Студопедия

КАТЕГОРИИ:


Архитектура-(3434)Астрономия-(809)Биология-(7483)Биотехнологии-(1457)Военное дело-(14632)Высокие технологии-(1363)География-(913)Геология-(1438)Государство-(451)Демография-(1065)Дом-(47672)Журналистика и СМИ-(912)Изобретательство-(14524)Иностранные языки-(4268)Информатика-(17799)Искусство-(1338)История-(13644)Компьютеры-(11121)Косметика-(55)Кулинария-(373)Культура-(8427)Лингвистика-(374)Литература-(1642)Маркетинг-(23702)Математика-(16968)Машиностроение-(1700)Медицина-(12668)Менеджмент-(24684)Механика-(15423)Науковедение-(506)Образование-(11852)Охрана труда-(3308)Педагогика-(5571)Полиграфия-(1312)Политика-(7869)Право-(5454)Приборостроение-(1369)Программирование-(2801)Производство-(97182)Промышленность-(8706)Психология-(18388)Религия-(3217)Связь-(10668)Сельское хозяйство-(299)Социология-(6455)Спорт-(42831)Строительство-(4793)Торговля-(5050)Транспорт-(2929)Туризм-(1568)Физика-(3942)Философия-(17015)Финансы-(26596)Химия-(22929)Экология-(12095)Экономика-(9961)Электроника-(8441)Электротехника-(4623)Энергетика-(12629)Юриспруденция-(1492)Ядерная техника-(1748)

ПРОГРАМА 1 страница




Дж

Дж

Дж

Дж

Дж

 

493. Чему равна работа, совершаемая газом при переходе из состояния 1 в 2?

1. 400 Дж

2. 600 Дж

3. 200 Дж

4. 200 Дж

5. 0 Дж

 

494. Чему равна энтропия конденсированного тела при 0 К?

1. S=0

2. S®¥

3. S= Q/DT

4. S2-S1=

5. DS =A/DT

 

495. Как изменится КПД идеальной тепловой машины, если абсолютную температуру нагревателя и холодильника увеличить вдвое?

1. не изменится.

2. увеличится в 2 раза.

3. увеличится в 4 раза.

4. уменьшится в 2 раза.

5. уменьшится в 4 раза.

 

496. Газ в идеальной тепловой машине отдает холодильнику 60% теплоты, получаемой от нагревателя. Чему равно кпд машины?

1. 40 %

2. 55 %

3. 70 %

4. 35 %

5. 29 %

 

497. Какой участок цикла Карно описывает изотермический процесс?

 

 

1. 1 и 3

2. 2

3. 2 и 4

4. 4

5. 4 и 3

 

498. Автомобиль массой 1 т, двигавшийся со скоростью 36 км/час, резко затормозил перед светофором. Какое количество теплоты выделилось при торможении автомобиля до остановки?

1. 50 кДж

2. 25 кДж

3. 75 кДж

4. 40 кДж

5. 0

 

499. Вычислить удельную теплоемкость неона при постоянном объеме. Молярная масса неона , .

1. 623

2. 523

3. 313

4. 1246

5. 267

 

500. Чему равна разность теплоемкостей для одного моля?

1. 8,31

2. 4.10-3

3. 6,28

4. 2.10-3

5. 3,01

 

501. При изотермическом расширении азота при температуре 280 К объем его увеличился в два раза. Определить изменение внутренней энергии газа.

1. 0 Дж

2. 2,30.104 Дж

3. 1.104 Дж

4. 2.104 Дж

5. 1,5.104 Дж

 

502. Укажите формулу, выражающую первый закон термодинамики.

1.

2.

3.

4.

5.

 

503. Газ получил количество теплоты 300 Дж, а его внутренняя энергия увеличилась на 100 Дж. Значит, он совершил работу, равную:

1. 200 Дж

2. 100 Дж

3. 0 Дж

4. 300 Дж

5. 400 Дж

 

504. Вычислить работу, совершенную внешними силами над газом, если он получил количество теплоты 100 Дж, а внутренняя энергия его увеличилась на 300 Дж.

1. 200 Дж

2. 300 Дж

3. 500 Дж

4. 100 Дж

5. 400 Дж

 

505. Какое количество теплоты получено газом, если при уменьшении внутренней энергии на 100 Дж он совершил работу 300 Дж?

1. 200 Дж

2. 100 Дж

3. 0 Дж

4. 300 Дж

5. 400 Дж

 

506. Объем газа, находящегося под давлением 105 Па, изобарно вырос от 3 до 5 м3. Определите работу, совершаемую газом при расширении.

1. 2.105 Дж

2. 5.105 Дж

3. 3.105 Дж

4. 4.105 Дж

5. 0 Дж

 

507. При изотермическом расширении идеальный газ совершает работу А=20 Дж. Какое количество теплоты сообщили газу?

1. 20 Дж

2. 10 Дж

3. 15 Дж

4. 5 Дж

5. 0 Дж

 

508. При изотермическом расширении идеальный газ совершает работу

А=20 Дж. На сколько изменится внутренняя энергия газа?

1. 0 Дж

2. 10 Дж

3. 20 Дж

4. 15 Дж

5. 5 Дж

 

509. Тепловая машина за один цикл получает от нагревателя количество теплоты 100 Дж и отдает холодильнику 40 Дж. Чему равен кпд машины?

1. 60%

2. 67%

3. 40%

4. 25%

5. 30%

 

510. Определить кпд тепловой машины, если известно, что за один цикл была произведена работа А=3 кДж и холодильнику передано энергии 17 кДж.

1. 15%

2. 20%

3. 32%

4. 40%

5. 8%

 

511. Совершая замкнутый процесс, газ получил от нагревателя количество теплоты 4 кДж. Определить работу газа при протекании цикла, если его кпд равен 10%.

1. 400 Дж

2. 250 Дж

3. 300 Дж

4. 350 Дж

5. 200 Дж

 

512. Оцените максимальное значение кпд, которое может иметь тепловая машина, если температура нагревателя 2270С и температура холодильника 270С.

1. 88%

2. 67%

3. 60%

4. 40%

5. 12%

 

513. Газ совершает цикл Карно. Абсолютная температура нагревателя в четыре раза выше абсолютной температуры холодильника. Определите долю теплоты, отдаваемой холодильнику.

1. 0,25

2. 0,15

3. 0,3

4. 0,5

5. 0,75

 

514. Газ совершает цикл Карно. Температура холодильника 300 К, нагревателя 500 К. Во сколько раз увеличится к.п.д. цикла, если температуру нагревателя повысить на Т = 200 К?

1. 1,43

2. 1,57

3. 2,11

4. 1,37

5. 2,96

 

515. Идеальный газ совершает цикл Карно. Температура нагревателя в три раза выше температуры холодильника. Нагреватель передал газу количество теплоты равный 42 кДж. Какую работу совершил газ?

1. 28 кДж

2. 14 кДж

3. 30 кДж

4. 42 кДж

5. 56 кДж

 

516. На диаграмме изображен термодинамический цикл. Чему равна полезная работа, совершенная газом за цикл?

1. 400 Дж

2. 600 Дж

3. 500 Дж

4. 900 Дж

5. 200 Дж

 

517. Чему равна работа, совершенная газом при переходе из состояния 1 в состояние 2?

1. 600 Дж

2. 200 Дж

3. 300 Дж

4. 0 Дж

5. 900 Дж

 

518. Газу передано количество теплоты 100 Дж и внешние силы совершили над ним работу в 300 Дж. Чему равно изменение внутренней энергии газа?

1. 400 Дж

2. 100 Дж

3. 200 Дж

4. 300 Дж

5. 0 Дж

 

519. Температуру нагревателя и холодильника теплового двигателя повысили на одинаковое количество градусов . Как изменяется при этом кпд двигателя?

1. уменьшится

2. увеличится в два раза

3. не изменится

4. увеличится

5. уменьшится в два раза

 

520. Тепловая машина от нагревателя получает количество теплоты , отдает холодильнику , совершает работу А. КПД двигателя определяется по формуле…

1.

2.

3.

4.

5.

 

521. Укажите первый закон термодинамики для изохорного процесса.

1.

2.

3.

4.

5.

 

522. Газ перешел из состояния 1 в состояние 2. Как изменится его внутренняя энергия?

1. увеличилась

2. нет определенности

3. уменьшилась

4. не изменится

5. вначале уменьшилась, затем увеличилась

 

523. Диаграмма какого процесса изображена на рисунке?

1. изотермы.

2. адиабаты.

3. изобары.

4. изохоры.

5. политропы.

 

524. Газ в идеальной тепловой машине отдает холодильнику 60% теплоты, полученной от нагревателя. Температура нагревателя равна 500 К. Чему равна температура холодильника?

1. 300 К

2. 400 К

3. 200 К

4. 100 К

5. 50 К

 

525. Внутренняя энергия 2 молей идеального газа равна 5 кДж. В результате изотермического расширения газ совершил работу 1кДж. Какой будет внутренняя энергия газа после расширения?

1. 5 кДж

2. 7 кДж

3. 4 кДж

4. 3 кДж

5. 6 кДж

 

526. При каком процессе количество теплоты, переданное идеальному газу, равно работе, совершенной газом?

1. изотермическом

2. адиабатическом

3. изохорическом

4. изобарическом

5. такой процесс невозможен

 

527. При каком процессе работа, совершенная над идеальным газом внешними силами для любого промежутка времени, равняется изменению внутренней энергии газа?

1. адиабатический

2. изотермический

3. изохорический

4. изобарический

5. такой процесс невозможен

 

528. Температура нагревателя и холодильника идеальной тепловой машины соответственно равны 400К и 300 К. Температуру нагревателя увеличили на 200 К. Как при этом изменился КПД машины?

1. увеличился в 2 раза

2. увеличился в 3 раза

3. увеличился в 4 раза

4. уменьшился в 3 раза

5. не изменился

 

529. Одноатомный идеальный газ нагревается изобарно. Какая часть переданного газу количества теплоты пошла на изменение внутренней энергии газа?

1. 0,6

2. 0,4

3. 0,5

4. 0,2

5. 0,8

 

530. Тело, с независящей от температуры теплоемкостью равной 20 Дж/К охлаждается от 100°С до 20°С. Определить количество полученного телом тепла.

1. -1,6 кДж

2. -2 кДж

3. 1,6 кДж

4. 9 кДж

5. 0,4 кДж

 

531. В ходе цикла Карно рабочее вещество получает от нагревателя тепло 300 кДж. Температура нагревателя 450 К, температура холодильника 270 К. Определить полезную работу за один цикл.

1. 120 кДж

2. 90 кДж

3. 180 кДж

4. 240 кДж

5. 300 кДж

 

532. Идеальному газу сообщили 75 Дж теплоты при постоянном объеме. Какую работу совершил при этом газ?

1. 0 Дж

2. 150 Дж

3. 75 Дж

4. 37,5 Дж

5. 300 Дж

 

533. Чему равно изменение внутренней энергии идеального газа при изотермическом уменьшении его объема на 6 м3 и увеличении давления на 300 кПа?

1. 0 кДж

2. 18 кДж

3. 9 кДж

4. 5 кДж

5. 50 кДж

 

534. В диаграмме цикл Карно состоит из…

1. двух изотерм и двух адиабат

2. двух изохор и двух изотерм

3. двух изохор и двух адиабат

4. двух адиабат и двух изобар

5. двух изобар и двух изотерм

 

535. Какое из приведенных отношений является приведенной теплотой?

1.

2.

3.

4.

5.

 

536. Что определяет второе начало термодинамики?

1. направление процессов в природе

2. закон сохранения импульса

3. закон сохранения массы

4. закон сохранения энергии

5. направление движения молекул газа при постоянной температуре

 

537. Как изменяется энтропия в необратимых процессах?

1. только возрастает

2. только убывает

3. остается неизменной

4. может возрастать или убывать

5. может убывать или оставаться постоянной

 

538. Как изменяется энтропия для обратимого адиабатного процесса?

1. остается неизменной

2. только возрастает

3. только убывает

4. может возрастать или убывать

5. может убывать или остаться постоянной

 

539. Каким процессам соответствуют графики 1-2, 2-3, 3-1?

1. изохорный, изобарный, изотермический

2. изобарный, изохорный, изотермический

3. изотермический, изобарный, изохорный

4. изохорный, изотермический, изобарный

5. не соответствует никаким процессам

 

540. При постоянном давлении р0 первоначальный объем идеального газа увеличился в 3 раза. Определите работу, совершенную газом:

1.

2.

3.

4.

5.

 

541. Объем газа, находящегося под давлением 105Па, изобарно возрос от 3 до 5м3. Определите работу, совершенную газом при расширении.

1. Дж

2. Дж

3. Дж

4. Дж

5. 0 Дж

 

542. При постоянном давлении 105 Па внешние силы совершили над газом работу 104 Дж. Как изменится объем газа в этом процессе?

1. уменьшился на 0,1 м3

2. увеличится в 10 раз

3. уменьшится в 10 раз

4. увеличится на 0,1 м3

5. не изменится

 

543. Какой должна быть температура нагревателя идеальной тепловой машины с КПД 80%, если температура холодильника 270С?

1.

2.

3.

4.

5.

 

Молекулярная физика 3. (Реальные газы. Фазовые переходы. Явления переноса)

 

544. Величина, равная массе вещества, переносимого через единицу площади за единицу времени при градиенте плотности равном единице называется…

1. коэффициентом диффузии

2. коэффициентом теплопроводности

3. коэффициентом вязкости

4. удельной теплоемкостью

5. коэффициентом поверхностного натяжения

 

545. Как называется температура при которой исчезают различия в физических свойствах между жидкостью и ее насыщенным паром?

1. критическая температура

2. температура Кюри

3. температура кипения

4. абсолютная температура

5. нормальная температура

 

546. В каком состоянии может находиться вещество при температуре, превышающей критическую температуру?

1. только в газообразном состоянии

2. только в жидком состоянии

3. только в твердом состоянии

4. в жидком и газообразном состояниях

5. в жидком и твердом состояниях

 

547. Чем обусловлено добавочное давление реального газа на стенки сосуда по сравнению с идеальным газом?

1. взаимодействием между молекулами на расстоянии

2. большей скоростью движения молекул реального газа

3. большей массой молекул реального газа

4. учетом размеров молекул в реальном газе

5. большей длиной свободного пробега молекул реального газа

 

548. Точка фазовой диаграммы, в которой находятся в равновесии твердая, жидкая и газообразная фазы вещества называется....

1. тройной точкой

2. критической точкой

3. точкой Кюри

4. точкой плавления

5. точкой кипения

 

549. По какой из формул рассчитывается внутренняя энергия реального газа?

1.

2.

3.

4.

5.

 

550. Какая из величин, входящих в уравнение Ван-дер-Ваальса: определяет собственный объем всех молекул реального газа, заключенных в одном моле газа?

1.

2. а

3. V

4. Р

5.

 

551. Уравнение Ван-дер-Ваальса описывает...

1. состояние реального газа

2. состояние идеального газа

3. внутреннюю энергию реального газа

4. изотермический процесс в идеальном газе

5. адиабатический процесс в идеальном газе

 

552. Какое из уравнений описывает состояние для одного моля реального газа в критической точке?

1.

2.

3.

4.

5.

 

553. Как называется состояние жидкости нагретой выше температуры кипения?

1. метастабильным

2. равновесным

3. критическим

4. стабильным

5. переходным

 

554. Водяной пар конденсируется. Поглощается или выделяется при этом энергия?

1. выделяется

2. поглощается

3. не поглощается и не выделяется

4. может поглощаться, а может выделяться

5. вначале выделяется, а затем поглощается

 

555. Укажите формулу, выражающую уравнение Ван-дер-Ваальса.

1.

2.

3.

4.

5.

 

556. Как изменяется температура жидкости от начала кипения до полного выкипания?

1. остается неизменной

2. понижается.

3. повышается.

4. у одних жидкостей повышается, а у других понижается.

5. среди ответов 1- 4 нет правильного.

 

557. Какая из приведенных сил является силой поверхностного натяжения.

1. F= sl

2. F= -kx

3. F= mg

4. F= ma

5. F= kN

 

558. Что переносится молекулами газа в явлении теплопроводности?

1. энергия

2. масса

3. импульс

4. заряд

5. момент импульса

 

559. Какое из явлений переноса обусловлено переносом импульса из одного слоя газа в другой?

1. вязкое трение

2. диффузия

3. теплопроводность

4. испарение

5. кристаллизация

 

560. Какие молекулы в атмосфере движутся быстрее: кислорода или водорода?

1. водорода

2. одинаково

3. кислорода

4. нет определенности

5. среди предложенных ответов нет правильного

 

561. В формуле высоты подъема жидкости в капиллярной трубки при полном смачивании стенки трубки h= , укажите коэффициент поверхностного натяжения:

1. s

2. g

3. R

4. h

5. r

 

562. В герметически закрытом сосуде находится вода и водяной пар. Как изменится концентрация молекул водяного пара при нагревании сосуда?

1. увеличится

2. уменьшится

3. не изменится

4. вначале уменьшится, затем увеличится

5. вначале увеличится, затем уменьшится

 

563. Что переносится молекулами газа в явлении вязкого трения?

1. импульс

2. масса

3. энергия

4. заряд

5. момент импульса

 

564. Какое из перечисленных явлений объясняется диффузией?

1. распространение запахов.

2. в комнате становится тепло от включенного радиатора.

3. выделение меди при электролизе.

4. круговорот воды в природе.

5. чай из алюминиевой кружки обжигает губы, а тот же чай из фарфоровой чашки не обжигает.

 

565. Каким путем совершается перенос энергии от Солнца к Земле?

1. излучением.

2. теплопроводностью.

3. конвекцией.

4. конвекцией и теплопроводностью.

5. конвекцией, теплопроводностью и излучением.

 

566. Какой вид теплопередачи: конвекция, теплопроводность или излучение не сопровождаются переносом вещества?

1. только излучение.

2. только теплопроводность.

3. только конвекция.

4. конвекция, теплопроводность и излучение.

5. теплопроводность и излучение.

 

Электричество 1. (Электростатика)

 

567. Как называется физическая величина, численно равная работе сторонних сил при перемещении единичного положительного заряда из одной точки поля в другую?

1. электродвижущая сила источника тока

2. сила тока

3. напряжение в цепи

4. сопротивление цепи

5. плотность тока

 

568. Как изменится напряженность электрического поля точечного заряда, если расстояние между зарядами увеличить в 5 раз?

1. уменьшится в 25раз

2. увеличится в 25 раз

3. не изменится

4. увеличится в 5 раз

5. уменьшится в 5 раз

 

569. Как изменится емкость плоского конденсатора, если пространство между пластинами заполнить диэлектриком с e=7?

1. увеличится в 7 раз

2. уменьшится в 49 раз

3. не изменится

4. увеличится в 49 раз

5. уменьшится в 7 раз

 

570. Как изменится электроемкость конденсатора, если разность потенциалов на его обкладках увеличить в 2 раза?

1. уменьшится в 2 раза

2. уменьшится в 6 раз

3. не изменится

4. увеличится в 2 раза

5. увеличится в 6 раз

 

571. Два одинаковых маленьких шарика, имеющих заряды 3 мкКл и 17 мкКл, соединили на короткое время, а затем вновь раздвинули. Какой заряд окажется на первом шарике?

1. 10 мкКл

2. 20 мкКл

3. 3 мкКл

4. 17 мкКл

5. 14 мкКл

 

572. Работа кулоновских сил по перемещению единичного заряда из одной точки электрического поля в другую называется …

1. разностью потенциалов

2. напряженностью

3. потенциалом

4. электроемкостью

5. электродвижущей силой

 

573. По какой формуле определяется объемная плотность энергии электростатического поля?

1.

2.

3.

4.

5.

 

574. Два конденсатора одинаковой емкости по 8 мкФ каждый соединены последовательно. Чему равна емкость такой батареи?

1. 4 мкФ

2. 16 мкФ

3. 12 мкФ

4. 8 мкФ

5. 2 мкФ

 

575. Касательная в каждой точке к силовой линии совпадает по направлению с вектором.

1. напряженности

2. скорости

3. ускорения

4. градиентом потенциала

5. перемещения

 

576. По какой формуле определяется поток электрического смещения сквозь произвольную поверхность?

1.

2.

3.

4.

5.

 

577. Чему равна циркуляция вектора напряженности электростатического поля вдоль замкнутого контура?

1. 0

2. const < 0

3. const > 0

4. 2pR

5. pR

 

578. Работа, совершаемая силами электростатического поля, при перемещении точечного единичного заряда из одной точки поля в другую называется…

1. разностью потенциалов

2. потенциалом

3. электроемкостью

4. напряженностью

5. потоком электрического смещения

 

579. Суммарный электрический момент единицы объема однородного диэлектрика называется …

1. вектором поляризации

2. поляризуемостью

3. диэлектрической восприимчивостью

4. электроемкостью

5. диэлектрической проницаемостью

 

580. По какой формуле определяется напряженность электростатического поля вблизи поверхности заряженного проводника?




Поделиться с друзьями:


Дата добавления: 2014-12-16; Просмотров: 1478; Нарушение авторских прав?; Мы поможем в написании вашей работы!


Нам важно ваше мнение! Был ли полезен опубликованный материал? Да | Нет



studopedia.su - Студопедия (2013 - 2026) год. Все материалы представленные на сайте исключительно с целью ознакомления читателями и не преследуют коммерческих целей или нарушение авторских прав! Последнее добавление




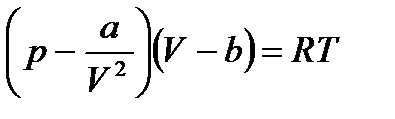
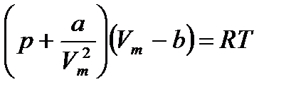
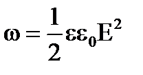
Генерация страницы за: 0.014 сек.