Студопедия

КАТЕГОРИИ:


Архитектура-(3434)Астрономия-(809)Биология-(7483)Биотехнологии-(1457)Военное дело-(14632)Высокие технологии-(1363)География-(913)Геология-(1438)Государство-(451)Демография-(1065)Дом-(47672)Журналистика и СМИ-(912)Изобретательство-(14524)Иностранные языки-(4268)Информатика-(17799)Искусство-(1338)История-(13644)Компьютеры-(11121)Косметика-(55)Кулинария-(373)Культура-(8427)Лингвистика-(374)Литература-(1642)Маркетинг-(23702)Математика-(16968)Машиностроение-(1700)Медицина-(12668)Менеджмент-(24684)Механика-(15423)Науковедение-(506)Образование-(11852)Охрана труда-(3308)Педагогика-(5571)Полиграфия-(1312)Политика-(7869)Право-(5454)Приборостроение-(1369)Программирование-(2801)Производство-(97182)Промышленность-(8706)Психология-(18388)Религия-(3217)Связь-(10668)Сельское хозяйство-(299)Социология-(6455)Спорт-(42831)Строительство-(4793)Торговля-(5050)Транспорт-(2929)Туризм-(1568)Физика-(3942)Философия-(17015)Финансы-(26596)Химия-(22929)Экология-(12095)Экономика-(9961)Электроника-(8441)Электротехника-(4623)Энергетика-(12629)Юриспруденция-(1492)Ядерная техника-(1748)

Кінематичний аналіз важільних механізмів




Структурний аналіз важільного механізму.

КОНТРОЛЬНОЇ РОБОТИ

МЕТОДИЧНІ ВКАЗІВКИ ЩОДО ВИКОНАННЯ

 

Задача 1.

Метою структурного аналізу є вивчення теорії створення механізмів. Структурний аналіз виконується в розрахунково-пояснювальній записці до контрольної роботи в такій послідовності: зображають кінематичну схему механізму в довільному масштабі; підраховують кількість ланок, у тому числі кількість рухомих ланок; рахують число кінематичних пар у механізмі; встановлюють (за Артоболевським) клас кінематичних пар; знаючи правила зображення ланок (простих і складних), складають структурну схему. При цьому слід пам'ятати про те, що треба вилучити пасивні умови зв'язку; вилучити зайві ступені рухомості; замінити вищі кінематичні пари Р4 (IV класу) двома нижчими кінематичними парами Р5 (V класу) і ланками; поступальні пари замінити парами обертальними.

Визначають ступінь рухомості важільного механізму. Після виконання цього пункту ступінь рухомості механізму повинна дорівнювати числу ведучих ланок.

Зі складеної структурної схеми, починаючи з найвіддаленішого від ведучої ланки, треба виділити ланцюг з парним числом ланок. Оскільки в практиці найбільше груп Ассура ІІ класу, то спочатку виділяють найпростішу двоповідкову групу. Ступінь рухомості її має дорівнювати нулю. Далі перевіряють ступінь рухомості механізму, що залишився. Він не повинен змінитися.

Визначають клас і порядок виділеної групи Ассура. Виділяють наступний кінематичний ланцюг, перевіряють ступінь рухомості механізму, що залишився. Установлюють клас і порядок виділеної групи Ассура. Так діють доти, доки не дійдуть до ведучої ланки.

За класом старшої групи Ассура визначають клас і порядок механізму в цілому, вказавши, при якій ведучій ланці виконано структурний аналіз.

Записують структурну формулу механізму, наприклад:

I 0.1 → II 2.3 → II 4.5

Це означає, що до ведучої ланки і стояка (механізму I класу) приєднано групу Ассура II класу II порядку, до неї - групу Ассура II класу II порядку і, нарешті, групу Ассура II класу II порядку.

 

Задача 2.

Задачу вирішують у загальному вигляді без конкретних цифрових даних будь-якого параметру. Масштаб довільний, але такий, що дозволяє на кресленні зобразити всі складові відносних швидкостей на всі складові прискорень.

Порядок рішення задачі на побудову плану швидкостей та прискорень шестиланкового хитного конвейєра.

Його структура: I → I I → I I

Кінематичне дослідження будемо вести в такій самій послідовності:

I → I I → I I

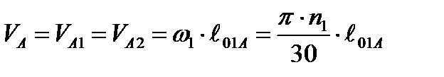
План Механізму задано. Кутова швидкість кривошипа стала . Будувати план швидкостей розпочинаємо зі швидкості точки А пальця кривошипа, визначивши модуль швидкості точки А при обертанні її навколо точки О1:

, м/c

 

З довільно взятої точки Рv (полюса плану швидкостей) відкладемо відрізок ра (рис. 1), перпендикулярний до О1А на плані механізму, тобто паралельно швидкості уаі напрямної по дотичній до траєкторії точки А в напрямі руху кривошипа О1А (див. схему механізму). Масштабний коефіцієнт плану швидкостей

 

Для визначення швидкості точки B2 шатуна, що здійснює складний рух, скористаємося теоремою, відомою з теоретичної механіки. Будь-який рух незмінної фігури в ЇЇ площині може бути складений з.переносного поступального руху разом з довільно взятою точкою плоскої фігури (полюсом) і обертанням навколо полюса. Тоді швидкість точки B2 шатуна 2 дорівнюватиме геометричній сумі швидкості полюса A2 (VA2)і швидкості обертання навколо полюса А2 (VB2A2)Індекс біля точки внизу показує, якій ланці належить точка:

__ __ __

VB2 = VA2 + VB2A 2 (2)

 

3 іншого боку, швидкість коромисла VO2B (VB3=VB2), оскільки ланка 3 з'єднана з ланкою 2 шарніром і дорівнює геометричній сумі швидкостей

полюса 2 (точки O2 ) і обертання точки B 3навколо полюса O2 (VB3O2)

VB3 = VО2 + VB3О2 (3),

Отже, для групи Ассура I I при визначенні швидкостей маємо векторну

систему рівнянь:

__ __ ___

VB2 = VA2 + VB2A2

__ __ __ (4)

VB3 = VО2 + VB3О2

 

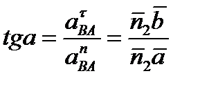
Слід пам'ятати, що при обертанні навколо полюса вектор відносної швидкості напрямлений по дотичній до кола з центром у полюсі, P, отже, перпендикулярний до ланки, Швидкість якої визначається, оскільки дотична перпендикулярна до радіуса цього кола в точці дотику з ним.

Отже, згідно з рівнянням з точки А плану швидкостей проводимо лінію, перпендикулярну до ланки АВ, а відповідно до другого рівняння системи із полюса плану швидкостей Р приводимо лінію, перпендикулярну до коромисла ВО2. На перетині цих перпендикулярів дістанемо точку b. З'єднавши точки b і Р на плані швидкостей, знайдемо вектор абсолютної швидкості точки В (VB), зображений в масштабі mv. Оскільки при обертальному русі швидкість V = ωr, тобто пропорційна радіусу обертання точки, то з пропорції:

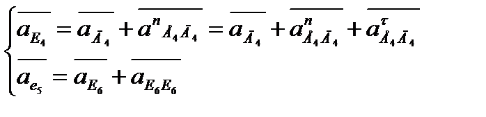
знайдемо швидкість точки Д коромисла. Для визначенням швидкості точки Е4 шатуна 4 (групи Ассура II4,5) напишемо векторне рівняння:

__ __ ___

VE4 = VD4 + VE4D4

(5)

__ __ ___

VE5 = VD6 + VE5D6

 

де VE3 = VE4; VE4 = VE5

 

Тобто, швидкість точки Е4 шатуна ДЕ дістанемо як геометричну суму швидкості полюса Д - УД4 і швидкості відносно полюса Д - VЕ4 Д4. Аналогічно швидкість точки Е5 повзуна дорівнює геометричній сумі швидкості полюса

Е6 причому VЕ6=0, оскільки стояк нерухомий і відносної швидкості точки відносно полюса Е6 (VE5E6). Виходячи з цього, з точки d плану швидкості проводимо лінію, перпендикулярну до шатуна ДЕ, а з полюса Р - паралельну х-х, оскільки повзун Е може рухатися відносно стояка тільки вздовж напрямної х-х. На перетині цих ліній дістали точку е. Відрізок Ре4 на плані швидкостей в масштабі mv зображає швидкість повзуна 5 (точки Е5 ). Те, що відносна швидкість у цьому випадку паралельна напрямній х-х, можна пояснити й по-іншому. Дійсно, якщо за полюс обрано точку на прямій поступальної пари, радіус кривизни якої розміщений у нескінченності, то ця крива й дотична до неї зіткнеться з напрямною, а це означає, що відносна швидкість буде паралельна цій напрямній. Отже, при визначенні швидкостей для кожної групи Ассура досить написати одну систему з двох векторних рівнянь і згідно з ними побудувати план швидкостей.

Властивості плану швидкостей.

Основні властивості плану швидкостей такі:

1. Усі точки механізму, швидкості яких дорівнюють нулю, на плані швидкостей знаходяться в полюсі плану 1; О2,; Е6).

2. Усі вектори, що виходять з полюса плану швидкостей, є векторами абсолютних швидкостей ( — вектор абсолютної швидкості точки А, - вектор абсолютної швидкості точки В іт.ін.). Щоб знайти дійсні значення цих швидкостей (за модулем), треба заміряти ці відрізки в міліметрах та помножити їх на масштабний коефіцієнт mv.

3.Усі вектори плану швидкостей, що з'єднують кінці векторів абсолютних швидкостей,є векторами відносних швидкостей:

- відносна швидкість VBA точки Bвідносно полюса А,

відносна швидкість VAB точки А відносно полюса В.

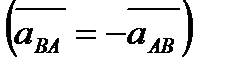
Зрозуміло,що = (VBA = -VAB)

4.Теорема подібності фігури векторів відносних швидкостей і фігури на плані механізму.

Фігура відносних швидкостей на плані швидкостей подібна фігурі на плані механізму, але повернута відносно останньої на 90° у напрямі кутової швидкості фігури механізму відносно полюса.

Доведемо це, визначивши швидкість точки С:

= +

(6)

= +

 

Швидкості полюсів В і А визначено раніше. Відносні швидкості V і VCB як швидкості в обертальному русі відповідно перпендикулярні до СА і СВ. Проведемо через точку А на плані швидкостей лінію, перпендикулярну до АС, а через точку В - лінію, перпендикулярну до ВС. На їх перетині дістанемо точку С. Трикутник аbс на плані швидкостей подібний до трикутника АВС на плані механізму. (Відповідно до побудови плану швидкостей аbАВ, асАС, bcВС, отже, кути їх при відповідних вершинах рівні між собою, а аbс~ АВС).

Звідси:

Зробивши засічки з точки а плану швидкостей радіусом ас, а з точки b - радіусом bс, знайдемо точку С,а, отже, і швидкість точки С. Користуючись подібністю, не треба писати систему векторних рівнянь (6) для визначення швидкості третьої точки, якщо відомі швидкості двох інших. Щоб не допустити помилки при визначенні положення точки С на плані швидкостей (адже засічку можна було зробити праворуч від лінії аb), треба користуватися правилом обходу за годинниковою стрілкою чи проти неї. Так, на плані механізму при обході фігури, починаючи з точки А за годинниковою стрілкою, буде напрям А - С - В. Такий самий він має бути і на фігурі плану швидкостей (а - с - b., а не а - b - с) при обході за годинниковою стрілкою.

Швидкості центрів ваги ланок знаходимо, користуючись подібністю фігур. Центр S2 на плані механізму і плані швидкостей знайшли на перетині медіан. Треба довести другу частину теореми подібності. Щоб дізнатися, куди повернеться АВС відповідно полюса А, визначимо кутову швидкість шатуна 2:

 

 

 

 

Відповідно: (7)

(8)

(9)

 

Приклавши вектор в точку механізму В, знайдемо, що кутова швидкість напрямлена проти годинникової стрілки. Якщо повернути трикутник АВС на 90° проти годинникової стрілки, то він збіжиться з трикутником аbс. Отже, доведено, що аbс повернутий на 90° відносно АВС проти годинникової стрілки, тобто в напрямі кутової швидкості шатуна 2,

 

План прискорень.

План прискорень почнемо будувати з визначенням прискорення пальця кривошипа A2.

Кутова швидкість кривошипа стала ( ), тому

, (м/с2)

Це нормальне, або доцентрове, прискорення точки А.

Зрозуміло, що його модуль:

(10)

З точки p(полюса) відкладемо паралельно кривошипу О1А (у напрямі від А до О1) відрізок довільної довжини (рис. 2).

Тоді масштабний коефіцієнт плану прискорень:

 

де – дійсне прискорення точки А, м/с2;

довжина зображеного відрізка на плані, мм

Для визначення прискорення точки В2 шатуна 2, що виконує складний рух, використано теорему про складний рух:

(11)

 

Тобто, прискорення точки В визначили, як геометричну суму прискорення полюса і відносного прискорення при обертанні її навколо полюса, один раз прийнявши за полюс точку А2 шатуна, другий раз - точку О2 коромисла. Прискорення аB2 = аB3, оскільки в точці В шатун і коромисло з'єднані шарнірнo. Відносні прискорення аB2 A2 і аB3 – невідомі ні за напрямом, ні за модулем. Тому для розв'язання рівняння (11) відносні прискорення розкладемо на дві складові — нормальне і тангенціальне, перше з яких за модулем можемо визначити так:

 

 

(12)

 

(13)

 

 

де відрізки АВ і БО2 виміряні в міліметрах на плані механізму, а відрізки і на плані швидкостей.

Потім з точки аА плану прискорень у масштабі відкладемо прискорення AnBA (відрізок , мм) паралельно шатуну АВ (зображеному на плані механізму) в напрямі від точки В до А. А з точки p паралельно ВО2 в напрямі від точки В до О2 відрізок , що в масштабі визначає нормальне прискорення . Провівши з точки n 2 лінію, перпендикулярну до n2a, а з точки n3 перпендикуляр на 3, на їх перетині одержимо точку b, що однозначно визначить прискорення точки В і тангенціальні прискорення

і .

їх значення:

 

Прискорення точки Д на плані прискорень знайдемо, виходячи з теореми подібності: , (мм)5 заміривши відрізок на плані прискорень, а відрізки O2B і О2Д – на плані механізму.

Прискорення точки Е повзуна 5 знайдемо за рівністю:

 

 

(14)


 

де

 

Відрізок (в мм), виміряний на плані швидкостей, а ED (мм) – на плані механізму.

Відклавши від точки d на плані прискорень відрізок , що в масштабі зображає нормальне прискорення (в напрямі від Е до Д), через точку n4 проведемо перпендикуляр до . З точки pпроведемо лінію, паралельну x-x, на їх перетині позначимо точку е.

Відрізок в масштабі , зображає прискорення точки е, а тангенціальне прискорення в обертальному русі точки е відносно полюса d.

Властивості плану прискорень.

Основні властивості плану прискорень такі:

1. Усі точки механізму, прискорення яких дорівнюють нулю, на плані прискорень розміщені в полюсі p (O1, O2, E0).

2. Усі вектори, що виходять з полюса плану прискорень p, є векторами абсолютних прискорень точок механізму ( вектор абсолютного прискорення точки А. вектор абсолютного прискорення точки В і т.ін.).

3. Усі вектори плану, що з'єднують кінці векторів абсолютних прискорень, є векторами відносних прискорень: відносне прискорення aBA точки В відносно полюса А (відносно точки А),

відносне прискорення точки А відносно точки В і т.ін.

Зрозуміло, що = –

 

4. Теорема подібності фігури відносних прискорень і фігури на плані механізму.

5. Фігура відносних прискорень на плані прискорень подібна до фігури на плані механізму, але повернута відносно неї на 180°-а у напрямі кутового прискорення фігури, де кут визначається з рівності:

(15)

Справді,

(16)

(17)

 

(18)

 

Поділивши почленно рівняння (16), (17), (18), дістанемо:

 

 

Оскільки

 

 

 

то, скоротивши на і дістанемо:

 

 

Отже, трикутник аbс відносних прискорень на плані прискорень подібний до фігури (трикутника АВС) на плані механізму. Це дає змогу не писати систему векторних рівнянь для визначення прискорення точки С, а, визначивши,

, де відрізки , ВА, СВ, СА виміряні в

міліметрах на плані прискорень і плані механізму, методом засічок з точок а і b радіусами са і сb, знайти точку C на плані прискорень. При цьому треба користуватися правилом обходу, щоб не зробити засічку так, що на плані механізму обхід контуру АВС здійснювався б за годинниковою стрілкою, а на плані прискорень обхід фігури аbс був би проти годинникової стрілки.

Користуючись подібністю, визначимо прискорення центрів ваги S2,, S3,, S4 ланок.

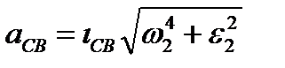
Кутові прискорення ланок знаходимо за формулами:

 

(19)

 

Приклавши вектор в точку В механізму, визначимо напрям . Якщо повернути фігуру АВС на кут 180°-а в напрямі,то фігура АВС збіжиться з трикутником аbс.

Задача 3




Поделиться с друзьями:


Дата добавления: 2014-12-07; Просмотров: 648; Нарушение авторских прав?; Мы поможем в написании вашей работы!


Нам важно ваше мнение! Был ли полезен опубликованный материал? Да | Нет



studopedia.su - Студопедия (2013 - 2026) год. Все материалы представленные на сайте исключительно с целью ознакомления читателями и не преследуют коммерческих целей или нарушение авторских прав! Последнее добавление




Генерация страницы за: 0.012 сек.