Студопедия

КАТЕГОРИИ:


Архитектура-(3434)Астрономия-(809)Биология-(7483)Биотехнологии-(1457)Военное дело-(14632)Высокие технологии-(1363)География-(913)Геология-(1438)Государство-(451)Демография-(1065)Дом-(47672)Журналистика и СМИ-(912)Изобретательство-(14524)Иностранные языки-(4268)Информатика-(17799)Искусство-(1338)История-(13644)Компьютеры-(11121)Косметика-(55)Кулинария-(373)Культура-(8427)Лингвистика-(374)Литература-(1642)Маркетинг-(23702)Математика-(16968)Машиностроение-(1700)Медицина-(12668)Менеджмент-(24684)Механика-(15423)Науковедение-(506)Образование-(11852)Охрана труда-(3308)Педагогика-(5571)Полиграфия-(1312)Политика-(7869)Право-(5454)Приборостроение-(1369)Программирование-(2801)Производство-(97182)Промышленность-(8706)Психология-(18388)Религия-(3217)Связь-(10668)Сельское хозяйство-(299)Социология-(6455)Спорт-(42831)Строительство-(4793)Торговля-(5050)Транспорт-(2929)Туризм-(1568)Физика-(3942)Философия-(17015)Финансы-(26596)Химия-(22929)Экология-(12095)Экономика-(9961)Электроника-(8441)Электротехника-(4623)Энергетика-(12629)Юриспруденция-(1492)Ядерная техника-(1748)

Тема 2. 5 трифазний струм 1 страница




План лекції

2.5.1 Загальні відомості про трифазний струм

2.5.2 З'єднання трифазної системи зіркою

2.5.3 3'єднання трифазної системи трикутником

2.5.4 Потужність у трифазному колі

2.5.1 ЗАГАЛЬНІ ВІДОМОСТІ ПРО ТРИФАЗНИЙ СТРУМ

Багатофазною системою називається сукупність електричних кіл, у яких діють синусоїдні ЕРС одної частоти, створювані загальним джерелом і зсунуті за фазою одна відносно одної.

Проведемо розгляд найбільш поширених трифазних систем. Три фази, які складають трифазну систему, мають однакову амплітуду і зсунуті між собою за фазою на кут 1200.

Вперше трифазну систему практично здійснив М.О. Доливо-Добровольський. Одна з особливостей трифазної системи – це здатність створювати поле, що обертається, тобто найбільш просто і надійно виконувати електродвигуни для приводу різних механізмів.

Трифазний струм виробляється на електричних станціях різних типів (теплові, атомні, гідравлічні) так званими синхронними генераторами трифазного струму.

Фази трифазної системи позначають А, В, С.

Трифазна система миттєвих значень напруги:

, (2.102)

, (2.103)

. (2.104)

Комплексні значення напруги:

, (2.105)

, (2.106)

(2.107)

На комплексній площині цю трифазну систему напруги можна подати у вигляді трьох векторів (рис. 2.37), які рівні за модулем і зсунуті за фазою на кут 1200.

 

Рис. 2.37 Трифазна система напруги на комплексній площині

 

Трифазні системи найчастіше з’єднують у зірку чи трикутник.

 

2.5.2 З'ЄДНАННЯ ТРИФАЗНОЇ СИСТЕМИ ЗІРКОЮ

У синхронних генераторів, трансформаторів, двигунів між фазами існує взаємний індуктивний зв'язок, тому для виконання потрібної схеми з'єднання фаз необхідно знати початки та кінці фаз.

Початки фаз трифазної системи позначають А, В, С, а кінці відповідно X, Y, Z. Для з'єднання у зірку трьох фазних обмоток необхідно з'єднати у загальну точку кінці фаз, ця точка називається нульовою або нейтраллю. На схемах початки фаз позначають капкою (рис.2.38).

 

Рис. 2.38 З'єднання трифазної системи зіркою

 

Нейтраль джерела (генератора, трансформатора) позначена “0”, а нейтраль споживача або навантаження позначена “0'”, повід, який їх з’єднує, називається нульовим. Проводи, які з’єднують фази, називають фазними проводами, відповідно фаз А, В, С.

Напругу між фазним проводом і нейтраллю називають фазною наругою; вольтметр V1 вимірює UA напругу фази А. І

Напруга між фазами називається міжфазною або лінійною напругою; вольтметр V2 вимірює UАВ напругу між фазами А та В.

Як видно із схеми рис. 2.38, струм ІА, що протікає по проводулінії, який з'єднує джерело і споживача, також протікає по фазі навантаження. Таким чином для з'єднання зіркою:

(2.108)

Фазні та лінійні напруги відрізняються як за модулем, так і за фазою. При з’єднані зіркою:

. (2.109)

За фазою лінійні та фазні напруги не співпадають, що видно з векторної діаграми (рис. 2.39), наприклад випереджає UA на 300.

 

Рис. 2.39 Векторна діаграма напруги при з'єднанні зіркою

 

По нульовому проводу протікає нульовий струм:

. (2.110)

При симетричному режимі, коли , нульовий струм , як сума трьох рівних за модулем векторів., зсунутих а 1200.

Тому при симетричному трифазному навантаженні трифазні системи виконують три провідними, тобто нульовий провід взагалі не встановлюється. Доволі часто рол нульового проводу виконує земля, тобто нейтралі заземлюють.

 

2.5.3 З'ЄДНАННЯ ТРИФАЗНОЇ СИСТЕМИ ТРИКУТНИКОМ

У схемі з'єднання трикутником кінець однієї фази з’єднаний з початком іншої.

Розглянемо трифазну систему, в якій джерело (генератор, трансформатор) з’єднаний зіркою, а споживач трикутником (рис.2.40).

 

Рис. 2.40 З'єднання трифазної системи трикутником

 

Опори фаз навантаження , , . Фазні струми, які протікають по опорах: . При з'єднанні трикутником:

. (2.111)

При з'єднанні трикутником та симетричному навантаженні фаз:

, (2.112)

а за фазою лінійні і фазні струми зсунуті на 300 (рис. 2.41).

 

Рис. 2.41 Векторна діаграма напруги при з'єднанні трикутником

 

Відмітимо, що якщо за паспортом трифазний двигун призначений для роботи при напругах 380 / 220 В, то це означає, що при між фазній напрузі мережі живлення 380 В обмотки треба з’єднувати зіркою, а якщо між фазна напруга джерела жив лея дорівнює 220 В, то обмотки двигуна треба з'єднувати трикутником.

Реверс (зміна напряму обертання) двигуна здійснюється перемиканням двох будь-яких фаз між собою.

 

2.5.4 ПОТУЖНІСТЬ У ТРИФАЗНОМУ КОЛІ

Активна потужність у трифазному колі при симетричному навантаженні фаз дорівнює потроєній потужності однієї фази:

. (2.113)

Достатньо мати один ватметр, показання якого потрібно потроїти; схема ввімкнення ватметра проказана на рис. 2.42.

 

Рис. 2.42 Схема вмикання ватметра

 

Як правило, застосовуються трипровідні кола трифазного струму без нульового провода. Для трифазного кола замінимо фазні напруги і струми на лінійні значення. Використавши формули (2.108) та (2.109) для з'єднання зіркою та формулу активної потужності (2.79):

, (2.114)

. (2.115)

Таким чином, незалежно від схеми з'єднання споживача розрахунок активної потужності у колі трифазного струму потрібно проводити за формулою:

. (2.116)

Реактивна потужність трифазної системи розраховується за формулою:

. (2.117)

Повна потужність:

. (2.118)

Питання для самоперевірки знань

1. Багатофазна система

2. Особливість трифазної системи

3. Трифазна система миттєвих значень напруги

4. Комплексні значення напруги для трифазної системи

5. Подання трифазної системи наруги а комплексній площині

6. З'єднання трифазної системи зіркою

7. Нейтраль

8. Нульовий провід

9. Фазна напруга

10. Лінійна напруга

11. Нульовий струм

12. Зв'язок фазної і лінійної напруги при з'єднанні трифазної системи зіркою

13. Зв'язок фазного і лінійного струмів при з'єднанні трифазної системи зіркою

14. Симетричний режим

15. З'єднання трифазної системи трикутником

16. Зв'язок фазної і лінійної напруги при з'єднанні трифазної системи трикутником

17. Зв'язок фазного і лінійного струмів при з'єднанні трифазної системи трикутником

18. Реверс

19. Активна потужність трифазної системи

20. Реактивна потужність трифазної системи

21. Повна потужність трифазної системи

 

Теми рефератів

1. Багатофазні системи

 

Питання до самостійного опрацювання

1. Зрівноважена трифазна система

2. Алгоритм розрахунку трифазного кола

 

РОЗДІЛ 3. МАГНІТНЕ ПОЛЕ. МАГНІТНІ КОЛА. НЕЛІНІЙНІ КОЛА

ТЕМА 3.1 МАГНІТНЕ ПОЛЕ. МАГНІТНІ ВЛАСТИВОСТІ РЕЧОВИНИ

План лекції

3.1.1 Магнітне поле і його характеристики

3.1.2 Феромагнетики та їх властивості

3.1.3 Магнітні матеріали та їх застосування

3.1.1 МАГНІТНЕ ПОЛЕ І ЙОГО ХАРАКТЕРИСТИКИ

Датський фізик Ерстед помітив, що магнітна стрілка, розміщена поблизу провідника з струмом, відхиляється від початко­вого стану. Дослідження показали, що стрілка повертається і нама­гається розміститися так, щоб її вісь була перпендикулярна до провідника (рис. 3.1). Із зміною напряму струму змінюється і напрям повертання магнітної стрілки.

Рис. 3.1. Дія провідника зі струмом на магнітну стрілку

 

Досліди стверджують, що навколо будь-якого електричного струму (рухомої зарядженої частинки) нерозривно існує магнітне поле, яке виявляється за впливом на магнітну стрілку.

Магнітне поле є вид матерії. Воно виявляється за дією на магнітну стрілку, провідник із струмом; воно намагнічує, деформує і змінює електричний опір тіл тощо.

Силовою характеристикою магнітного поля в кожній точці є вектор магнітної індукції . Напрям і величину вектора індукції визначають за дією магнітного поля на магнітну стрілку та провідник із струмом.

За напрям вектора магнітної індукції в заданій точці поля приймають напрям вектора сили, з якою поле діє на північний полюс нескінченно малої магнітної стрілки, розміщеної в цій точці. Звичайно для графічного зображення магнітного поля користую­ться лініями магнітної індукції.

Лініями магнітної індукції називають криві, дотичні, до яких у кожній точці збігаються з напрямом вектора в цих точках поля. Лінії магнітної індукції завжди замкнені й охоп­люють провідник із струмом. Для визначення напря­му ліній магнітної індукції користуються правилом свердлика: якщо свердлик повертати так, щоб його поступальний рух збігався з напрямом струму І, то обертальний рух рукоятки покаже напрям ліній магнітної індукції (рис. 3.2).

Рис. 3.2 Правило свердлика

Крім магнітної індукції вводиться також друга векторна харак­теристика магнітного поля, яка називається напруженістю. Напру­женість магнітного поля – векторна величина, яка не залежить від магнітних властивостей середовища і характеризує магнітне поле в кожній точці за пов'язаним з ним струмом і положенням точки:

. (3.1)

Вектори і збігаються за напрямом.

3.1.2 ФЕРОМАГНЕТИКИ ТА ЇХ ВЛАСТИВОСТІ

Феромагнетиками називаються речовини, в яких власне магнітне поле може бути в багато разів (у сотні й тисячі) сильніше, ніж зовнішнє поле, яке зумовило намагнічування. До феромаг­нетиків належать (у кристалічному стані): залізо, нікель, кобальт, гадоліній, їх оксид й сполуки із сіркою. При дуже низьких темпера­турах феромагнітні властивості виявляють також диспрозій і ербій. До феромагнетиків належать сплави з не феромагнітних компонентів на основі марганцю і хрому: МnВі, МnSn, СгРt, СгS та ін.

Феромагнетики намагнічу­ються в напрямі зовнішнього магнітного поля і мають свої особливості.

Рис. 3.3 Залежність від для феромагнетику

 

1. Намагніченість і індукція й нелінійно залежать від напру­женості зовнішнього магнітного поля. На рис. 3.3 дано графічну залежність вектора намагніченості від . У слабких полях круто наростає із збільшенням , а потім сповільнюється і при досягає максимального значення, яке практично залишається не­змінним. У цьому стані, який Столєтов назвав насиченням, усі магнітні моменти атомів упорядковуються в напрямі зовнішнього магнітного поля. Дальше збільшення не зумовлює зростання .

Рис. 3.4 Петля гістерезису

2. Відносна магнітна проникність – не стала величина, вона залежить від . У слабкому магнітному полі швидко зростає, досягаючи максимуму, а потім спадає, наближаючись до одиниці, як для вакууму.

Максимальні значення дуже великі: для заліза – 5000, кремнієвого заліза (3,3 % ) – 10 000, пермалою – 100 000.

3. Феромагнетики зберігають своє намагнічування після того, як перестає діяти зовнішнє магнітне поле.

Для дослідження цього явища помістимо ненамагнічений феро­магнітний стержень у котушку і збільшуватимемо в ній струм, почи­наючи від нуля. Тоді залежність вектора намагніченості від напруженості магнітного поля виразиться кривою (рис. 3.4). При = настає насичення. Якщо тепер зменшувати напруженість магнітного поля від до нуля, то графік вже не піде зво­ротним шляхом, а зобразиться кри­вою, яка лежить вище від первинної кривої. Отже, зменшен­ня не супроводиться відповідним зменшенням , спостерігається від­ставання розмагнічування.

Явище відставання (запізнення) змін намагнічування тіла від змін на­пруженості магнітного поля називається магнітним гістерезисом, а те намагнічування, яке зберігається після зникнення зовнішнього магнітного поля, називається залишко­вим намагнічуванням. При цьому частина магнітних моментів атомів залишається зорієнтованою в початковому напрямі. Залишкове на­магнічування вимірюється відрізком . Щоб знищити , збільшуватимемо у протилежному напрямі. При залишкове намагнічування зникає. Напруженість поля , при якій знищується залишкове намагні­чування , є мірою стійкості феромагнетику і називається затримую­чою, або коерцитивною силою.

Якщо ще збільшувати у протилежному напрямі, то знову настане насичення: стержень намагнітиться в протилежному до початкового напрямі. Якщо тепер зменшувати до нуля, то залишкове намагнічування стане - . Щоб його знищити, треба збільшувати .

Коли змінюється циклічно, крива намагнічування феромагнетику має вигляд замкнутої кривої, яка нази­вається петлею гістерезису.

Намагнічування феромагнетиків залежить від температури. З підви­щенням температури залишкове намагнічування зменшується і при певній температурі, яка називається точкою Кюрі, зникає зовсім. Це пояснюється досить інтенсивним тепловим рухом молекул феромагнетику і дезорієнтацією спінових магнітних моментів. Точка Кюрі для різних феромагнетиків неоднакова: для заліза 1053 К, нікелю 631 К, кобальту 1423 К, пермалою 823 К тощо. З переходом через точку Кюрі феромагнетик поводить себе в зовнішньому магнітному полі як парамагнетик.

При температурах нижчих від точки Кюрі феромагнетик природно розділяється на велику кількість досить малих областей самодовільного (спонтанного) намагнічування. Такі ділянки спонтанного намагнічування всередині феромагнетику називаються доменами. У межах окремих доменів магнітні моменти упорядковані й спрямовані в якомусь одному напрямі. Але домени всередині тіла зорієнтовані безладно, тому, коли зовнішнього магнітного поля немає, векторнасума магнітних моментів доменів дорівнює нулю і тіло в цілому ненамагнічене.

У випадку технічного намагнічування феромагнетику зовнішнє магнітне поле орієнтує магнітні моменти не окремих атомів (мо­лекул), як у парамагнетиках, а доменів

Існують речовини, в яких, на відміну від феромагнетиків, магнітні моменти зорієнтовані попарно антипаралельно. Можна ска­зати, що магнітні моменти утворюють ніби дві просторові підрешітки, вставлені одна в одну і намагнічені в протилежних напрямах. Такі речовини, в яких намагнічування обох підрешіток однакове за величиною, називаються антиферомагнетиками. До них належать деякі сполуки марганцю (МnО, МnS), хрому (NiСr, Сr2О3), ванадію (2) тощо. Антиферомагнітний стан спостерігається нижче від певної температури, яка називається антиферомагнітною точкою Кюрі.

3.1.3. МАГНІТНІ МАТЕРІАЛИ I ЇХ ЗАСТОСУВАННЯ

Дослідження О.Г. Столєтова дали можливість класифікувати магнітні матеріали на м'які і тверді.

До м'яких магнітних матеріалів належать такі, для яких магнітна проникність велика, а коерцитивна сила мала (петля гістерезису вузька). Такими є чисте залізо, залізокремнієві сплави (трансфор­маторне і динамне залізо), залізонікелеві сплави (пермалої) та ін. Вони розмагнічуються навіть у магнітному полі Землі. М'які магнітні матеріали використовують в установках із змінни­ми магнітними полями, наприклад у трансформаторах, індукційних котушках. При використанні таких осердь втрати енергії на пере­магнічування їх незначні.

До твердих магнітних матеріалів належать такі, для яких коерци­тивна сила і залишкова індукція великі. Магнітотверді матеріали виготовляють із сплавів на основі заліза, нікелю і кобальту по спеціальній технології. Будучи намагніченими, вони зберігають цей стан навіть після зняття намагнічуючого поля. Тверді магнітні матеріали використовують для побудови постійних магнітів, які є складовою частиною магнітоелектричних вимірю­вальних приладів, динаміків тощо.

Названі магнітні матеріали мають малий питомий опір, а тому у змінних магнітних полях спричинюють значні втрати енергії на індукційні струми. Щоб запобігти таким втратам, використовують напівпровідникові феромагнетики – ферити. Вони мають дуже великий опір.

Ферити – це тверді розчини оксиду заліза Fе2О3 і оксиду одно­валентного або двовалентного металу Ni, Zn, Sі, Сd, Си, Рb та ін. Виготовляють ферити спіканням при температурі 1100 – 1600 К добре перемішаних порошкоподібних компонент. Особливого значення набули магній-марганцеві ферити з коерцитивною силою 160 000 – 240 000 А/м. їх використовують у запам'ятовуючих пристроях ЕВМ.

 

Питання для самоперевірки знань

1. Магнітне поле. Як його виявити?

2. Силові характеристики магнітного поля?

3. Напрям вектора магнітної індукції?

4. Лінії магнітної індукції. Їх особливість

5. Правило свердлика

6. Намагніченість

7. Записати зв’язок між вектором магнітної індукції та напруженістю магнітного поля

8. Феромагнетики

9. Особливості феромагнетиків

10. Насичення феромагнетику

11. Магнітний гістерезис

12. Коерцитивна сила

13. Петля гістерезису

14. Точка Кюрі

15. Домени

16. Антиферомагнетики

17. Групи магнітних матеріалів

18. Ферити

 

Теми рефератів

1. Магнітотверді матеріали та їх застосування в техніці

2. Магнітом’які матеріали та їх застосування в техніці

3. Ферити та їх застосування в техніці

 

Питання до самостійного опрацювання

1. Робота при переміщенні в магнітному полі

2. Поле соленоїда і тороїда

3. Взаємозв’язок електричного і магнітного поля

4. Обчислення роботи перемагнічування феромагнетика

 

ТЕМА 3.2 МАГНІТНІ КОЛА

План лекції

3.2.1. Класифікація магнітних кіл

3.2.2. Аналогія між магнітним та електричним колами

3.3.3. Методи розрахунку магнітних кіл

3.2.1. КЛАСИФІКАЦІЯ МАГНІТНИХ КІЛ

Магнітне коло є одним із основних елементів електричних машин та електротехнічних пристроїв. Магнітне коло це система, до якої входять джерела магнітного поля (обмотка зі струмом, що створює магнітне поле, постійний магніт) і магнітопроводи, виготовлені з феромагнітного матеріалу, по якому замикається магнітний потік.

При аналізі магнітних кіл магнітну систему електротехнічного пристрою подають, як і в електричних колах, еквівалентною схемою. Магнітні кола бувають розгалуженими (рис. 3.4) і нерозгалуженими (рис. 3.5), однорідні і неоднорідні, симетричні і несиметричні.

 

Рис. 3.4 Розгалуджене магнітне коло

 

 

Рис. 3.5 Нерозгалуджене однорідне магнітне коло

 

Нерозгалуженим магнітним колом називають коло, через елементи якого замикається один і той самий магнітний потік. В розгалуженому магнітному колі є вітки, в кожній з яких замикаються різні магнітні потоки Ф. В однорідному (рис. 3.5) магнітному колі, утвореному замкненим магнітопроводом, магнітний потік міститься в однорідному середовищі. Неоднорідним називають магнітне коло, що має різні перерізи, повітряні зазори, феромагнітні тіла з різними магнітними властивостями.

 

Рис. 3.6 Нерозгалуджене неоднорідне магнітне коло

 

3.2.2 АНАЛОГІЯ МІЖ МАГНІТНИМ ТА ЕЛЕКТРИЧНИМ КОЛАМИ

Розрахунок магнітного кола проводиться на основі закону повного струму за допомогою рівняння магнітного стану. Як і в електричних колах рівняння магнітного стану називають правилами Кірхгофа для магнітних кіл.

Перше правило Кірхгофа вузлове: алгебраїчна сума магнітних потоків, що сходяться у вузлі (потік через замкнену поверхню), завжди рівна нулю:

. (3.2)

Друге правило Кірхгофа контурне: алгебраїчна сума падінь магнітних напуг в любому замкненому контурі магнітного кола дорівнює алгебраїчній сумі магніторушійних сил (МРС) в контурі:

. (3.3)

Падіння магнітної напруги на заданій ділянці магнітного кола це добуток напруженості магнітного поля та довжини ділянки кола (або магнітного опору ділянки на магнітний потік):

, (3.4)

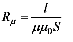
де магнітний опір ділянки:

 

. (3.5)

Залежність магнітного потоку Ф від магніторушійної сили NI і магнітного опору ділянок магнітного кола отримують із рівняння магнітного стану ділянки магнітного кола (закон Ома для магнітного кола):

. (3.6)

Між вебер-амперними характеристиками Ф(І) в магнітних колах і вольт-амперними U(I) в електричних колах існує повна аналогія.

Аналогія електричних та магнітних кіл формальна. За своїм внутрішнім станом вони суттєво відрізняються: ЕРС джерела залишається незмінною при любому режимі електричного кола (при холостому ході, номінальному режимі, короткому замиканні), МРС завжди пов’язана з одночасним існуванням магнітного потоку.

 

3.2.3 МЕТОДИ РОЗРАХУНКУ МАГНІТНОГО КОЛА

При розрахунку магнітного кола можуть бути дві задачі: пряма та обернена. При прямій задачі відомі геометричні розміри і магнітні властивості матеріалу магніто поводу та значення магнітного потоку. Потрібно визначити магніторушійну силу і силу струму у витках обмотки. При оберненій задачі відомі магніторушійна сила, геометричні розміри і матеріал магніто проводу. Потрібно визначити магнітний потік.

Розглянемо пряму задачу. В нерозгалуженому магнітному колі (рис. 3.6) відомі: значення магнітного потоку в повітряному зазорі Ф, геометричні розміри і матеріал магніто проводу, кількість витків обмотки N, а також залежність Вм(Н) (рис. 3.3). Визначити МРС NІ.




Поделиться с друзьями:


Дата добавления: 2014-12-07; Просмотров: 1826; Нарушение авторских прав?; Мы поможем в написании вашей работы!


Нам важно ваше мнение! Был ли полезен опубликованный материал? Да | Нет



studopedia.su - Студопедия (2013 - 2026) год. Все материалы представленные на сайте исключительно с целью ознакомления читателями и не преследуют коммерческих целей или нарушение авторских прав! Последнее добавление




Генерация страницы за: 0.013 сек.