Студопедия

КАТЕГОРИИ:


Архитектура-(3434)Астрономия-(809)Биология-(7483)Биотехнологии-(1457)Военное дело-(14632)Высокие технологии-(1363)География-(913)Геология-(1438)Государство-(451)Демография-(1065)Дом-(47672)Журналистика и СМИ-(912)Изобретательство-(14524)Иностранные языки-(4268)Информатика-(17799)Искусство-(1338)История-(13644)Компьютеры-(11121)Косметика-(55)Кулинария-(373)Культура-(8427)Лингвистика-(374)Литература-(1642)Маркетинг-(23702)Математика-(16968)Машиностроение-(1700)Медицина-(12668)Менеджмент-(24684)Механика-(15423)Науковедение-(506)Образование-(11852)Охрана труда-(3308)Педагогика-(5571)Полиграфия-(1312)Политика-(7869)Право-(5454)Приборостроение-(1369)Программирование-(2801)Производство-(97182)Промышленность-(8706)Психология-(18388)Религия-(3217)Связь-(10668)Сельское хозяйство-(299)Социология-(6455)Спорт-(42831)Строительство-(4793)Торговля-(5050)Транспорт-(2929)Туризм-(1568)Физика-(3942)Философия-(17015)Финансы-(26596)Химия-(22929)Экология-(12095)Экономика-(9961)Электроника-(8441)Электротехника-(4623)Энергетика-(12629)Юриспруденция-(1492)Ядерная техника-(1748)

С переменным перепадом давления




Определение расхода газа и жидкости приборами

 

Принцип действия приборов с переменным перепадом давления основан на том, что на пути движения жидкости или газа ставят преграду с отверстием.

В качестве преград применяют диафрагмы, сопла и трубки Вен-
тури (рис. 51), называемые д р о с с е л и р у ю щ и м и устрой-
т в а м и.
При прохождении потока через такую преграду, происходит
увеличение скорости, а следовательно, и увеличение динамического

 

 

напора. При этом изменяются значения статических напоров, раз-
ость которых покажет дифференциальный манометр, установленный до и после преграды.

 

а)

 
 

 
 

 

 

Рис. Дросселирующие устройства

а) мерная диафрагма;

б) сопло;

в) труба Вентури

 

 

Мерная диафрагма (рис а) представляет собой тонкий диск с отверстием круглого сечения, центр которого расположен на оси трубы.

Выберем в трубопроводе два сечения: первое I-I площадью S1 – до сужения потока, средняя скорость потока в этом сечении w1; второе II-II площадью S2 – непосредственно в месте сужения, средняя скорость потока в этом сечении w2 . Диаметр струи после преграды меньше диаметра отверстия в диафрагме, так как струя по инерции сужается, и, следовательно, и максимальное значение скорости будет не в диафрагме, а за ней.

Запишем уравнение Бернулли для широкого I-I и узкого II-II сечения потока:

 

p1/ρg+ w 12/2g = p2/ρg+ w 22/2g,

p1/ρg - p2/ρg = w 22/2g - w 12/2g,

p1/ρg - p2/ρg =∆h

w 22/2g - w 12/2g=∆h (*)

Согласно интегральной форме уравнения сплошности струи: w1S1 = w2S2.. Выразим из этой формулы w1 и подставим в уравнение *:

w1 = .

- ( )2· = ∆h,

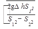
отсюда w2 = .

Для турбулентного движения w2 ср = 0,8w2 max,

 

w2 ср = 0,8 , S12>>S22, значит w2 ср = 0,8 = 0,8 ,

следовательно, расход жидкости можно определить по формуле W = 0,8 ·S2.

Диафрагма не отражает характер сужения потока, поэтому при сужении потока и при его расширении теряется большое количество энергии.

Вместо мерной диафрагмы можно использовать мерное сопло (рис б), представляющее собой насадок с плавно закруглённым входом и цилиндрическим выходом. Сопло более сложно в изготовлении и требует довольно длинный участок для установки, но гидравлическое сопротивление его меньше, чем диафрагмы, соответственно меньше потери напора.

Ещё одним видом дроссельного прибора является труба Вентури (рис в), представляющая собой насадок, по ходу потока сначала постепенно сужающийся, а затем постепенно расширяющийся до первоначального размера. Благодаря плавному изменению сечения потока гидравлическое сопротивление трубы Вентури гораздо меньше, чем мерной диафрагмы и сопла. Однако труба более сложна в изготовлении и требует для установки очень длинный участок трубопровода, поэтому она использутся для измерения расхода только в исследовательских целях.

 




Поделиться с друзьями:


Дата добавления: 2014-12-16; Просмотров: 579; Нарушение авторских прав?; Мы поможем в написании вашей работы!


Нам важно ваше мнение! Был ли полезен опубликованный материал? Да | Нет



studopedia.su - Студопедия (2013 - 2025) год. Все материалы представленные на сайте исключительно с целью ознакомления читателями и не преследуют коммерческих целей или нарушение авторских прав! Последнее добавление




Генерация страницы за: 0.01 сек.