Студопедия

КАТЕГОРИИ:


Архитектура-(3434)Астрономия-(809)Биология-(7483)Биотехнологии-(1457)Военное дело-(14632)Высокие технологии-(1363)География-(913)Геология-(1438)Государство-(451)Демография-(1065)Дом-(47672)Журналистика и СМИ-(912)Изобретательство-(14524)Иностранные языки-(4268)Информатика-(17799)Искусство-(1338)История-(13644)Компьютеры-(11121)Косметика-(55)Кулинария-(373)Культура-(8427)Лингвистика-(374)Литература-(1642)Маркетинг-(23702)Математика-(16968)Машиностроение-(1700)Медицина-(12668)Менеджмент-(24684)Механика-(15423)Науковедение-(506)Образование-(11852)Охрана труда-(3308)Педагогика-(5571)Полиграфия-(1312)Политика-(7869)Право-(5454)Приборостроение-(1369)Программирование-(2801)Производство-(97182)Промышленность-(8706)Психология-(18388)Религия-(3217)Связь-(10668)Сельское хозяйство-(299)Социология-(6455)Спорт-(42831)Строительство-(4793)Торговля-(5050)Транспорт-(2929)Туризм-(1568)Физика-(3942)Философия-(17015)Финансы-(26596)Химия-(22929)Экология-(12095)Экономика-(9961)Электроника-(8441)Электротехника-(4623)Энергетика-(12629)Юриспруденция-(1492)Ядерная техника-(1748)

Электрические фильтры. Линии с распределёнными параметрами. 2 страница




  4,28 1,75 0,922 50,7 38,6 3.2, г 3.3
  2,02 1,12 0,505     3.2, а 3.9
  3,5 1,2 0,667 8,52 41,4 3.2, б 3.10
    1,25 2,09     3.2, в 3.5
  5,75 1,15 0,72 39,2 86,5 3.2, в 3.6

Указание:

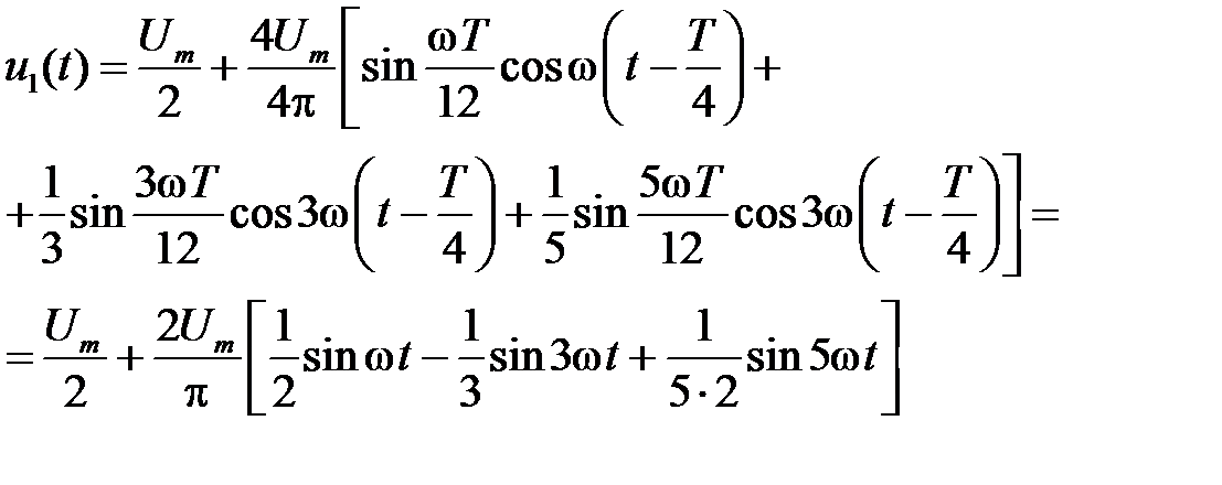
На примере рисунков 3.9 и 3.10 покажем, как осуществляется разложение в ряд Фурье кривых, которые имеют постоянную составляющую, и начало которых сдвинуто во времени по отношению к табличным кривым. Прежде всего, выделим в напряжении u 1(t) (рисунок 3.10) постоянную составляющую Um/ 2 и мысленно проведем новую ось времени на высоте Um/ 2. Тогда относительно новой оси времени оставшуюся часть напряжения запишем в виде

Здесь под Um понимается амплитуда заданного напряжения u 1(t), а угол ω T /12 равен углу, обозначенному в учебниках α. С учетом постоянной составляющей u 1(t) (рисунок 3.10) раскладывается в ряд Фурье следующим образом:

График напряжения u 1(t) (рисунок 3.9) на время T /4 смещен (запаздывает) во времени, поэтому для графика, представленного на рисунке 3.9:

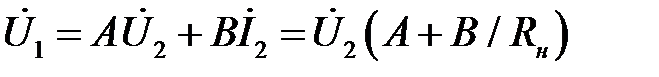
Покажем, как вывести формулу напряжения на выходе схемы через параметры схемы и напряжение на входе . Исходя из первого уравнения четырехполюсника, написанного в A-форме, получим

.

Отсюда

,

где - передаточная функция четырехполюс­ника на частоте ω

Для рисунка 3.11: ;

После небольших преобразований получим:

Задача 3.3. Электрические фильтры.

Рассматривая схемы, показанные на рисунке 3.2, как схемы фильтров, работающих на согласованную нагрузку:

1) определить значения граничных частот полосы прозрачности фильтра (частот среза);

2) качественно построить зависимость характеристического сопро­тивления Z с, затухания а и сдвига по фазе b в функции частоты ω;

3) на вход низкочастотного фильтра подать 1-ю гармонику напряжения u 1 из п. 1 задачи 3.2, на вход высокочастотного фильтра − 3-ю гармонику этого напряжения. Для указанной гармоники входного напряжения определить числовые значения постоянной передачи g = а + jb, характеристического сопротивления Z с, напряжений и токов во всех ветвях схемы и построить по ним векторные диаграммы токов и напряжений фильтра.

Задача 3.4. Установившиеся процессы в линии с распределёнными параметрами.

По заданным в таблице 3.3 параметрам линии (R 0; L 0; G 0; С 0), частоте f, длине линии l, комплексным значениям напряжения и в конце линии, сопротивлению нагрузки Zн требуется:

1.Рассчитать напряжение и ток в начале линии, активную Р и полную S мощности в начале и конце линии, а также КПД линии.

2.Полагая, что линия п. 1 стала линией без потерь (R 0 = G 0 =0), а нагрузка на конце линии стала активной и равной модулю комплексной нагрузки в п.1, определить напряжение и ток , в начале линии, а также длину электромагнитной волны λ.

3.Для линии без потерь п. 2 построить график распределения дейст­вующего значения напряжения вдоль линии в функции координаты у.

Таблица 3.3

Вари- ант f, Гц l, км R, Ом/км C 0, Ф/км L 0, Гн/км G 0, См/км , B , мА Zн, Ом
                   
        9,6 5,08 1,25   64,2 е j 1
        11,8 4,16 0,75 21,1 е j 10°55' 1188 еj 10°55'
    11,65   5,75 4,24 0,51 34,4 1720 еj 6°10'
    23,7 78,6 11,5   1,75 10 е j 13°12' 1965 еj 13°12'
        10,6 4,6 0,175    
          4,1 1,25    
      12,6 12,7 3,85 0,8   1270 еj 20°
    16,3   6,11 5,7 2,25 23,9 е j 14°18' 512 еj 14°18'
      12,4   4,8 1,6   355 еj 8°50'
      2,9   3,8 0,7 18 е j 7°50' 278 еj 7°50'
            0,65 84,7 1620 еj 12°25'
      9,6 14,8 10,8 0,725 12,2 е j 8°12' 1800 еj 8°12'
    12,7 97,2 6,4 7,5 0,82    
        4,2 6,4 3,3 16,3 е j 15°22' 800 еj 15°22'
    64,8 25,2 3,6 6,7     690 еj 7°45'
    42,7 16,7   2,66 1,5 13,1  
    47,1   6,8 7,08 1,9   2000 еj 16°15'
        8,2 10,4 0,46 20 е j 5°12' 400 еj 5°12'
    92,3 20,4 3,4 7,08 0,9 33,9 1060 еj 7°15'
      29,2 8,2 6,08 0,675 33,3 е j 23°10' 1800 еj 23°10'
        4,8 10,16 0,625 32,1 е j 15° 3120 еj 15°
        11,8 4,16 1,5   1188 еj 10°55'
        11,5 4,24 0,51 10 е j 6°10' 1220 еj 6°10'
    11,85 157,2 11,5   3,5 78,6 1965 еj 13°12'
        5,3 9,2 0,0875    

Продолжение таблицы 3.3

                   
          4,1 2,5    
      50,4 3,175 3,85 0,8 1,97 е j 20° 2540 еj 20°
      22,55 12,22 1,9 2,25   209,5 еj 14°18'
      24,8   9,6 0,8 56,4 е j 8°50' 710 еj 8°50'
    157,5 5,8   3,8 1,4   278 еj 7°50'
      5,5     0,65 26,05 е j 12°25' 1150 еj 12°25'
      19,2 14,8 10,8 1,55   1800 еj 8°12'
    12,7 194,4 3,2   0,41    
    14,9   2,8 8,54 2,1 25,4 24,5 е j 15°22'
    91,5 12,6 7,2 6,7   22,5 е j 7°45' 490 еj 7°45'
    21,35 33,4   2,66      
    47,1   3,4 14,16 0,95 6 е j 16°15' 4000 еj 16°15'
    11,5   8,2 10,4 0,92   400 еj 5°12'
      10,2 6,8 7,08 0,9 16 е j 7°15' 750 еj 7°15'
      14,6 8,2 3,04 0,675 42,3 1255 еj 23°10'
        4,8 5,08 0, 675 70,5 2200 еj 15°
        5,9 8,32 0,75 42,2 е j 10°55' 2376 еj 10°55'
    7,5   11,5 4,24 1,02 48,8 1220 еj 6°10'
    23, 7 78,6 8,1 7,05 1,75 14,2 е j 13°12' 1965 еj 13°12'
    103,5   5,3 4,6 0,0875   560,4
          8,2 1,25    
      75,6 9,52 11,55 1,2   2540 еj 20°
    14,2 180,4 6,11 7,6 2,25   23,9 е j 14°18' 590 еj 14°18'
      12,4   4,8 0, 8 28, 2 500 еj 8°50'
    157,5 11,6 6,5 7,6 0,7 -— 36 е j 7°50' 556 еj 7°50'
            1,3   1150 еj 12°25'
      14,4 7,4 8,1 0,725 24,4 е j 8°12' 2205 еj 8°12'
      97,2 3,2 7,5 0,41 42,3  
        5,6 8,54 2,1 12,25 е j 15°22' 800 еj 15°22'
    45,75 25,2 7,2 6, 7     490 еj 7°45'
    21,35 66,8 9,5 5,32 1,5 26,2  
    66,7   3,4 7,08 0,95 16,9 2820 еj 16°15'
    18,4   4,1 7,8 0,46 40 е j 5°12' 500 еj 5°12'
      20,4 6,8 7,08 1,8   750 еj 7°15'
      7,3 16,4 3,04 0,675   16,65 е j 23°10' 900 еj 23°10'
        4,8 2,54 0,625   32,1 е j 15°
        5,9 2,08 0,75   42,2 е j 10°55'
        5,75 2,12 0,51 24,4 20 е j 6°10'
    23,7 78,6 5,75   1,75 39,3 20 е j 13°12'
        5,3 2,3 0,0875    
          2,05 1,25      
      50,4 6,35 7,7 0,8   3,94 е j 20°
      90,2 6,11 3,8 2,25   23,9 е j 14°18'
      6,2   2,4 0,8   56,4 е j 8°50'
      2,9 6,5 1,9 0,7   36 е j 7°50'

Продолжение таблицы 3.3

                   
      5,5     0,65   52,1 еj 12°25'
      9,6 7,4 5, 4 0,725 24,4 е j 8°12' 1800 еj 8°12'
    25,4 48,6 3,2 3,75 0,41    
        2,8 4,27 2,1   24,5 е j 15°22'
    91,5 12,6 3,6 3,35     45 е j 7°45'
    42,7 16,7 9,5 1,33 1,5   26,2
    94,2   3,4 3,54 0,95   6 е j 16°15'
        4,1 5,2 0,46   40 е j 5°12'
      10,2 3,4 3,54 0,9   750 еj 7°15'
      7,3 8,2 1,52 0,675   33,3 е j 23°10'
        9,6 5,08 0,625 16,05 е j 15° 1560 еj 15°
        5,9 4,16 0,75 70,5 1675 еj 10°55'
    7,5   5,75 8,48 0,51 20 е j 6°10' 2440 еj 6°10'
    16,75 157,2 5,75   1,75 55,4 2770 еj 13°12'
        10,6 4,6 0,0875    
    56,7     4,1 1,25 42,3  
      75,6 6,35 11,52 0,8 3,94 е j 20° 3110 еj 20°
      180,4 12, 22 7,6 4,5   419 еj 14°18'
      6,2   4, 8 0,8 28,2 е j 8°50' 355 еj 8°50'
      5,8 6,5 3,8 0,7 14,1 392 еj 7°50'
            0,65 52,1 е j 12°25' 2300 еj 12°25'
      19,2 7,4 10,8 0,725   24,4 е j 8°12'
    25,4 48,6 6, 4 7,5 0,41 22,5  
    10,5   5,6 8,54 4, 2   800 еj 15°22'
    45,75 50,4 3,6 13,4   45 е j 7°45' 980 еj 7°45'
    30,2 33, 4 9,5 2,66 1,5 29,6  
    94,2   6,8 7,08 0,95   3 е j 16°15' 2000 еj 16°15'
    16, 3   4,1 10,4 0,46 22,6 565 еj 5°12'
      40,8 3,4 14,16 0,9 32 е j 7°15' 1500 еj 7°15'
      14,6 16,4 3, 04 1,35   900 еj 23°10'
                     

 


 




Поделиться с друзьями:


Дата добавления: 2014-11-18; Просмотров: 591; Нарушение авторских прав?; Мы поможем в написании вашей работы!


Нам важно ваше мнение! Был ли полезен опубликованный материал? Да | Нет



studopedia.su - Студопедия (2013 - 2025) год. Все материалы представленные на сайте исключительно с целью ознакомления читателями и не преследуют коммерческих целей или нарушение авторских прав! Последнее добавление




Генерация страницы за: 0.009 сек.