Студопедия

КАТЕГОРИИ:


Архитектура-(3434)Астрономия-(809)Биология-(7483)Биотехнологии-(1457)Военное дело-(14632)Высокие технологии-(1363)География-(913)Геология-(1438)Государство-(451)Демография-(1065)Дом-(47672)Журналистика и СМИ-(912)Изобретательство-(14524)Иностранные языки-(4268)Информатика-(17799)Искусство-(1338)История-(13644)Компьютеры-(11121)Косметика-(55)Кулинария-(373)Культура-(8427)Лингвистика-(374)Литература-(1642)Маркетинг-(23702)Математика-(16968)Машиностроение-(1700)Медицина-(12668)Менеджмент-(24684)Механика-(15423)Науковедение-(506)Образование-(11852)Охрана труда-(3308)Педагогика-(5571)Полиграфия-(1312)Политика-(7869)Право-(5454)Приборостроение-(1369)Программирование-(2801)Производство-(97182)Промышленность-(8706)Психология-(18388)Религия-(3217)Связь-(10668)Сельское хозяйство-(299)Социология-(6455)Спорт-(42831)Строительство-(4793)Торговля-(5050)Транспорт-(2929)Туризм-(1568)Физика-(3942)Философия-(17015)Финансы-(26596)Химия-(22929)Экология-(12095)Экономика-(9961)Электроника-(8441)Электротехника-(4623)Энергетика-(12629)Юриспруденция-(1492)Ядерная техника-(1748)

Числові вирази




Передмова

Даний збірник містить різні завдання, які можна використовувати для повторення курсу математики на базі основної школи. Ним можуть скористатися учні 9-х класів для підготовки до державної атестації, абітурієнти для підготовки до вступних іспитів, студенти 1-х курсів для систематизації знань, отриманих в школі.

Завдання підібрано по темах. Кожна тема містить вправи різної складності, від простих до складних. Це дозволяє застосувати диференційний підхід до учнів та студентів з різним рівнем підготовки. Простіші завдання можна використати для формування елементарних навичок. При розв’язання складніших вправ, формуються вміння застосовувати певні алгоритми в нестандартних ситуаціях. Вправи з парним номером відповідають за типом вправам з непарним номером. Завдання з непарним номером можна, наприклад, застосувати для розв’язування в аудиторії. Тоді вправи з парним номером, - як домашнє завдання або завдання для самостійної роботи.

В збірнику є зразки білетів вступних іспитів до Київського електромеханічного технікуму попередніх років. Вони дадуть змогу майбутнім абітурієнтам скласти уяву про рівень завдань, що пропонуються на іспиті.

Також у збірнику є програма для вступників, в якій вказано обсяг знань, вмінь, навичок, які необхідно мати абітурієнту після завершення основної школи. Завдання, що запропоновані у збірнику, не виходять за рамки цієї програми.

 

 


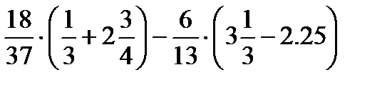
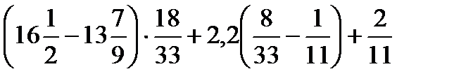
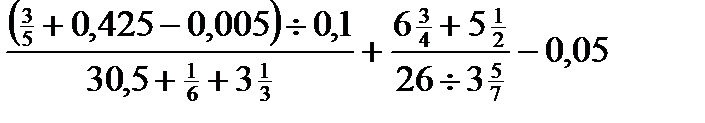
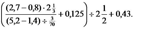
Обчислити числові вирази:


1.

2.


3.

4.


5.

6.


7.

8.


9.

10.


11.

12.


13.

14.


15.

16.


17.

18.


19.

20.


21.

22.





Поделиться с друзьями:


Дата добавления: 2014-12-17; Просмотров: 823; Нарушение авторских прав?; Мы поможем в написании вашей работы!


Нам важно ваше мнение! Был ли полезен опубликованный материал? Да | Нет



studopedia.su - Студопедия (2013 - 2026) год. Все материалы представленные на сайте исключительно с целью ознакомления читателями и не преследуют коммерческих целей или нарушение авторских прав! Последнее добавление




Генерация страницы за: 0.012 сек.