Студопедия

КАТЕГОРИИ:


Архитектура-(3434)Астрономия-(809)Биология-(7483)Биотехнологии-(1457)Военное дело-(14632)Высокие технологии-(1363)География-(913)Геология-(1438)Государство-(451)Демография-(1065)Дом-(47672)Журналистика и СМИ-(912)Изобретательство-(14524)Иностранные языки-(4268)Информатика-(17799)Искусство-(1338)История-(13644)Компьютеры-(11121)Косметика-(55)Кулинария-(373)Культура-(8427)Лингвистика-(374)Литература-(1642)Маркетинг-(23702)Математика-(16968)Машиностроение-(1700)Медицина-(12668)Менеджмент-(24684)Механика-(15423)Науковедение-(506)Образование-(11852)Охрана труда-(3308)Педагогика-(5571)Полиграфия-(1312)Политика-(7869)Право-(5454)Приборостроение-(1369)Программирование-(2801)Производство-(97182)Промышленность-(8706)Психология-(18388)Религия-(3217)Связь-(10668)Сельское хозяйство-(299)Социология-(6455)Спорт-(42831)Строительство-(4793)Торговля-(5050)Транспорт-(2929)Туризм-(1568)Физика-(3942)Философия-(17015)Финансы-(26596)Химия-(22929)Экология-(12095)Экономика-(9961)Электроника-(8441)Электротехника-(4623)Энергетика-(12629)Юриспруденция-(1492)Ядерная техника-(1748)

Система показників рентабельності




Для підприємств різного профілю — промислових, аграрних та ін., що функціонують в умовах ринкової економіки, головним кри­терієм ефективності господарювання є прибутковість. Тому кожне таке підприємство вимірює прибутковість через визначення абсо­лютної величини прибутку на різних етапах його формування під впливом певних факторів. Наприклад, американські фірми в кон­солідованому (зведеному) звіті про доходи відображають процес формування фінансових результатів через визначення таких показни­ків прибутковості, як валовий прибуток (маржинальний дохід), операційний прибуток (дохід), прибуток до оподаткування і випла­ти надзвичайних збитків, прибуток після сплати податку, чистий


P.А. Слав'юк

прибуток (дохід), нерозподілений прибуток (визначається як різниця між чистим прибутком і тією його частиною, що спрямована на ви­плату дивідендів акціонерам і на поповнення резервного капіталу).

На основі розглянутих абсолютних показників прибутковості (валовий і операційний прибуток, чистий прибуток тощо) амери­канські підприємства розраховують ряд показників рентабель­ності. Особливість їх визначення полягає в тому, що прибуток, взя­тий на певному етапі його формування, відносять не до повної собівартості товарної продукції, як це прийнято в практиці наших підприємств, а до обсягу чистого продажу, під яким розуміють ви­ручку від реалізації продукції за відрахуванням з неї сум за некон­диційність продукту, некомплектність і дисконтних знижок.

Показник рентабельності продажу за валовим прибутком виз­начається за формулою:



 


де GP — валовий прибуток,

NS — обсяг чистого продажу.

Аналогічним способом визначають показники рентабельності продажу за операційним прибутком, прибутком до оподаткування і чистим прибутком.

Ці показники взаємодоповнюють одне одного і відображають, зрештою, ступінь відшкодування цінами витрат на продукцію, а та­кож цінову конкурентоспроможність підприємства. Яісщо, напри­клад, показник рентабельності за операційним прибутком складає, скажімо, 50%, це означає, що ціна, за якою реалізується продукція, може бути знижена навіть на 50%. При цьому підприємство не не­стиме збитків, досягаючи нульової рентабельності.

У країнах з ринковою економікою широко використовується показник рівня загальної рентабельності як відношення прибутку до нарахування процентів до усіх активів підприємства. Він харак­теризує здатність підприємств до нарощування вкладеного капіта­лу. Цей показник є одним з головних при оцінці рентабельності.

Для поглибленого її аналізу необхідно розрахувати число обо­ротів капіталу за формулою

де ТА — усі активи підприємства. 40



Фінанси підприємств

де NPp — прибуток до виплати процентів.

Скоротивши в правій частині рівності NS, досягаємо її тотож­ності з лівою частиною. Як бачимо, рівень загальної рентабель­ності підприємства формується як добуток рентабельності прода­жу на число оборотів капіталу. Тепер стає очевидним, що досягти досить високого рівня загальної продажу можна за рахунок при­скорення обороту всіх активів підприємства.

Нерідко підприємства вкладають багато коштів у виробничі фонди і тому знижують число оборотів капіталу. Такі вкладення супроводжуються підвищенням рівня механізації і автоматизації виробництва, забезпечення його безперервності, що приводить до одержання високих прибутків, які з надлишком компенсують зни­ження рівня загальної рентабельності, спричиненого дією першого фактора (зниження числа оборотів капіталу). Викладене дає змогу зробити висновок, що один і той самий рівень загальної рентабель­ності може бути досягнутий при різному співвідношенні розгляну­тих двох факторів. Тому кожне підприємство, виходячи з конкрет­них умов, акцентує увагу на тому з них, де є більше невикористаних можливостей. Для власників підприємств дуже важливим є показ­ник рівня рентабельності власного капіталу

де ΝΡη.π. — прибуток до нарахування податків;

ВК — власний капітал.

За нормальних умов господарювання рівень рентабельності власного капіталу повинен бути вищим від показника рівня загаль­ної рентабельності, незважаючи на те, що ΝΡη.π.<ΝΡρ на величи­ну виплачених процентів за використання позичкового капіталу. Досягається це за умови, коли процент виплат з позичковим капіталом не нижчий від рівня загальної рентабельності. Якби ви­плати за позичковий капітал були вищі від рівня загальної рента­бельності, це призвело б до зниження рентабельності власного капіталу. З економічної точки зору цей показник свідчить про мож­ливість підприємства щодо прирощення власного капіталу, тому з підвищенням його рівня змінюється економіка підприємства, зрос­тає його платоспроможність.


Р.А. Слав'юк

Для кожного підприємства важливо знати його фінансовий стан у плановому періоді, згідно з передбачуваними витратами і кон'юнктурою ринку на ті види продукції, які воно виробляє і ре­алізує. Насамперед менеджерам підприємства треба знати, при яко­му обсязі реалізації того чи іншого виду продукції (обсяг продажу) досягається беззбитковість виробництва (нульова рентабельність). Такий обсяг реалізації (продажу) називають критичним, оскільки при його зменшенні підприємство починає зазнавати збитків. Вод­ночас при збільшенні продажу над його критичним обсягом забез­печується прибутковість виробництва. Менеджерам підприємства також важливо знати, на скільки потрібно збільшити обсяг вироб­ництва і реалізації продукції, щоб одержати бажану суму прибутку, і як вплине на його величину зміна витрат виробництва, що підда­ються коригуванню в короткостроковий період.

Визначення критичного обсягу реалізації, а також аналіз без­збитковості виробництва та прогнозування прибутку ґрунтується на використанні принципу класифікації витрат залежно від їх зв'яз­ку з обсягом виробництва. За цією ж ознакою усі витрати поділя­ються на постійні і змінні. Різне співвідношення між цими групами витрат, а також їх абсолютна сума істотно впливають на критич­ний обсяг продажу і прибуток підприємства. Щоб безпосередньо визначити їх, можна скористатися двома способами: 1) графічним, тобто побудовою графіка критичної точки обсягу реалізації про­дукції (обсягу продажу); 2) формулою норми беззбитковості.

За умови, що змінюється величина постійних витрат у розрахун­ку на одиницю продукції або ж сума змінних витрат, треба будувати нові графіки стосовно змінених параметрів розвитку галузі й за їх до­помогою аналізувати беззбитковість виробництва. Зазначимо, що аналогічний аналіз можна здійснити за загальним обсягом реалізації продукції будь-якої галузі. В цьому випадку оперують загальними постійними і змінними витратами на виробництво цієї продукції.


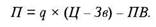
де Пв — постійні витрати, грн.; Ц — ціна реалізації одиниці продукції;

Більш поглиблений аналіз беззбитковості виробництва і при­бутковості галузі можна здійснити за допомогою формули норми беззбитковості. Для зручності такого аналізу цю формулу зобрази­мо у вигляді


Фінанси підприємств

q — обсяг реалізації;

Зв — змінні витрати на одиницю продукції.

На норму беззбитковості й дохідність галузі в цілому вплива­ють такі фактори: сума постійних витрат, змінні витрати на одини­цю продукції, ціна реалізації. Важливо зазначити, що підприємство лише тоді починає одержувати прибуток, коли збільшує обсяг про­дажу понад його критичний рівень. Цей прибуток формується вже з першої одиниці приросту продукції в розмірі різниці між ціною і змінними витратами. Тому очевидно, що підприємство буде одер­жувати тим більший прибуток, чим більше продукції буде реалізо­вано понад критичний обсяг продажу, і навпаки.

Яісщо підприємство ставить собі за мету досягти певного при­росту прибутку від реалізації продукції відповідної галузі, зако­номірно виникає запитання: скільки необхідно додатково продати цієї продукції, щоб досягти необхідної суми прибутку?

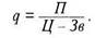
Щоб відповісти на нього, складемо рівність


У розгорнутому вигляді цю формулу можна записати так:


Приріст прибутку Π визначається як різниця між прибутком при збільшеному обсязі продажу П1 і прибутком при досягнутому (базовому) обсязі продажу П^ тобто

Звідси приріст продажу продукції q = q{- q^ при якому дося­гається необхідний підприємству приріст прибутку, визначається за формулою

Слід мати на увазі, що підприємством нерідко виробляються такі види продукції, за якими формуються спільні постійні витрати та індивідуально — змінні. Механізм визначення критичного обся­гу виробництва в таких умовах модифікується, особливо, коли че-рез певні причини фінансовий результат за цими видами вироб­ництва негативний, — підприємство зазнає збитків. Тоді виникає запитання: якого обсягу виробництва (продажу) цих видів про-Дукції потрібно досягти, щоб забезпечити його беззбитковість?



Р.А. Слав!юк

За таких обставин критичний обсяг виробництва (продажу) до­сягається, коли

де qi — обсяг виробництва (продажу) і-го виду продукції; Звi — змінні витрати на 1 ц і-го виду продукції; ПВ — спільні постійні витрати для і-х видів продукції.




Поделиться с друзьями:


Дата добавления: 2014-11-29; Просмотров: 450; Нарушение авторских прав?; Мы поможем в написании вашей работы!


Нам важно ваше мнение! Был ли полезен опубликованный материал? Да | Нет



studopedia.su - Студопедия (2013 - 2026) год. Все материалы представленные на сайте исключительно с целью ознакомления читателями и не преследуют коммерческих целей или нарушение авторских прав! Последнее добавление




Генерация страницы за: 0.011 сек.