Студопедия

КАТЕГОРИИ:


Архитектура-(3434)Астрономия-(809)Биология-(7483)Биотехнологии-(1457)Военное дело-(14632)Высокие технологии-(1363)География-(913)Геология-(1438)Государство-(451)Демография-(1065)Дом-(47672)Журналистика и СМИ-(912)Изобретательство-(14524)Иностранные языки-(4268)Информатика-(17799)Искусство-(1338)История-(13644)Компьютеры-(11121)Косметика-(55)Кулинария-(373)Культура-(8427)Лингвистика-(374)Литература-(1642)Маркетинг-(23702)Математика-(16968)Машиностроение-(1700)Медицина-(12668)Менеджмент-(24684)Механика-(15423)Науковедение-(506)Образование-(11852)Охрана труда-(3308)Педагогика-(5571)Полиграфия-(1312)Политика-(7869)Право-(5454)Приборостроение-(1369)Программирование-(2801)Производство-(97182)Промышленность-(8706)Психология-(18388)Религия-(3217)Связь-(10668)Сельское хозяйство-(299)Социология-(6455)Спорт-(42831)Строительство-(4793)Торговля-(5050)Транспорт-(2929)Туризм-(1568)Физика-(3942)Философия-(17015)Финансы-(26596)Химия-(22929)Экология-(12095)Экономика-(9961)Электроника-(8441)Электротехника-(4623)Энергетика-(12629)Юриспруденция-(1492)Ядерная техника-(1748)

Баланс потужностей 1 страница




Найбільш точно виконані розрахунки електричних схем можна перевірити за балансом потужностей: сумарна потужність всіх джерел ЕРС повинна дорівнювати сумарній потужності всіх споживачів:

. (1.61)

Потужності джерел розраховуються за формулою:

. (1.62)

Якщо в схемі декілька джерел, то може бути, що деякі із джерел працюватимуть у режимі споживачів і тоді ці джерела увійдуть в суму джерел зі знаком “мінус”.

Режим роботи джерела визначається за правилом: джерело працює в режимі джерела і добуток береться з “плюсом”, якщо напрямок ЕРС і напрямок діючого струму в даній вітці співпадають. Якщо ж ЕРС та струми зустрічні (за рахунок діє інших ЕРС схеми), це означає, що добуток цього джерела в балансі береться з “мінусом”.

Тому важливо після закінчення розрахунків і перед перевіркою правильності виконаних розрахунків на схемі поміняти на зворотні напрямки струмів в тих вітках, де вони отримані з “мінусом”.

Потужності споживачів розраховують за формулою:

. (1.63)

 

Питання для самоперевірки знань

1. Метод накладання:

а) в яких випадках застосовується;

б) в чому сутність методу;

в) що таке часткові струми;

г) як за частковими струмами знайти повні струми;

д) в чому перевага методу.

2. Метод контурних струмів:

а) в яких випадках застосовується;

б) в чому сутність методу;

г) в чому перевага методу.

3. Потужність джерела живлення.

4. Режими роботи джерела живлення.

5. Потужність споживача

6. Баланс потужностей

 

Теми рефератів

1. Електричні схеми зрівноваженого і незрівноваженого моста та використання їх на практиці

2. Видатні відкриття і винаходи Ампера.

3. Видатні відкриття і винаходи Вольта.

 

Питання для самостійного опрацювання

1. Метод еквівалентного джерела і аналіз режиму в вітці кола.

 

 

РОЗДІЛ 2. ЛІНІЙНІ КОЛА ОДНОФАЗНОГО ЗМІННОГО СТРУМУ

 

ТЕМА 2.1 ОСНОВНІ ПОНЯТТЯ І ПАРАМЕТРИ В КОЛАХ СИНУСОЇДНОГО СТРУМУ. ПОДАННЯ СИНУСОЇДНИХ ВЕЛИЧИН КОМПЛЕКСНИМИ ЧИСЛАМИ

План лекції

2.3.4.1 Синусоїдний стум та його характеристики

2.3.4.2 Зображення синусоїдних величин векторами на площині

2.3.4.3 Загальні відомості про комплексні числа

2.1.1 СИНУСОЇДНИЙ СТРУМ ТА ЙОГО ХАРАКТЕРИСТИКИ

Синусоїдним називають струм, який змінюється з часом за синусоїдою. Його миттєве значення сили струму і напруги відповідно:

, (2.1)

, (2.2)

де – амплітудне (миттєве) значення сили струму і напруги відповідно;

– циклічна (кутова частота), с-1;

– частота, Гц;

– фаза, 0;

, – початкова фаза сили струму і напруги відповідно, 0.

Частотою називають кількість коливань за одиницю часу.

Періодом Т називають час, протягом якого відбувається одне повне коливання. Зв’язок між періодом і частотою виражають формулою:

. (2.3)

На Україні і майже у віх країнах Європи і Азії застосовується змінний стум з частотою 50 Гц (в США – 60 Гц), це так звана промислова частота. У радіоелектроніці та пристроях автоматики широко використовують синусоїдні струми підвищених частот.

Таким чином при частоті =50 Гц, циклічна частота =314 с-1, період Т =1/50=0,02 с.

Рис. 2.1 Хвильова діаграма

 

Хвильовою (часовою) діаграмою називають графічну залежність сили струму чи напруги від часу. Часто по осі абсцис відкладають фазу , при якому періоду Т відповідає 3600 (). На рис. 2.1 зображена хвильова діаграма з початковою фазою, яка рівна нулю.

 

 

Рис. 2.2 Зсув фаз між напругою та силою струму

 

Часто виникає потреба аналізувати хвильові діаграми синусоїдних напруги і струму у яких початкові фази різні. На рис. 2.2 зображені напруга і струм однієї частоти, але зсунуті між собою за фазою:

, (2.4)

. (2.5)

Зсувом за фазою між наругою і струмом (різницею фаз) називають:

. (2.6)

Якщо дві синусоїдні величини не мають зсуву за фазою, то вони співпадають за фазою (синфазні) (рис. 2.3).

Рис. 2.3 Синфазні величини

 

Якщо дві синусоїдні величини зсунуті за фазою на кут , то вони протифазні (рис. 2.4).

 

Рис. 2.4 Протифазні величини

Якщо дві синусоїдні величини зсунуті за фазою на кут , то вони знаходяться у квадратурі (рис.2.5).

Рис. 2.5 Величини в квадратурі

 

Теплова дія постійного струму:

 

. (2.7)

Рівноцінне за тепловою дією значення синусоїдного струму називають діючим або ефективним значенням змінного струму і позначають

I, U – діюче значення сили струму і напруги відповідно.

Співвідношення для синусоїдного струму між його діючим значення і амплітудою:

 

, (2.8)

. (2.9)

 

2.1.2 ЗОБРАЖЕННЯ СИНУСОЇДНИХ ВЕЛИЧИН ВЕКТОРАМИ НА ПЛОЩИНІ

При розрахунку електричних кіл виникає потреба виконувати арифметичні операції зі змінними струмами. Наприклад у вузлі сходяться три вітки і знаючи струми і1 та і2, необхідно визначити струм і3= і1 + і2 (за перши правилом Кірхгофа):

(2.10)

(2.11)

? (2.12)

Струм і3 також буде синусоїдним, бо складові і1 та і2 синусоїдні і мають однакову частоту. Потрібно визначити амплітуду та початкову фазу . Це можна зробити, додаючи струми за формулами тригонометрії, але цей шлях громіздкий, тому треба шукати інший. Один із можливих варіантів розв’язку поставленої задачі – це подання синусоїдних величин векторами, який обертається з частотою . Зобразимо струми і1 та і2 на площині за допомогою векторів з модулем (довжиною), який дорівнює амплітуді та , розташованими під кутами та . Тоді за правилами векторної алгебри додаємо два вектори і отримуємо шуканий вектор і3.

 

Рис. 2.6 Додавання векторів

 

2.1.3 ЗАГАЛЬНІ ВІДОМОСТІ ПРО КОМПЛЕКСНІ ЧИСЛА

Для розрахунку електричних кіл змінного струму використовують комплексний метод. Сутність методу полягає в тому, що замість геометричних дій над векторами проводяться відповідні математичні дії над комплексними числами, що визначають параметри цих векторів.

За теорією функцій комплексної змінної осі комплексної площини позначаються, як показано на рис.

– додатна вісь дійсних величин (вісь +1);

– від‘ємна вісь дійсних величин (вісь -1);

– додатна вісь уявних величин (вісь + j);

– від‘ємна вісь дійсних величин (вісь - j).

Рис. 2.7 Комплексна площина

 

Нехай вектор має модуль А і аргумент відносно осі вісь +1.

Кути прийнято відкладати від осі +1, додатним напрямком відліку прийнято напрямок проти годинникової стрілки; за годинниковою стрілкою відкладають кути зі знаком “мінус”.

Зображений на рис. вектор може бути записаний в трьох формах:

(2.13)

Це алгебраїчна форма запису комплексного числа, де А1 – дійсна частина комплексного числа, В1 – уявна частина комплексного числа, j – уявна одиниця, що має властивість j 2=-1.

(2.14)

 

Це показникова форма запису комплексного числа.

(2.15)

Рис. 2.8 Одиничний вектор на комплексній площині

 

Це тригонометрична форма запису комплексного числа.

В основі подання векторів або будь-яких комплексних чисел лежить формула Ейлера:

(2.16)

Додавання і віднімання комплексних чисел проводять у алгебраїчній формі. При цьому дійсні частини чисел і уявні частини чисел додають чи віднімають окремо (як подібні доданки). Нехай є комплексні числа:

, (2.17)

. (2.18)

Знайдемо їх суму:

. (2.19)

Знайдемо їх різницю:

. (2.20)

Множення і ділення комплексних чисел проводять у показниковій формі. Якщо комплексні числа подано в алгебраїчній формі, то їх попередньо переводять у показникові форму.

Переведемо числа та в показникові форму:

, (2.21)

, отже (2.22)

.

, (2.23)

, (2.24)

отже

(2.25)

Знайдемо добуток чисел та :

. (2.26)

Знайдемо частку чисел та :

. (2.27)

Питання для самоперевірки знань

1. Синусоїдний струм. Рівняння сили струму та напруги.

2. Амплітудне, діюче та миттєве значення сили струму та напруги.

3. Частота, циклічна частота, період, фаза.

4. Промислова частота.

5. Хвильова діаграма

6. Зсув фаз

7. Синфазні величини

8. Протифазні величини

9. Величини у квадратурі

10. Синусоїдні величини, як вектори на площині

11. Комплексні числа

12. Комплексна площина

13. Алгебраїчна форма запису комплексного числа

14. Тригонометрична форма запису комплексного числа

15. Показникові форма запису комплексного числа

16. Формула Ейлера

17. Додавання і віднімання комплексних чисел

18. Множення і ділення комплексних чисел

Теми рефератів

1. Застосування змінного струму у твоїй професії

2. Видатні відкриття і винаходи Т. Едісона.

3. Видатні відкриття і винаходи О. Хевісайда.

 

 

Питання для самостійного опрацювання

1. Квазістаціонарні струми

 

ТЕМА 2.2 НЕРОЗГАЛУДЖЕНЕ КОЛО ЗМІННОГО СТРУМУ

План лекції

2.2.1 Змінний струм в колі з активним опором

2.2.2 Індуктивність у колі синусоїдного струму

2.2.3 Ємність у колі синусоїдного струму

2.2.4 Котушка індуктивності у колі синусоїдної напруги

2.2.5 Послідовне з’єднання R, C

2.2.6 Послідовне з’єднання R, L, C

2.2.1 ЗМІННИЙ СТРУМ В КОЛІ З АКТВНИМ ОПОРОМ

Розглянемо коло з активним опором R (рис. 2.9), яке підключене до джерела синусоїдної наруги:

(2.28)

Рис. 2.9 Коло з активним опором R

Миттєве значення струму визначається за законом Ома:

, (2.29)

де амплітуда струму:

. (2.30)

Рис. 2.10 Хвильова та векторна діаграма для кола з активним опором R

У колі з активним опором R напруга і струм співпадають за фазою (рис. 2.10). Падіння напруги на активному опорі також співпадає за фазою зі струмом:

. (2.31)

2.2.2 ІНДУКТИВНІСТЬ В КОЛІ СИНУСОЇДНОГО СТРУМУ

Рис. 2.11 Коло з індуктивністю L

Розглянемо ідеальну котушку, у якої R= 0. Якщо по котушці протікає змінний струм

, (2.32)

то в ній виникає ЕРС самоіндукції:

. (2.33)

Для того, щоб компенсувати цю ЕРС самоіндукції, необхідно прикласти напругу джерела, яка рівна по величині і протилежна за знаком:

. (2.34)

Виконаємо диференціювання синусоїдного струму і при цьому встановимо фазові співвідношення між напругою і струмом, а також введемо поняття індуктивного опору.

. (2.35)

Замінимо косинусоїду на синусоїду:

(2.36)

Позначимо

(2.37)

і будемо називати його індуктивним опором.

Позначимо і тоді

(2.38)

Порівнявши струм згідно з (2.32) і напругу згідно з (2.38), можна зробити висновок:

у колі з ідеальною індуктивністю напруга випереджає струм на 900, тобто .

Рис. 2.12 Векторна діаграма струму і напруги для ідеальної котушки

На рис. 2.12 показана векторна діаграма стуму і напруги для ідеальної котушки L. Тут же показана ЕРС самоіндукції Е, що заходиться у протифазі з напругою джерела U.

2.2.3 ЄМНІСТЬ У КОЛІ СИНУСОЇДНОЇ НАПРУГИ

Заряд q та ємність C конденсатора пов’язані співвідношенням:

(2.39)

Рис. 2.13 Коло з ємністю C

Якщо конденсатор підключений до джерела синусоїдної напруги:

, (2.40)

то в колі буде протікати струм:

. (2.41)

Виконаємо диференціювання синусоїдної напруги і при цьому встановимо фазові співвідношення між наругою і струмом, а також введемо поняття ємнісного опору.

(2.42)

Позначимо

(2.43)

і будемо називати його ємнісним опором.

З урахуванням (2.43) струм у колі можна записати:

(2.44)

Позначимо

(2.45)

і тоді

(2.46)

Порівнявши напругу згідно з (2.40) і струм згідно з (2.46), можемо зробити висновок: у колі з ідеальною ємністю струм випереджає напругу на 900, отже .

Рис. 2.14 Векторна діаграма струму і напруги для кола з ємністю

На рис. 2.14 показана векторна діаграма струму і напруги для ємнісного кола.

 

2.2.4 КОТУШКА ІНДУКТИВНОСТІ У КОЛІ СИНУСОЇДНОЇ НАПУГИ

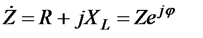
Реальна котушка індуктивності має активний (R) і індуктивний (XL) опори.

Рис. 2.15 Коло з реальною котушкою індуктивності

Для схеми на рис. 2.15:

. (2.47)

Тут та – комплекси падінь напруги на активному та індуктивному опорах котушки. Падіння напруги співпадає за фазою зі струмом, а падіння наруги випереджає струм на 900. На основі (2.47) можна побудувати трикутник напруги (рис. 2.16)

Рис. 2.16 Трикутник напруги для реальної котушки індуктивності

Очевидно кут:

. (2.48)

Рис. 2.17 Трикутник опорів для реальної котушки індуктивності (RL– коло)

Якщо всі сторони трикутника напруги розділити на струм І, то отримаємо трикутник опорів (рис. 2.17).

Із прямокутного трикутника опорів за допомогою формул тригонометрії можна отримати необхідні залежності. Так, модуль повного опору Z – це гіпотенуза прямокутного трикутника:

(2.49)

Кут

, (2.50)

(2.51)

(2.52)

Як бачимо із векторної діаграми (рис. 2.16) в RL– колі напруга випереджає струм на кут .

Для реальної котушки індуктивності комплекс опору

(2.53)

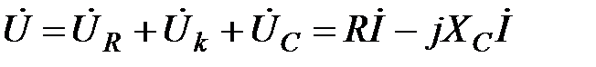
2.2.5 ПОСЛІДОВНЕ З’ЄДНАНЯ R, C

Розглянемо коло, в якому на джерело синусоїдного струму послідовно включені R, C.

Рис. 2.18 RC – коло

Для схеми на рис. 2.18:

. (2.54)

Тут та – комплекси падінь напруги на активному та ємнісному опорах котушки. Падіння напруги співпадає за фазою зі струмом, а падіння наруги відстає від струму на 900. На основі (2.54) можна побудувати трикутник напруги (рис. 2.19)

Рис. 2.19 Трикутник напруги для RC – кола

Очевидно кут

. (2.55)

 

Рис. 2.20 Трикутник опорів для RС– кола

Якщо всі сторони трикутника напруги розділити на струм І, то отримаємо трикутник опорів (рис. 2.20).

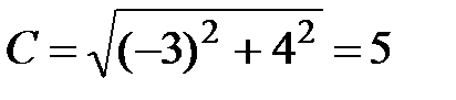
Модуль повного опору Z:

. (2.56)

Кут

, (2.57)

, (2.58)

. (2.59)

Як бачимо із векторної діаграми (рис. 2.19) в RС – колі напруга відстає від струму на кут .

Для RС – кола комплекс опору

. (2.60)

2.2.6 ПОСЛІДОВНЕ ЗЄДНАННЯ R, L, С

Розглянемо схему, в якій послідовно включені резистор з опором R, котушка індуктивності з опорами та , конденсатор з опором (рис. 2.21).

Рис. 2.21 RLC – коло

Для цієї схеми:

(2.61)

Тут потрібно брати – падіння напруги на котушці, а не на індуктивності, бо котушка має не тільки індуктивний опір, а й активний опір.

Тому

(2.62)

Якщо в RLC – колі , то коло носить індуктивний характер. Якщо в RLC – колі , то коло носить ємнісний характер.

Модуль повного опору Z:

. (2.63)

Кут

, (2.64)

Для RLС – кола комплекс опору

. (2.65)

 

Питання для самоперевірки знань

1. Зсув фаз у колі з активним опором

2. Хвильова та векторна діаграма для кола активним опором

3. Зсув фаз у колі з індуктивністю

4. Векторна діаграма для кола з індуктивністю

5. Індуктивний опір

6. Зсув фаз у колі з ємністю

7. Векторна діаграма для кола з ємністю

8. Зсув фаз у RL – колі

9. Повний опір для RL – кола

10. Векторна діаграма для RL – кола

11. Трикутник опорів для RL – кола

12. Комплекс опору для RL – кола

13. Зсув фаз у RС – колі

14. Повний опір для RС – кола

15. Векторна діаграма для RС – кола

16. Трикутник опорів для RС– кола

17. Комплекс опору для RС – кола

18. Зсув фаз у RLС – колі

19. Повний опір для RLС – кола

20. Комплекс опору для RLС – кола

 

Теми рефератів

1. Видатні відкриття і винаходи М.О. Доливо-Добровольського

2. Видатні відкриття і винаходи Б.С. Якобі

3. Видатні відкриття і винаходи Н.Тесла

 

Питання для самостійного опрацювання

1. Векторна діаграма для RLС – кола з індуктивним характером

2. Трикутник опорів для RLС– кола з індуктивним характером

3. Векторна діаграма для RLС – кола з ємнісним характером

4. Трикутник опорів для RLС– кола з ємнісним характером




Поделиться с друзьями:


Дата добавления: 2014-12-07; Просмотров: 2888; Нарушение авторских прав?; Мы поможем в написании вашей работы!


Нам важно ваше мнение! Был ли полезен опубликованный материал? Да | Нет



studopedia.su - Студопедия (2013 - 2026) год. Все материалы представленные на сайте исключительно с целью ознакомления читателями и не преследуют коммерческих целей или нарушение авторских прав! Последнее добавление




Генерация страницы за: 0.013 сек.