Студопедия

КАТЕГОРИИ:


Архитектура-(3434)Астрономия-(809)Биология-(7483)Биотехнологии-(1457)Военное дело-(14632)Высокие технологии-(1363)География-(913)Геология-(1438)Государство-(451)Демография-(1065)Дом-(47672)Журналистика и СМИ-(912)Изобретательство-(14524)Иностранные языки-(4268)Информатика-(17799)Искусство-(1338)История-(13644)Компьютеры-(11121)Косметика-(55)Кулинария-(373)Культура-(8427)Лингвистика-(374)Литература-(1642)Маркетинг-(23702)Математика-(16968)Машиностроение-(1700)Медицина-(12668)Менеджмент-(24684)Механика-(15423)Науковедение-(506)Образование-(11852)Охрана труда-(3308)Педагогика-(5571)Полиграфия-(1312)Политика-(7869)Право-(5454)Приборостроение-(1369)Программирование-(2801)Производство-(97182)Промышленность-(8706)Психология-(18388)Религия-(3217)Связь-(10668)Сельское хозяйство-(299)Социология-(6455)Спорт-(42831)Строительство-(4793)Торговля-(5050)Транспорт-(2929)Туризм-(1568)Физика-(3942)Философия-(17015)Финансы-(26596)Химия-(22929)Экология-(12095)Экономика-(9961)Электроника-(8441)Электротехника-(4623)Энергетика-(12629)Юриспруденция-(1492)Ядерная техника-(1748)

Определение потерь напряжения в электрических сетях постоянного и переменного тока




В силовых сетях определяется потеря напряжения от ГРЩ до каждого потребителя электроэнергии. Потребители электро­энергии могут нормально работать при определенном значении напряжения. Снижение напряжения ниже допустимой вели­чины приводит к уменьшению скорости вращения электродви­гателя и соответственно к изменению параметров судовых ме­ханизмов.

Согласно Правилам Регистра, потери (или падение) напря­жения в сетях переменного и постоянного токов от ГРЩ до по­требителей электроэнергии не должны превышать: для силовой сети и нагревательных приборов - 7% от номинального напря­жения, для осветительной сети напряжением 220В — 5%, для осветительной сети напряжением 36 В и ниже—10%, для телефонных установок — 5%.

Определим потери напряжения для сети ооднофазного пере­менного тока с распределенными нагрузками, где учитываются активные и реактивные сопротивления кабелей (рис. 116). Для первого участка сети с нагрузкой I1 соsφ1 с учетом активного r1´, реактивного X1´ и полного Z1´ сопротивлений на векторной диаграмме напряжений изображены активное ес = 2I1 ' r1´, реак­тивное сd=211´ Х1´ и полное еd = 2I1´Z1´ падения напряжений сети.

Потеря напряжения на первом участке сети определяется как алгебраическая разность векторов напряжения в начале и конце первого участка сети ŪŪ1. которая с достаточной точностью для расчетов может быть принята за отрезок ее', соответствую­щий проекции вектора полного падения напряжения на ли­нии вектора Ū1.

 
 

 


Рис.116. Однолинейная схема сети переменного тока с несколькими потребителями и векторная диаграмма потери напряжения для одной нагрузки

 

 

При этих допущениях потеря напряжения 1 первом участке сети определяется по выражению

,

 

где ;

.

Отсюда

Реактивные сопротивления кабелей судовой сети значитель­но меньше активного сопротивления, поэтому при расчетах по­терь напряжения реактивным сопротивлением кабеля можно пренебречь. Тогда получим окончательное выражение для поте­ри напряжения первого участка сети:

%.

В трехфазных сетях переменного тока линейная потеря на­пряжения в % для участка сетей с учетом вышеизложенных по­ложений и допущений для однофазной сети определяется по выражению

%.

 

Суммарные потери напряжения трехфазной сети с нескольки­ми потребителями определяются по выражениям:

%.

Ниже приводим примерный расчет сечения кабелей и потерь напряжения на участках судовой электрической сети перемен­ного трехфазного тока, изображенной на рис. 117.

Расчет выполняется в следующем порядке:

по таблице электрических нагрузок генераторов судовых электростанций устанавливаем режим, в котором потребители электрической энергии, подключенные к РЩ, имеют максималь­ную нагрузку;

по значениям максимальных потребляемых мощностей потре­бителями определяем расчетный ток фидеров РЩ;

по величинам расчетных токов каждого фидера РЩ выби­раем сечение кабеля по таблицам допустимых нагрузок для од­норядной прокладки кабелей;

сечение питающего кабеля РЩ определяем по суммарному расчетному току всех подключенных потребителей РЩ с учетом коэффициентов одновременности k0 и запаса kзап, т. е. ІΣ Р. Коэффициент запаса учитывает увеличение загрузки питающе­го фидера РЩ за счет подключения в дальнейшем к запасному фидеру потребителя;

по величине полного расчетного тока ІΣ Р по таблицам допу­стимых нагрузок на кабели выбираем сечение кабеля питающего фидера РЩ;

по заданной мощности генератора определяем полный рас­четный ток и соответственно сечение кабеля от генератора до ГРЩ;

 

 

 
 

 

 


Рис. 117. Принципиальная схема участков электрической сети

на основании выбранных сечений и известных длин участков определяем потерю напряжения от ГРЩ до потребителей.

В табл. 55 приведены исходные и расчетные данные отдель­ных фидеров, питающих потребители, и фидера питания РЩ.

В этой же таблице для определения суммарного расчетного тока питающего фидера РЩ определены суммарные потребляе­мые активные и реактивные мощности, средние значения коэф­фициента мощности и расчетная мощность РЩ.

1. Расчетная мощность равна

РΣР = kokзапΣР=27∙0,9∙1,07=26кВт.

2. Полный расчетный ток определяется по выражению


По величине расчетного тока выбрано сечение питающе­го кабеля РЩ, равное Зх10 ммг. Длина кабеля питающего фидера равна l2 = 30 м.

 

 

 

 


 

Для подключения фидера к шинам ГРЩ выбран автомат А3324 с номинальным током 100 Aи номиналь­ным током максимального расцепителя 60 A, с уставкой макси­мального расцепителя на ток 420 A.

3. Расчетный ток генератора равен

По величине расчетного тока по таблице допускаемых на­грузок на кабели с однорядной прокладкой выбираем сечение и жильность кабеля от генератора до ГРЩ.

S1 = 2(3X185) мм2.

4. Потеря напряжения на участке ГРЩ—РЩ составляет:

5. Потери напряжения на участках сети РЩ до потребителей определяются по выражениям

 

 

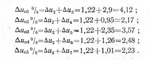
6. Суммарные потери напряжения от ГРЩ до потребителей равны:

 

 
 

 





Поделиться с друзьями:


Дата добавления: 2014-11-29; Просмотров: 1738; Нарушение авторских прав?; Мы поможем в написании вашей работы!


Нам важно ваше мнение! Был ли полезен опубликованный материал? Да | Нет



studopedia.su - Студопедия (2013 - 2025) год. Все материалы представленные на сайте исключительно с целью ознакомления читателями и не преследуют коммерческих целей или нарушение авторских прав! Последнее добавление




Генерация страницы за: 0.008 сек.