Студопедия

КАТЕГОРИИ:


Архитектура-(3434)Астрономия-(809)Биология-(7483)Биотехнологии-(1457)Военное дело-(14632)Высокие технологии-(1363)География-(913)Геология-(1438)Государство-(451)Демография-(1065)Дом-(47672)Журналистика и СМИ-(912)Изобретательство-(14524)Иностранные языки-(4268)Информатика-(17799)Искусство-(1338)История-(13644)Компьютеры-(11121)Косметика-(55)Кулинария-(373)Культура-(8427)Лингвистика-(374)Литература-(1642)Маркетинг-(23702)Математика-(16968)Машиностроение-(1700)Медицина-(12668)Менеджмент-(24684)Механика-(15423)Науковедение-(506)Образование-(11852)Охрана труда-(3308)Педагогика-(5571)Полиграфия-(1312)Политика-(7869)Право-(5454)Приборостроение-(1369)Программирование-(2801)Производство-(97182)Промышленность-(8706)Психология-(18388)Религия-(3217)Связь-(10668)Сельское хозяйство-(299)Социология-(6455)Спорт-(42831)Строительство-(4793)Торговля-(5050)Транспорт-(2929)Туризм-(1568)Физика-(3942)Философия-(17015)Финансы-(26596)Химия-(22929)Экология-(12095)Экономика-(9961)Электроника-(8441)Электротехника-(4623)Энергетика-(12629)Юриспруденция-(1492)Ядерная техника-(1748)

В стоимостном выражении




Анализ технического уровня и качества продукции

 

Качество - это совокупность потребительских свойств и характеристик продукции (услуги), придающих ей способность удовлетворять обусловленные или предполагаемые потребности.

Анализ качества произведенной продукции производится по обобщающим показателям, единичным и косвенным.

Обобщающие показатели характеризуют общий уровень качества продукции:

- объем и удельный вес продукции, соответствующей мировому уровню качества;

- средний коэффициент сортности;

- объем и удельный вес продукции, поставляемой на экспорт;

-объем и удельный вес сертифицированной продукции и др.

Единичные показатели характеризуют одно из свойств продукции (показатели надежности, безопасности, долговечности и т. д.).

Косвенные показатели качества – это штрафы за некачественную продукцию, объем и удельный вес забракованной продукции, удельный вес зарекламированной продукции, потери от брака и т. д.

По продукции, качество которой характеризуется сортом или кондицией, рассчитываются доля продукции каждого сорта (кондиции) в общем объеме производства, средний коэффициент сортности, средневзвешенная цена изделия в сопоставимых условиях. При оценке выполнения плана по первому показателю фактическую долю каждого сорта в общем объеме продукции сравнивают с плановой.

Средний коэффициент сортности равен отношению стоимости продукции всех сортов к возможной стоимости продукции по цене I сорта.

Используя фактические и плановые данные о выпуске продукции в разрезе сортов, приведенные в таблице 1.4., оценить степень выполнения плана по качеству. Степень выполнения плана по качеству рассчитывается отношением фактического коэффициента сортности к плановому его уровню. Заполнить таблицу 5. Сделать выводы.

Таблица 5. Выполнение плана по сортности продукции

Продукция Цена за одну единицу, руб. Выпуск продукции, ед. Стоимость выпуска, руб.
План Факт План Факт По цене I сорта
План Факт
               
I сорта              
II сорта              
III сорта              
Всего -            

 

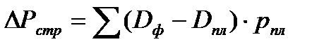
Определить изменение выпуска продукции в стоимостном выражении в результате изменения сортности продукции. Использовать форму аналитической таблицы 6. Влияние сортового состава продукции на объем выпуска изделия определяется по формуле:

Таблица 6. Влияние сортового состава продукции на выпуск

Сорт продукции Цена за одну единицу, руб. Структура продукции, % Изменение средней цены за счет структуры, руб. (+/-)
План Факт Изменение, +/-
           
I сорта          
II сорта          
III сорта          
Всего -        

Контрольные вопросы.

1. Назовите цель анализа объемов производства и продаж продукции.

2. Каковы основные задачи анализа объемов производства и продаж продукции?

3. Какими показателями отражается объем производства промышленной продукции?

4. В чем состоит отличие ассортимента от номенклатуры изделий?

5. Какие показатели используются для анализа динамики объема готовой и реализованной продукции?

6. По каким направлениям проводится анализ выполнения производственной программы по ассортименту?

7. Назовите методы оценки степени выполнения плана по ассортименту.

8. Для каких целей проводится анализ структуры выпуска продукции?

9. Какие методы оценки динамики выпуска продукции вы знаете?

10. На какие экономические показатели производства продукции оказывают влияние изменение структуры производства продукции?

11. Каковы методы расчета влияния структурных сдвигов на показатели выпуска продукции?

12. Отобразите балансовую взаимоувязку показателей движения готовой продукции.

13. Назовите способ оценки факторов изменения объема продаж.

14. Каким образом рассчитывается выполнение договорных обязательств по поставкам продукции?

15. Дайте определение технического уровня продукции.

16. Каким образом проводится оценка технического уровня продукции?

17. Дайте определение качества продукции и назовите виды показателей качества продукции.

18. Каким образом проводится оценка качества продукции?

19. Назовите направления анализа качества продукции.





Поделиться с друзьями:


Дата добавления: 2014-12-07; Просмотров: 1116; Нарушение авторских прав?; Мы поможем в написании вашей работы!


Нам важно ваше мнение! Был ли полезен опубликованный материал? Да | Нет



studopedia.su - Студопедия (2013 - 2026) год. Все материалы представленные на сайте исключительно с целью ознакомления читателями и не преследуют коммерческих целей или нарушение авторских прав! Последнее добавление




Генерация страницы за: 0.011 сек.