Студопедия

КАТЕГОРИИ:


Архитектура-(3434)Астрономия-(809)Биология-(7483)Биотехнологии-(1457)Военное дело-(14632)Высокие технологии-(1363)География-(913)Геология-(1438)Государство-(451)Демография-(1065)Дом-(47672)Журналистика и СМИ-(912)Изобретательство-(14524)Иностранные языки-(4268)Информатика-(17799)Искусство-(1338)История-(13644)Компьютеры-(11121)Косметика-(55)Кулинария-(373)Культура-(8427)Лингвистика-(374)Литература-(1642)Маркетинг-(23702)Математика-(16968)Машиностроение-(1700)Медицина-(12668)Менеджмент-(24684)Механика-(15423)Науковедение-(506)Образование-(11852)Охрана труда-(3308)Педагогика-(5571)Полиграфия-(1312)Политика-(7869)Право-(5454)Приборостроение-(1369)Программирование-(2801)Производство-(97182)Промышленность-(8706)Психология-(18388)Религия-(3217)Связь-(10668)Сельское хозяйство-(299)Социология-(6455)Спорт-(42831)Строительство-(4793)Торговля-(5050)Транспорт-(2929)Туризм-(1568)Физика-(3942)Философия-(17015)Финансы-(26596)Химия-(22929)Экология-(12095)Экономика-(9961)Электроника-(8441)Электротехника-(4623)Энергетика-(12629)Юриспруденция-(1492)Ядерная техника-(1748)

Принцип работы установки




ИЗМЕРЕНИЕ МОМЕНТА ИНЕРЦИИ С ПОМОЩЬЮ МАЯТНИКА МАКСВЕЛЛА

РАБОТА № 7

Принадлежности: маятник Максвелла со сменными кольцами.

Цель работы: определение момента инерции маятника.

Маятник Максвелла схематически изображен на рисунке 1. Принцип его работы основан на том, что поднятый на высоту h маятник, обладающий массой m, будет иметь потенциальную энергию mgh (g -ускорение свободного падения). Если маятник освободить, то он начнет раскручиваться и опускаться вниз. При этом его потенциальная энергия будет переходить в кинетическую энергию. Та, в свою очередь, складывается из энергии поступательного движения mv2/2 и вращательного движения Iw2/2. На основании закона сохранения механической энергии запишем:

mgh = mv 2/2 + Iw2/2 (1),

где h - ход маятника (высота, на которую он опустился), v‑скорость движения оси маятника, w- угловая скорость маятника в тот же момент времени.

Из уравнения (1), с учетом того, что v = Rw, где R - радиус оси маятника, получаем:

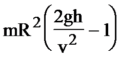
I = (2).

Учитывая, что при равноускоренном движении оси маятника:

v 2 = 2ah, (3),

h = at2 /2 (4),

(здесь а - ускорение, с которым опускается маятник, t – время движения маятника) получаем значение момента инерции маятника:

I экс = (5).

Все величины, входящие в формулу (5) могут быть непосредственно измерены.

Значение момента инерции маятника можно представить в виде суммы:

Iтеор= I0 + Iк (6),

где Iк = mк - момент инерции сменного кольца (mк - масса кольца, Rк - средний радиус кольца), I0 - момент инерции маятника без сменного кольца.




Поделиться с друзьями:


Дата добавления: 2014-11-29; Просмотров: 583; Нарушение авторских прав?; Мы поможем в написании вашей работы!


Нам важно ваше мнение! Был ли полезен опубликованный материал? Да | Нет



studopedia.su - Студопедия (2013 - 2025) год. Все материалы представленные на сайте исключительно с целью ознакомления читателями и не преследуют коммерческих целей или нарушение авторских прав! Последнее добавление




Генерация страницы за: 0.007 сек.