Студопедия

КАТЕГОРИИ:


Архитектура-(3434)Астрономия-(809)Биология-(7483)Биотехнологии-(1457)Военное дело-(14632)Высокие технологии-(1363)География-(913)Геология-(1438)Государство-(451)Демография-(1065)Дом-(47672)Журналистика и СМИ-(912)Изобретательство-(14524)Иностранные языки-(4268)Информатика-(17799)Искусство-(1338)История-(13644)Компьютеры-(11121)Косметика-(55)Кулинария-(373)Культура-(8427)Лингвистика-(374)Литература-(1642)Маркетинг-(23702)Математика-(16968)Машиностроение-(1700)Медицина-(12668)Менеджмент-(24684)Механика-(15423)Науковедение-(506)Образование-(11852)Охрана труда-(3308)Педагогика-(5571)Полиграфия-(1312)Политика-(7869)Право-(5454)Приборостроение-(1369)Программирование-(2801)Производство-(97182)Промышленность-(8706)Психология-(18388)Религия-(3217)Связь-(10668)Сельское хозяйство-(299)Социология-(6455)Спорт-(42831)Строительство-(4793)Торговля-(5050)Транспорт-(2929)Туризм-(1568)Физика-(3942)Философия-(17015)Финансы-(26596)Химия-(22929)Экология-(12095)Экономика-(9961)Электроника-(8441)Электротехника-(4623)Энергетика-(12629)Юриспруденция-(1492)Ядерная техника-(1748)

Защитный угол светильника




Назначение осветительных приборов

Осветительные приборы

Н А З Н А Ч Е Н И Е  
перераспределение излучаемого источником света потока в необходимом направлении
предохранение глаз работающего человека от слепящего действия чрезмерно ярких элементов источника света
предохранение источника света от механических воздействий, которые могут привести к разрушению хрупких его частей
предохранение источника света от загрязнений, снижающих коэффициент пропускания трубки или колбы
изоляции источника света от окружающей среды для предупреждения коррозии токоведущих частей (цоколей, патронов) и возникновения взрыва при работе во взрывоопасной среде
эстетического и архитектурного оформления производственных помещений.

Основные характеристики осветительных приборов  
кривые распределения силы света
коэффициент усиления
защитный угол
коэффициент полезного действия


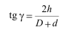
Защитный угол светильника определяет меру защиты глаз работающего от воздействия ярких частей источников света. Величину защитного угла определяют геометрически (рис) при условии неподвижной подвески светильника в точке О:

Рис. Схема к определению защитного угла светильника

 




Поделиться с друзьями:


Дата добавления: 2014-12-08; Просмотров: 561; Нарушение авторских прав?; Мы поможем в написании вашей работы!


Нам важно ваше мнение! Был ли полезен опубликованный материал? Да | Нет



studopedia.su - Студопедия (2013 - 2026) год. Все материалы представленные на сайте исключительно с целью ознакомления читателями и не преследуют коммерческих целей или нарушение авторских прав! Последнее добавление




Генерация страницы за: 0.011 сек.