Студопедия

КАТЕГОРИИ:


Архитектура-(3434)Астрономия-(809)Биология-(7483)Биотехнологии-(1457)Военное дело-(14632)Высокие технологии-(1363)География-(913)Геология-(1438)Государство-(451)Демография-(1065)Дом-(47672)Журналистика и СМИ-(912)Изобретательство-(14524)Иностранные языки-(4268)Информатика-(17799)Искусство-(1338)История-(13644)Компьютеры-(11121)Косметика-(55)Кулинария-(373)Культура-(8427)Лингвистика-(374)Литература-(1642)Маркетинг-(23702)Математика-(16968)Машиностроение-(1700)Медицина-(12668)Менеджмент-(24684)Механика-(15423)Науковедение-(506)Образование-(11852)Охрана труда-(3308)Педагогика-(5571)Полиграфия-(1312)Политика-(7869)Право-(5454)Приборостроение-(1369)Программирование-(2801)Производство-(97182)Промышленность-(8706)Психология-(18388)Религия-(3217)Связь-(10668)Сельское хозяйство-(299)Социология-(6455)Спорт-(42831)Строительство-(4793)Торговля-(5050)Транспорт-(2929)Туризм-(1568)Физика-(3942)Философия-(17015)Финансы-(26596)Химия-(22929)Экология-(12095)Экономика-(9961)Электроника-(8441)Электротехника-(4623)Энергетика-(12629)Юриспруденция-(1492)Ядерная техника-(1748)

Сила інерції коромисла З




 

 

Оскільки коромисло 3 обертається навколо осі О2, що не збігається з цент­ром ваги S3 ланки, силу інерції Pі3 і момент сил інерції замінимо однією силою Pі3, докладеною в центрі хитання К. Відстань до точки хитання знайдемо за формулою:

 

івідкладемо її в масштабі в якому накреслено групу Ассура.

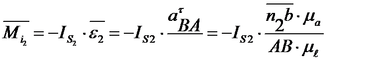
Сила інерції шатуна 2

 

 

 

 

Момент сил інерції шатуна АВ

Замінимо момент сили інерції парою сил:

 

 

 

 

Слід пам'ятати, що ця пара сил має повертати шатун у напрямку, протилежному напрямку кутового прискорення .

 

З умови рівноваги ланки 2 визначимо складову .

 

 

 

 

З умови рівноваги ланки 3 визначимо складову :

 

 

 

 

 

Нормальні складові реакцій у кінематичних парах А1О2 знайдемо з допомогою плану сил, що діють на всю групу Ассура.

Для статично зрівноваженої групи Ассура головний вектор сил інерції дорівнює нулю, а багатокутник сил – замкнений.

Отже ;

 

 

 

Задавшись масштабним коефіцієнтом плану сил, побудуємо план цих сил. Відклавши всі відомі за модулем і напрямом сили, в кінці вектора поставимо

 

перпендикуляр до нього (лінію дії вектора сили , а до початку вектора проведемо лінію, перпендикулярну до нього, отримаємо точку перетину цих ліній, тобто замкнемо векторний многокутник).

Отже, сумарні реакції в шарнірах А і О2 зображено на плані сил векторами:

 

 

 

 

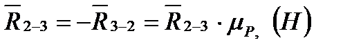
Реакцію шатуна 2 на коромисло 3 (реакцію R2-3 у внутрішній кінематичній парі групи Ассура - В, визначимо з умови рівноваги ланки 3, згідно з векторним рівнянням:

 

 

З многокутника сил маємо:

 

Кінетостатика ведучої ланки (механізму І класу).

 

Сила інерції кривошипа O1A:

 

 

Момент сил інерції , оскільки w=const і

 

Докладемо до кривошипа силу ваги G1 силу інерції Рa і реакцію R2-1 на нього другої ланки (рис. 7).

 

 

Рис. 7. Ведуча ланка та план сил ведучої ланки.

 

Оскільки механізм І класу не є групою Ассура, то, як система статично не визначена, не буде статично зрівноваженим дією цих сил. Ця невизначеність підтверджується і математично. Дійсно, для кривошипа можемо записати три рвняння статики:

 

 

Для розв'язання цих трьох рівнянь треба мати три невідомі. А в даному випадку невідома тільки реакція стояка на кривошип R0-1 та її напрям (два невідомі параметри). Тому треба мати ще один невідомий параметр, щоб число невідомих дорівнювало числу рівнянь статики, і задача буде визначеною. Такою третьою додатковою невідомою є зрівноважувальна сила, докладена в точці А кривошипа (зрівноважувальний момент сил, докладений до кривошипа). Цією зрівноважу вальною силою (моментом) будуть реактивні сили (момент) від сил опору тієї робочої машини, якій надає руху двигун.

 

Отже, зрівноважувальною силою чя парою сил, докладених до ведучої ланки, є сила (момент), що зрівноважує всі зовнішні сили та сили інерції. При силовому розрахунку ведучої ланки робочої машини зрівноважуючою силою або моментом буде сила або момент, які розвиває двигун і які докладеш до ведучої ланки робочої машини. Отже, доклавши в точці А пальця кривошипа перпендикулярно до О1А зрівноважувальну силу Рзр, напишемо три рівняння статики:

 

 

 

 

Перші два рівняння статики у вигляді суми проекцій сил на осі X, у можна замінити одним векторним рівнянням.

З рівняння

 

 

 

знаходимо зрівноважувальну силу

 

 

 

Користуючись планом сил: , знайдемо реакцію стояка на кривошип:

 

 

 

За модулем реакція стояка на кривошипі:

 

 

Визнаючи реакції в кінематичних парах і зрівноважуючу силу, розглядали механізм як єдине ціле, створене з механізму І класу і послідовно приєднаних до нього груп Ассура. але статична визначеність груп Ассура дає змогу розглядати, якщо це потрібно, і окремо взяту групу Ассура.

 

 

Визначення зрівноваженої сили методом "жорсткого важеля" М.Є. Жуковського (перевірка рішення задачі).

Якщо до плану швидкостей, повернутого на , у відповідних точках докласти всі зовнішні сили і моменти, сил інерції і моменти сил інерції, а також зрівноважувальну силу і момент, і розглянути план швидкостей як жорсткий важіль, закріплений у полюсі, то шд дією цих сил і моментів він буде перебувати в рівновазі, а сума моментів сил відносно полюса дорівнюватиме нулю.

Беремо план швидкостей для визначеного для аналізу положення, повертаємо його на 90° і у його відповідних точках докладаємо зовнішні сили, сили ваги ланок, сили і моменти сил інерції і зрівноважуючу силу Рзр (рис. 8).

 

 

 

звідки маємо:

 

 

 

 




Поделиться с друзьями:


Дата добавления: 2014-12-07; Просмотров: 603; Нарушение авторских прав?; Мы поможем в написании вашей работы!


Нам важно ваше мнение! Был ли полезен опубликованный материал? Да | Нет



studopedia.su - Студопедия (2013 - 2026) год. Все материалы представленные на сайте исключительно с целью ознакомления читателями и не преследуют коммерческих целей или нарушение авторских прав! Последнее добавление




Генерация страницы за: 0.013 сек.