Студопедия

КАТЕГОРИИ:


Архитектура-(3434)Астрономия-(809)Биология-(7483)Биотехнологии-(1457)Военное дело-(14632)Высокие технологии-(1363)География-(913)Геология-(1438)Государство-(451)Демография-(1065)Дом-(47672)Журналистика и СМИ-(912)Изобретательство-(14524)Иностранные языки-(4268)Информатика-(17799)Искусство-(1338)История-(13644)Компьютеры-(11121)Косметика-(55)Кулинария-(373)Культура-(8427)Лингвистика-(374)Литература-(1642)Маркетинг-(23702)Математика-(16968)Машиностроение-(1700)Медицина-(12668)Менеджмент-(24684)Механика-(15423)Науковедение-(506)Образование-(11852)Охрана труда-(3308)Педагогика-(5571)Полиграфия-(1312)Политика-(7869)Право-(5454)Приборостроение-(1369)Программирование-(2801)Производство-(97182)Промышленность-(8706)Психология-(18388)Религия-(3217)Связь-(10668)Сельское хозяйство-(299)Социология-(6455)Спорт-(42831)Строительство-(4793)Торговля-(5050)Транспорт-(2929)Туризм-(1568)Физика-(3942)Философия-(17015)Финансы-(26596)Химия-(22929)Экология-(12095)Экономика-(9961)Электроника-(8441)Электротехника-(4623)Энергетика-(12629)Юриспруденция-(1492)Ядерная техника-(1748)

Параметричний тест Гольдфельда — Квандта




Коли сукупність спостережень невелика, то розглянутий метод не застосовний.

У такому разі Гольдфельд і Квандт запропонували розглянути випадок, коли , тобто дисперсія залишків зростає пропорційно до квадрата однієї з незалежних змінних моделі:

Y = XA + u.

Для виявлення наявності гетероскедастичності згадані вчені склали параметричний тест, в якому потрібно виконати такі кроки.

Крок 1. Упорядкувати спостереження відповідно до величини елементів вектора Xj.

Крок 2. Відкинути c спостережень, які містяться в центрі вектора. Згід­но з експериментальними розрахунками автори знайшли оптимальні спів­відношення між параметрами c і n, де n — кількість елементів вектора :

Крок 3. Побудувати дві економетричні моделі на основі 1МНК за двома утвореними сукупностями спостережень за умови, що перевищує кількість змінних m.

Крок 4. Знайти суму квадратів залишків за першою і другою моделями і :

, де — залишки за моделлю (1);

, де — залишки за моделлю (2).

Крок 7. Обчислити критерій

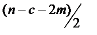
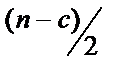
який в разі виконання гіпотези про гомоскедастичність відповідатиме F -роз­поділу з , ступенями свободи. Це означає, що обчислене значення R * порівнюється з табличним значенням F -крите­рію для ступенів свободи і і вибраного рівня довіри. Якщо , то гетероскедастичність відсутня.

 




Поделиться с друзьями:


Дата добавления: 2014-12-10; Просмотров: 524; Нарушение авторских прав?; Мы поможем в написании вашей работы!


Нам важно ваше мнение! Был ли полезен опубликованный материал? Да | Нет



studopedia.su - Студопедия (2013 - 2026) год. Все материалы представленные на сайте исключительно с целью ознакомления читателями и не преследуют коммерческих целей или нарушение авторских прав! Последнее добавление




Генерация страницы за: 0.007 сек.