Студопедия

КАТЕГОРИИ:


Архитектура-(3434)Астрономия-(809)Биология-(7483)Биотехнологии-(1457)Военное дело-(14632)Высокие технологии-(1363)География-(913)Геология-(1438)Государство-(451)Демография-(1065)Дом-(47672)Журналистика и СМИ-(912)Изобретательство-(14524)Иностранные языки-(4268)Информатика-(17799)Искусство-(1338)История-(13644)Компьютеры-(11121)Косметика-(55)Кулинария-(373)Культура-(8427)Лингвистика-(374)Литература-(1642)Маркетинг-(23702)Математика-(16968)Машиностроение-(1700)Медицина-(12668)Менеджмент-(24684)Механика-(15423)Науковедение-(506)Образование-(11852)Охрана труда-(3308)Педагогика-(5571)Полиграфия-(1312)Политика-(7869)Право-(5454)Приборостроение-(1369)Программирование-(2801)Производство-(97182)Промышленность-(8706)Психология-(18388)Религия-(3217)Связь-(10668)Сельское хозяйство-(299)Социология-(6455)Спорт-(42831)Строительство-(4793)Торговля-(5050)Транспорт-(2929)Туризм-(1568)Физика-(3942)Философия-(17015)Финансы-(26596)Химия-(22929)Экология-(12095)Экономика-(9961)Электроника-(8441)Электротехника-(4623)Энергетика-(12629)Юриспруденция-(1492)Ядерная техника-(1748)

Вопрос 24 Равновесие потребителя




Равновесие потребителя (consumer equilibrium) — точка, в которой потребитель максимизирует свою общую полезность или удовлетворение от расходования фиксированного дохода.

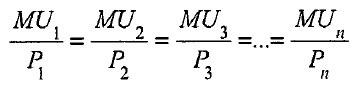
Равновесие потребителя может быть выражено следующим образом:

где MU — предельная полезность отдельных товаров;
P — их цена.

Если кривая безразличия показывает, что потребитель хотел бы купить, а бюджетная линия — что потребитель может купить, то в своем единстве они могут ответить на вопрос, как обеспечить максимальное удовлетворение от покупки при ограниченном бюджете. Кривые безразличия и бюджетная линия используются для графической интерпретации ситуации, когда потребитель максимизирует полезность, получаемую им от покупки двух разных благ при имеющемся бюджете.

Оптимальный набор потребительских благ должен отвечать двум требованиям:

  • находиться на бюджетной линии;
  • предоставить потребителю наиболее предпочтительное сочетание.

Данные условия и их реализация обеспечивают оптимальный выбор точки на бюджетной линии. Для этого необходимо наложить бюджетную линию на карту кривых безразличия, как это показано на графике.

Равновесие потребителя

В данном случае прямая KL — это бюджетная линия, а кривые U 1, U 2, U 3, U 4 — это кривые безразличия. При имеющемся доходе потребитель, свободно перемещаясь по прямой KL, будет стремиться к точке М (бюджетная линия KL касается кривой безразличия U 2), где он получит наибольшую полезность. U 2 является наивысшей кривой которую может достичь потребитель при имеющемся доходе.

 

 




Поделиться с друзьями:


Дата добавления: 2014-12-16; Просмотров: 511; Нарушение авторских прав?; Мы поможем в написании вашей работы!


Нам важно ваше мнение! Был ли полезен опубликованный материал? Да | Нет



studopedia.su - Студопедия (2013 - 2026) год. Все материалы представленные на сайте исключительно с целью ознакомления читателями и не преследуют коммерческих целей или нарушение авторских прав! Последнее добавление




Генерация страницы за: 0.008 сек.