Студопедия

КАТЕГОРИИ:


Архитектура-(3434)Астрономия-(809)Биология-(7483)Биотехнологии-(1457)Военное дело-(14632)Высокие технологии-(1363)География-(913)Геология-(1438)Государство-(451)Демография-(1065)Дом-(47672)Журналистика и СМИ-(912)Изобретательство-(14524)Иностранные языки-(4268)Информатика-(17799)Искусство-(1338)История-(13644)Компьютеры-(11121)Косметика-(55)Кулинария-(373)Культура-(8427)Лингвистика-(374)Литература-(1642)Маркетинг-(23702)Математика-(16968)Машиностроение-(1700)Медицина-(12668)Менеджмент-(24684)Механика-(15423)Науковедение-(506)Образование-(11852)Охрана труда-(3308)Педагогика-(5571)Полиграфия-(1312)Политика-(7869)Право-(5454)Приборостроение-(1369)Программирование-(2801)Производство-(97182)Промышленность-(8706)Психология-(18388)Религия-(3217)Связь-(10668)Сельское хозяйство-(299)Социология-(6455)Спорт-(42831)Строительство-(4793)Торговля-(5050)Транспорт-(2929)Туризм-(1568)Физика-(3942)Философия-(17015)Финансы-(26596)Химия-(22929)Экология-(12095)Экономика-(9961)Электроника-(8441)Электротехника-(4623)Энергетика-(12629)Юриспруденция-(1492)Ядерная техника-(1748)

Теоретические пояснения. Задания для тренировки




ЦЕЛЬ РАБОТЫ

Лабораторная работа № 8

ДЛЯ ДОМАШНЕЙ ПОДГОТОВКИ

Задания для тренировки

 

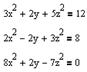
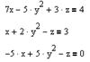
1) Решите системы уравнений:

 

2) Символьные вычисления.

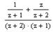
Упростить выражения:

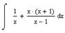
Определить интеграл и производную в символьном виде:

3) Постройте график функции и график её производной на одном графике.

 

КОНТРОЛЬНЫЕ ВОПРОСЫ

1. Область применения Maxima, её достоинства и недостатки по сравнению с SMath Studio.

2. Опишите синтаксис функции plot2d(), какие методы вывода графики, кроме gnuplot использует программа.

3. Опишите достоинства и недостатки применения функции Ode2.

4. В чём по вашему мнению состоят преимущества символьного вычисления в отличии от численного?

5. Перечислите известные вам функции для символьных преобразований.


Математические расчёты с помощью программы SciLAB.

 

1. Получить навыки работы в пакете прикладных математических программ - SciLab.

2. Научиться использовать SciLab для решения различных математических задач.

3. Научиться строить визуализировать результаты решения с помощью графиков.

SciLab – бесплатный пакет прикладных математических программ для инженерных (технических) и научных расчётов. Программа является бесплатным аналогом мощнейшего пакета математических вычислений – MatLab. В SciLab присутствует модуль scicos, который является аналогом модуля Simulink из MatLab.




Поделиться с друзьями:


Дата добавления: 2014-12-17; Просмотров: 649; Нарушение авторских прав?; Мы поможем в написании вашей работы!


Нам важно ваше мнение! Был ли полезен опубликованный материал? Да | Нет



studopedia.su - Студопедия (2013 - 2026) год. Все материалы представленные на сайте исключительно с целью ознакомления читателями и не преследуют коммерческих целей или нарушение авторских прав! Последнее добавление




Генерация страницы за: 0.008 сек.