Студопедия

КАТЕГОРИИ:


Архитектура-(3434)Астрономия-(809)Биология-(7483)Биотехнологии-(1457)Военное дело-(14632)Высокие технологии-(1363)География-(913)Геология-(1438)Государство-(451)Демография-(1065)Дом-(47672)Журналистика и СМИ-(912)Изобретательство-(14524)Иностранные языки-(4268)Информатика-(17799)Искусство-(1338)История-(13644)Компьютеры-(11121)Косметика-(55)Кулинария-(373)Культура-(8427)Лингвистика-(374)Литература-(1642)Маркетинг-(23702)Математика-(16968)Машиностроение-(1700)Медицина-(12668)Менеджмент-(24684)Механика-(15423)Науковедение-(506)Образование-(11852)Охрана труда-(3308)Педагогика-(5571)Полиграфия-(1312)Политика-(7869)Право-(5454)Приборостроение-(1369)Программирование-(2801)Производство-(97182)Промышленность-(8706)Психология-(18388)Религия-(3217)Связь-(10668)Сельское хозяйство-(299)Социология-(6455)Спорт-(42831)Строительство-(4793)Торговля-(5050)Транспорт-(2929)Туризм-(1568)Физика-(3942)Философия-(17015)Финансы-(26596)Химия-(22929)Экология-(12095)Экономика-(9961)Электроника-(8441)Электротехника-(4623)Энергетика-(12629)Юриспруденция-(1492)Ядерная техника-(1748)

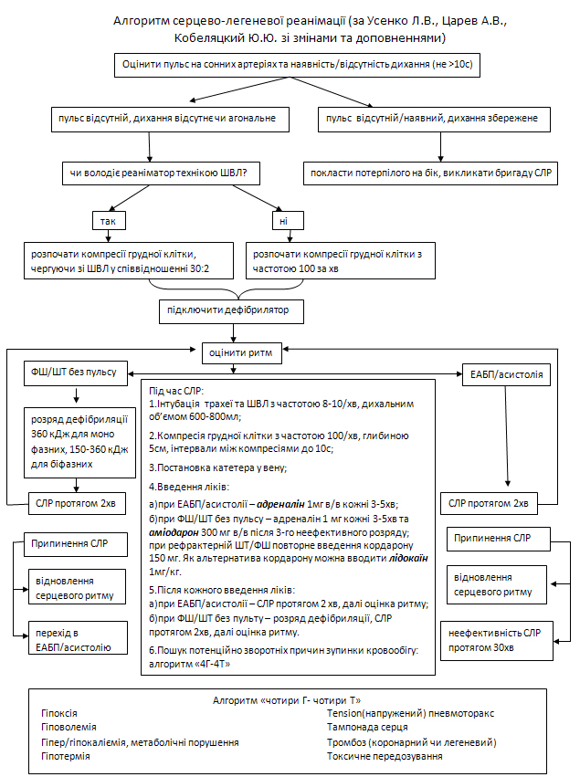
Актуальність теми. Алгоритм проведення серцево-легеневої реанімації




Київ 2013

МЕТОДИЧНІ ВКАЗІВКИ

Імені О. О. Богомольця

Алгоритм проведення серцево-легеневої реанімації

 

 

 

«Затверджено»

на методичній нараді

кафедри внутрішніх хвороб

стоматологічного факультету

Завідувач кафедри

професор Яременко О. Б.

______________________

 

«» 2013 р.

 

ДЛЯ САМОСТІЙНОЇ РОБОТИ СТУДЕНТІВ

ПРИ ПІДГОТОВЦІ ДО ПРАКТИЧНОГО ЗАНЯТТЯ

Навчальна дисципліна Екстренна і невідкладна медична допомога
Модуль №  
Змістовний модуль №  
Тема заняття № 6 Діагностика і лікування невідкладних станів на місці події (1)
Курс  
Факультет Стоматологічний факультет

 

 

Алергічні реакції та невідкладні стани у хворих з захворюваннями серцево-судинної системи є одними із найбільш актуальних проблем невідкладної медичної допомоги. Близько 25% населення деяких індустріальних районів страдає яким-небудь алергійним захворюванням. Поширеність захворювань серцево-судинної системи залишається найвищою у популяції, а невідкладні стани, які зумовлюють ці захворювання продовжують займати перші позиції серед причин смерті хворих. Число випадків алергії неухильно зростає в усьому світі. Серед гострих алергічних реакцій найбільш небезпечними є анафілактичний шок та набряк Квінке.

Лікар-стоматолог мусить пам’ятати, що від того, як швидко та ефективно була надана потерпілому невідкладна допомога, залежатимуть результати його подальшого лікування, а часто – і власне життя.




Поделиться с друзьями:


Дата добавления: 2014-12-07; Просмотров: 1697; Нарушение авторских прав?; Мы поможем в написании вашей работы!


Нам важно ваше мнение! Был ли полезен опубликованный материал? Да | Нет



studopedia.su - Студопедия (2013 - 2026) год. Все материалы представленные на сайте исключительно с целью ознакомления читателями и не преследуют коммерческих целей или нарушение авторских прав! Последнее добавление




Генерация страницы за: 0.01 сек.