Студопедия

КАТЕГОРИИ:


Архитектура-(3434)Астрономия-(809)Биология-(7483)Биотехнологии-(1457)Военное дело-(14632)Высокие технологии-(1363)География-(913)Геология-(1438)Государство-(451)Демография-(1065)Дом-(47672)Журналистика и СМИ-(912)Изобретательство-(14524)Иностранные языки-(4268)Информатика-(17799)Искусство-(1338)История-(13644)Компьютеры-(11121)Косметика-(55)Кулинария-(373)Культура-(8427)Лингвистика-(374)Литература-(1642)Маркетинг-(23702)Математика-(16968)Машиностроение-(1700)Медицина-(12668)Менеджмент-(24684)Механика-(15423)Науковедение-(506)Образование-(11852)Охрана труда-(3308)Педагогика-(5571)Полиграфия-(1312)Политика-(7869)Право-(5454)Приборостроение-(1369)Программирование-(2801)Производство-(97182)Промышленность-(8706)Психология-(18388)Религия-(3217)Связь-(10668)Сельское хозяйство-(299)Социология-(6455)Спорт-(42831)Строительство-(4793)Торговля-(5050)Транспорт-(2929)Туризм-(1568)Физика-(3942)Философия-(17015)Финансы-(26596)Химия-(22929)Экология-(12095)Экономика-(9961)Электроника-(8441)Электротехника-(4623)Энергетика-(12629)Юриспруденция-(1492)Ядерная техника-(1748)

Для подключения релейной защиты




Трансформаторов тока и напряжения

Выбор измерительных

Контроль режимов работы основного и вспомогательного обору­дования подстанции, а также поступление информации на устройства релейной защиты и автоматики осуществляются с помощью контрольно-измерительных приборов. Эти приборы относятся к вторичным цепям и связаны с первичными цепями посредством измерительных трансфор­маторов тока и напряжения.

Трансформаторы напряжения (TV) выбирают по номинальному напря­жению, роду установки, конструкции, классу точности и вторичной нагрузке.

Коэффициент трансформации TV равен отношению номинального пер­вичного напряжения к вторичному, о.е.:

 

.

 

Номинальные первичные напряжения TV стандартизированы в соот­ветствии со шкалой номинальных линейных напряжений сети. Номинальные вторичные напряжения установлены равными 100/ или 100В[3].

Трансформаторы тока (TA) выбирают по номинальным значениям напряжения, первичного и вторичного тока, роду установки, конструкции, классу точности и вторичной нагрузке.

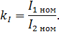
Коэффициент трансформации TA равен отношению первичного но­минального тока ко вторичному, о.е.:

 

 

Номинальный первичный ток, при котором предусмотрена продолжи­тельная работа TA, указан в его паспортной таблице. Для отечественных TA принята следующая шкала номинальных первичных токов: 1, 5, 10, 15, 20, 30, 50, 75, 100, 150, 200, 300, 400, 500, 600, 800, 1 000, 1 500, 2 000, 3 000, 4 000, 5 000, 6 000, 8 000, 10 000, 12 000, 14 000, 16 000, 18 000, 20 000, 25 000, 28 000, 32 000, 35 000, 40 000 А [3].

Условие выбора коэффициента трансформации TA:

 

 

где – максимальный первичный ток присоединения, А, на котором устанав­ливается ТA.

Для линии электропередачи с учетом передаваемой мощности

 

 

где – мощность, передаваемая по линии электропередачи, определяется расчетом установившегося режима максимальной нагрузки рассматриваемой сети, МВ·А.

Величину максимального первичного тока присоединения , А, при­ближенно можно найти по выражению

 

,

 

где – экономическая плотность тока, равная 1,1÷1,3А/ ; F – сечение провода воздушной линии электропередачи, мм2.

Для силовых трансформаторов (автотрансформаторов) с учетом про­ходной мощности обмотки и схемы соединения вторичных обмоток TA

 

,

 

где – коэффициент перегрузки, для микро­процессорных и цифровых устройств релейной защиты равный 1о. е. или 1,4 о. е.

Для остальных элементов электроэнергетической системы определяют по номинальной мощности присоединения.

Номинальный вторичный ток, проходящий по вторичной обмотке TА, принимается равным 1А или 5А.

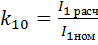
Трансформаторы тока в цепях релейной защиты проверяют на десяти­процентную погрешность (точность работы) при расчетной нагрузке по спе­циальным кривым предельной кратности [4], представляющим зависимость допустимого значения сопротивления нагрузки вторичной обмотки ТА к предельной кратности , о.е., вычисляемой по выражению

 

,

 

где – первичный расчетный ток, при котором должна обеспечиваться работа TА с погрешностью не более 10 %, А; – первичный номиналь­ный ток TA, А.

Значение принимают:

• для продольных дифференциальных защит равным наибольшему значению тока при внешних КЗ ;

• дистанционной защиты линии электропередачи равным наибольшему значению тока при КЗ в конце первой зоны действия защиты;

• токовой направленной защиты линии электропередачи равным наибольшему значению тока при КЗ в конце защищаемой линии.

Проверку ТА на точность работы выполняют в следующем порядке:

1. Определяем значение предельной кратности k 10.

2. По кривой предельной кратности [4], соответствующей типу TА, классу обмотки и коэффициенту трансформации TА, определяем допусти­мое значение сопротивления вторичной нагрузки .

3. Сравниваем полученное с фактическим расчетным значе­нием сопротивления нагрузки TА . При выполнении неравенства

 

 

проверяемый ТА работает с допустимой погрешностью, т. е. ε≤10 %.

Нагрузка вторичной обмотки ТА состоит из сопротивлений обмоток реле, соединительных проводов и переходных сопротивлений в ме­сте контактных соединений.

Сопротивление реле (комплекта, шкафа или цифрового устройства релейной защиты), Ом, определяют по выражению

,

 

где – мощность, потребляемая реле при срабатывании, В∙А; – минимальная уставка тока срабатывания реле, А.

Сопротивление соединительных проводов, Ом, рассчитывают по вы­ражению


где l – длина соединительных проводов, м; S – сечение соединительных про­водов, выбранных по условию механической прочности: для медных прово­дов равное не менее 1,5 , для алюминиевых проводов – 2,5 ; γ удель­ная проводимость провода, принимаемая равной для медных проводов 57 Ом/м∙мм2, для алюминиевых – 35 м/Ом∙мм2.

Расчетное сопротивление контактов принимается равным =0,1Ом.

Расчетные выражения для определения нагрузки вторичной обмотки трансформаторов тока:

• для схемы соединения вторичных обмоток TА и обмоток реле в «звезду»

 

Z нагр.расч= Z пр+ Z р+ Z к;

 

• схемы соединения вторичных обмоток TА и обмоток реле в «непол­ную звезду»

 

 

• схемы соединения одного реле на «разность токов двух фаз»

 

 

• схемы соединения вторичных обмоток TА в «треугольник», а обмоток реле в «звезду»

 

 

В случаях, когда трансформаторы тока не удовлетворяют требованию 10 % погрешности, следует рассматривать возможность снижения нагрузки на TА увеличением коэффициента трансформации на одну ступень, ис­пользованием других схем соединения вторичных обмоток ТА, уменьшением сопротивления соедини­тельных проводов, включением последовательно двух трансформаторов тока.

 




Поделиться с друзьями:


Дата добавления: 2014-11-29; Просмотров: 428; Нарушение авторских прав?; Мы поможем в написании вашей работы!


Нам важно ваше мнение! Был ли полезен опубликованный материал? Да | Нет



studopedia.su - Студопедия (2013 - 2025) год. Все материалы представленные на сайте исключительно с целью ознакомления читателями и не преследуют коммерческих целей или нарушение авторских прав! Последнее добавление




Генерация страницы за: 0.009 сек.