Студопедия

КАТЕГОРИИ:


Архитектура-(3434)Астрономия-(809)Биология-(7483)Биотехнологии-(1457)Военное дело-(14632)Высокие технологии-(1363)География-(913)Геология-(1438)Государство-(451)Демография-(1065)Дом-(47672)Журналистика и СМИ-(912)Изобретательство-(14524)Иностранные языки-(4268)Информатика-(17799)Искусство-(1338)История-(13644)Компьютеры-(11121)Косметика-(55)Кулинария-(373)Культура-(8427)Лингвистика-(374)Литература-(1642)Маркетинг-(23702)Математика-(16968)Машиностроение-(1700)Медицина-(12668)Менеджмент-(24684)Механика-(15423)Науковедение-(506)Образование-(11852)Охрана труда-(3308)Педагогика-(5571)Полиграфия-(1312)Политика-(7869)Право-(5454)Приборостроение-(1369)Программирование-(2801)Производство-(97182)Промышленность-(8706)Психология-(18388)Религия-(3217)Связь-(10668)Сельское хозяйство-(299)Социология-(6455)Спорт-(42831)Строительство-(4793)Торговля-(5050)Транспорт-(2929)Туризм-(1568)Физика-(3942)Философия-(17015)Финансы-(26596)Химия-(22929)Экология-(12095)Экономика-(9961)Электроника-(8441)Электротехника-(4623)Энергетика-(12629)Юриспруденция-(1492)Ядерная техника-(1748)

Структурные схемы и структурные преобразования




МАТЕМАТИЧЕСКОЕ ОПИСАНИЕ СИСТЕМ АВТОМАТИЧЕСКОГО УПРАВЛЕНИЯ

Графически системы автоматического управления представляют в
виде стpуктуpныx сxeм, которые разделяют на конструктивные, функциональные и алгоритмические. В случае конструктивных схем блок является
законченным техническим устройством (двигатель, усилитель, тахогенератор
и т.п.). В функциональных схемах блок представляет собой один или несколько элементов, осуществляющих какую-либо функцию (усиления, преобразования, сбора информации и т.п.). Часто конструктивные блоки могут совпадать с
функциональными.

При математическом описании систем управления распространение получили алгоpитмичeскиe стpуктуpныe сxeмы, составной частью которых являются звенья систем. Характеристикой звена является его математическое описание в виде дифференциального уравнения, передаточной функции или другой характеристики. Наиболее часто такой характеристикой является передаточная функция, которая записывается внутри прямоугольника, изображающего звено на структурной схеме.

Таким образом, алгоритмические структурные схемы, которые в основном
в дальнейшем будем использовать и называть просто структурными схемами, являются графической интерпретацией математической модели системы
управления.

В процессе исследования структурные схемы подвергаются преобразованию: некоторые звенья могут объединяться в одно звено, другие, наоборот, подвергаются расчленению. Такие преобразования носят название стpуктуpныx пpeобpазований, которые фактически соответствуют преобразованиям математических моделей. В результате таких преобразований конечная структурная схема может сильно отличаться от исходной, а тем более от функциональной или конструктивной схемы.

Одним из результирующих итогов структурных преобразований является приведение произвольной структуры системы к некоторому стандартному виду. Структурная схема такой стандapтной систeмы автоматического управления представлена на рис. 3.1, где – передаточная функция объекта управления, – передаточная функция регулятора, v – входной сигнал, f – возмущающий, y – выходной сигнал, е – сигнал рассогласования. Единичная обратная связь в такой системе называется главной обратной связью.

v

 

Рис. 3.1

 

На структурных схемах сигналы следует рассматривать как изображения по Лапласу соответствующих переменных.

Рассмотрим преобразование произвольной структуры к стандартному виду, которое осуществляется на основании правил структурных преобразований. Анализ структур систем автоматического управления показывает, что существует три основных вида соединения звеньев: последовательное, паpaллельноe и соeдинениe с помощью обратной связи.

Структурные схемы, соответствующие указанным типам соединений, представлены на рис. 3.2, a, б, в.

 

 

Рис. 3.2

 

Отметим, что в дальнейшем, если это ясно из контекста, символ s в записи передаточных функций будем иногда опускать.

Рассмотрим задачу объединения звеньев в одно звено, связывающее непосредственно вход и выход соответствующего соединения.

Для последовательного соединения (см. рис. 3.2, а) можно записать: , . Исключая промежуточную величину , получим , . Итак, при последовательном соединении общая передаточная функция соединения будет равна произведению передаточных функций звеньев: . Если последовательно соединено i звеньев, то аналогично .

Для параллельного соединения (см. рис. 3.2, б) уравнения, связывающие координаты, имеют вид , , . Исключая величины и из этих уравнений, получим , т.е. общая передаточная функция соединения будет равна сумме передаточных функций звеньев. В случае последовательного соединения i звеньев получим .

Уравнения, связывающие переменные при соединении звеньев с помощью обратной связи (см. рис. 3.2, в), имеют вид , , , откуда, исключая переменные , , получим , т.е. общая передаточная функция соединения будет равна .

Если звенья соединены с помощью положительной обратной связи, то .

Наряду с объединением звеньев при структурных преобразованиях приходится прибегать к переносу отдельных узлов или сумматоров из одних участков структурной схемы в другие. Такие переносы изображены на рис. 3.3,
гдеслева – исходная схема, а справа – структурная схема после соответствующего переноса узла или сумматора. Нетрудно видеть, что по отношению
к сигналам входа и выхода исходная и преобразованная структурные схемы эквивалентны.

Рис. 3.3

 

На практике существует и другая задача – расчленения отдельного звена на более простые. Примером решения такой задачи может служить представление передаточной функции звена в виде суммы или произведения передаточных функций элементарных звеньев.

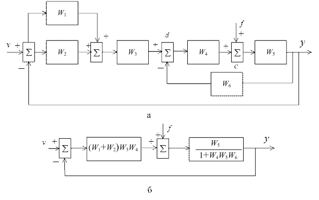
Пример 3.1. Рассмотрим систему управления, структурная схема которой представлена на рис. 3.4, a. Последовательность преобразования структуры следующая: переносим сумматор d через звено и через сумматор с. Далее объединим звенья до точки приложения воздействия f и после нее. В результате будем иметь структуру, представленную на рис. 3.4, б.

Рис. 3.4

 




Поделиться с друзьями:


Дата добавления: 2014-12-07; Просмотров: 663; Нарушение авторских прав?; Мы поможем в написании вашей работы!


Нам важно ваше мнение! Был ли полезен опубликованный материал? Да | Нет



studopedia.su - Студопедия (2013 - 2025) год. Все материалы представленные на сайте исключительно с целью ознакомления читателями и не преследуют коммерческих целей или нарушение авторских прав! Последнее добавление




Генерация страницы за: 0.01 сек.