(913)Геология-(1438)Государство-(451)Демография-(1065)Дом-(47672)Журналистика и СМИ-(912)Изобретательство-(14524)Иностранные языки-(4268)Информатика-(17799)Искусство-(1338)История-(13644)Компьютеры-(11121)Косметика-(55)Кулинария-(373)Культура-(8427)Лингвистика-(374)Литература-(1642)Маркетинг-(23702)Математика-(16968)Машиностроение-(1700)Медицина-(12668)Менеджмент-(24684)Механика-(15423)Науковедение-(506)Образование-(11852)Охрана труда-(3308)Педагогика-(5571)Полиграфия-(1312)Политика-(7869)Право-(5454)Приборостроение-(1369)Программирование-(2801)Производство-(97182)Промышленность-(8706)Психология-(18388)Религия-(3217)Связь-(10668)Сельское хозяйство-(299)Социология-(6455)Спорт-(42831)Строительство-(4793)Торговля-(5050)Транспорт-(2929)Туризм-(1568)Физика-(3942)Философия-(17015)Финансы-(26596)Химия-(22929)Экология-(12095)Экономика-(9961)Электроника-(8441)Электротехника-(4623)Энергетика-(12629)Юриспруденция-(1492)Ядерная техника-(1748)

Решение. Система состоит из грузов А, В, нити и блока




 

Система состоит из грузов А, В, нити и блока. В число данных и искомых величин вхо­дят: действующие си­лы (постоянные пo величине и направлению), перемещение системы, скорости тел в начале и в конце перемещения. Поэтому для реше­ния задачи применяем теорему об изменении кинетиче­ской энергии системы.

Система в произвольном положении и действующие на нее силы показаны на рис. 1.70, б.

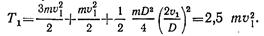
Так как система вначале находилась в покое, то ее начальная кинетическая энергия Т0 равна нулю. Кине­тическая энергия Т1 системы при движении груза скла­дывается из кинетической энергии Т1A груза A, кинети­ческой энергии Т груза В, кинетической энергии Т1бл блока.

Вычислим кинетическую энергию системы в момент, когда груз опустится на расстояние h:

где

Выразив угловую скорость блока через скорость груза получим

 
 

Вычислим работу сил, приложенных к системе. Работа силы тяжести груза В равна Рh = тgh, работы сил N и 3 Р равны нулю (силы перпендикулярны перемещению точки их приложения), работа силы трения равна

Сила натяжения нити является внутренней силой, поэтому ее работа равна нулю.

Таким образом, уравнение кинетической энергии си­стемы в данном случае имеет вид

Отсюда искомая скорость груза

Угловая скорость блока

 

Пример 8. В период пуска электродвигателя его ротор вращается под действием постоянного момента М1 = 80 Н-м. В подшипниках возникает момент сил трения М2 = 5 Н-м (рис. 1.71). Считая ротор однородным диском массой т = 100 кг, определить, сколько оборотов сделает ротор за 6 с после начала движе­ния, и угловую скорость ротора в конце 10-й секунды.

 




Поделиться с друзьями:


Дата добавления: 2014-11-16; Просмотров: 653; Нарушение авторских прав?; Мы поможем в написании вашей работы!


Нам важно ваше мнение! Был ли полезен опубликованный материал? Да | Нет



studopedia.su - Студопедия (2013 - 2025) год. Все материалы представленные на сайте исключительно с целью ознакомления читателями и не преследуют коммерческих целей или нарушение авторских прав! Последнее добавление




Генерация страницы за: 0.007 сек.