Студопедия

КАТЕГОРИИ:


Архитектура-(3434)Астрономия-(809)Биология-(7483)Биотехнологии-(1457)Военное дело-(14632)Высокие технологии-(1363)География-(913)Геология-(1438)Государство-(451)Демография-(1065)Дом-(47672)Журналистика и СМИ-(912)Изобретательство-(14524)Иностранные языки-(4268)Информатика-(17799)Искусство-(1338)История-(13644)Компьютеры-(11121)Косметика-(55)Кулинария-(373)Культура-(8427)Лингвистика-(374)Литература-(1642)Маркетинг-(23702)Математика-(16968)Машиностроение-(1700)Медицина-(12668)Менеджмент-(24684)Механика-(15423)Науковедение-(506)Образование-(11852)Охрана труда-(3308)Педагогика-(5571)Полиграфия-(1312)Политика-(7869)Право-(5454)Приборостроение-(1369)Программирование-(2801)Производство-(97182)Промышленность-(8706)Психология-(18388)Религия-(3217)Связь-(10668)Сельское хозяйство-(299)Социология-(6455)Спорт-(42831)Строительство-(4793)Торговля-(5050)Транспорт-(2929)Туризм-(1568)Физика-(3942)Философия-(17015)Финансы-(26596)Химия-(22929)Экология-(12095)Экономика-(9961)Электроника-(8441)Электротехника-(4623)Энергетика-(12629)Юриспруденция-(1492)Ядерная техника-(1748)

Элементы комбинаторики. Комбинаторика (комбинаторный анализ) - раздел дискретной математики, посвященный решению задач выбора и расположения элементов некоторого




 

Комбинаторика (комбинаторный анализ) - раздел дискретной математики, посвященный решению задач выбора и расположения элементов некоторого, обычно конечного, множества в соответствии с заданными правилами.

Правило произведения. Пусть из некоторого конечного множества

1-й объект можно выбрать к 1 способами,

2-ой объект - к 2 способами,

…..………………………...…, (1.2)

n-ый объект - к n способами.

Тогда произвольный набор, перечисленных n объектов, из данного множества можно выбрать к1·к2·…·кn способами.

Правило суммы. При выполнении условий (1.2), любой из объектов можно выбрать к1 + к2 + к3 + …+ кn способами.

Обычно в комбинаторике рассматривается идеализированный эксперимент по выбору наудачу к элементов из n. При этом элементы: а) не возвращаются обратно (схема выбора без возвращений); б) возвращаются обратно (схема выбора с возвращением).

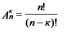
I. Схема выбора без возвращений. Размещением из n элементов по к называют любой упорядоченный набор из к элементов, принадлежащих n элементному множеству. Различные размещения отличны друг от друга или порядком элементов, или составом.

Число размещений из n элементов по к обозначается и вычисляется по формуле

, (1.3)

где n!= , 1!=1, 0!=1.

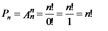
Перестановкой из n элементов называют размещение из n элементов по n. Перестановки отличаются друг от друга порядком своих элементов. Число перестановок из n элементов обозначают Рn и вычисляют по формуле

. (1.4)

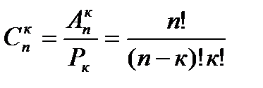
Сочетанием из n элементов по к называется любой набор из к элементов, принадлежащих n элементному множеству. Различные сочетания отличаются друг от друга только составом своих элементов.

Число сочетаний из n элементов по к обозначается и вычисляется по формуле

. (1.5)

 

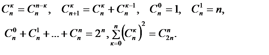
Справедливы тождества:

(1.6)

II.Схема выбора с возвращениями. Если при выборе к элементов из n - элементы возвращаются обратно и упорядочиваются, то говорят, что это размещения с повторениями.

Число размещений с повторениями

. (1.7)

Если при выборе к элементов из n элементы возвращаются обратно без последующего упорядочивания, то говорят, что это сочетания с повторениями. Число сочетаний с повторениями из n элементов по к

. (1.8)

III. Схема упорядоченных разбиений. Пусть к12,…,кr – целые числа, такие, что к1 + к2+…+кr=n, кi³0 (i=1,2,...,r).Число способов, которыми генеральную совокупность из n элементов можно разделить на r упорядоченных частей (r подмножеств или r групп), из которых первая содержит к1 элементов, вторая - к2 элементов и r-тая - кr элементов обозначается Сn1, к2,…, кr) и вычисляется по формуле

. (1.9)

Числа, которые определяются по формуле (1.9), называются полиномиальными коэффициентами.

 




Поделиться с друзьями:


Дата добавления: 2014-11-20; Просмотров: 585; Нарушение авторских прав?; Мы поможем в написании вашей работы!


Нам важно ваше мнение! Был ли полезен опубликованный материал? Да | Нет



studopedia.su - Студопедия (2013 - 2026) год. Все материалы представленные на сайте исключительно с целью ознакомления читателями и не преследуют коммерческих целей или нарушение авторских прав! Последнее добавление




Генерация страницы за: 0.012 сек.