Студопедия

КАТЕГОРИИ:


Архитектура-(3434)Астрономия-(809)Биология-(7483)Биотехнологии-(1457)Военное дело-(14632)Высокие технологии-(1363)География-(913)Геология-(1438)Государство-(451)Демография-(1065)Дом-(47672)Журналистика и СМИ-(912)Изобретательство-(14524)Иностранные языки-(4268)Информатика-(17799)Искусство-(1338)История-(13644)Компьютеры-(11121)Косметика-(55)Кулинария-(373)Культура-(8427)Лингвистика-(374)Литература-(1642)Маркетинг-(23702)Математика-(16968)Машиностроение-(1700)Медицина-(12668)Менеджмент-(24684)Механика-(15423)Науковедение-(506)Образование-(11852)Охрана труда-(3308)Педагогика-(5571)Полиграфия-(1312)Политика-(7869)Право-(5454)Приборостроение-(1369)Программирование-(2801)Производство-(97182)Промышленность-(8706)Психология-(18388)Религия-(3217)Связь-(10668)Сельское хозяйство-(299)Социология-(6455)Спорт-(42831)Строительство-(4793)Торговля-(5050)Транспорт-(2929)Туризм-(1568)Физика-(3942)Философия-(17015)Финансы-(26596)Химия-(22929)Экология-(12095)Экономика-(9961)Электроника-(8441)Электротехника-(4623)Энергетика-(12629)Юриспруденция-(1492)Ядерная техника-(1748)

Некоторые числовые характеристики вариационного ряда




 

Характеристики расположения. Существует достаточно много значений характеризующих среднее значение например: среднее Колмогорова

среднее арифметическое, среднее гармоническое, среднее степенное, среднее геометрическое. Здесь мы будем использовать только три: среднее арифметическое, моду и медиану.

Среднее арифметическое вариационного ряда равно

 

Медиана — возможное значение признака, которое делит ранжированную совокупность вариационного ряда на две равные части: 50 % «нижних» единиц ряда данных будут иметь значение признака не больше, чем медиана, а «верхние» 50 % — значения признака не меньше, чем медиана.

Медиана является важной характеристикой распределения случайной величины и так же, как математическое ожидание, может быть использовано для центрирования распределения. Однако, медиана более робастна и поэтому может быть более предпочтительной для распределений с т.н. тяжёлыми хвостами.

Мода — значение во множестве наблюдений, которое встречается наиболее часто. Иногда в совокупности встречается более чем одна мода (например: 2, 6, 6, 6, 8, 9, 9, 9, 10; мода = 6 и 9). В этом случае можно сказать, что совокупность мультимодальна. Из структурных средних величин только мода обладает таким уникальным свойством. Как правило мультимодальность указывает на то, что набор данных не подчиняется нормальному распределению.

Мода, как средняя величина, употребляется чаще для данных, имеющих нечисловую природу. Среди перечисленных цветов автомобилей — белый, черный, синий металлик, белый, синий металлик, белый — мода будет равна белому цвету. При экспертной оценке с её помощью определяют наиболее популярные типы продукта, что учитывается при прогнозе продаж или планировании их производства.

Характеристики рассеяния. В качестве меры рассеяния вариационного ряда используются статистические. показатели, характеризующие степень вариации, разброса значений признака относительно среднего значения.

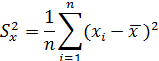
В качестве меры рассеяния выбирают выборочную дисперсию

 

 

А также стандартное отклонение

 

 

Для однородности вариационного ряда используется коэффициент вариации

 

 

Если коэффициент вариации меньше 33%, то считают, что вариационный ряд является однородным и не нуждается в разбиении на части.

Важными характеристиками вариационного ряда являются также эксцесс и асимметрия:

Характеристики асимметрии и эксцесса. В симметричном распределении каждый момент нечетного порядка равен нулю. Любой момент неравный нулю можно считать характеристикой асимметрии данного распределения. Определение. Пусть μ3 обозначает третий центральный момент: .Тогда коэффициент асимметрии задаётся формулой:

 

 

Неформально говоря, коэффициент асимметрии положителен, если правый хвост распределения длиннее левого, и отрицателен в противном случае. Если распределение симметрично относительно среднего, то его коэффициент асимметрии равен нулю

Для нормального распределения коэффициент асимметрии равен нулю.

 

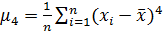
Определение. Пусть μ4 обозначает четвёртый центральный момент: .Тогда коэффициент эксцесса задаётся формулой:

 

-3

Эксцесс положителен, если пик распределения около среднего значения острый, и отрицателен, если пик гладкий. Для нормального распределения эксцесс равен нулю.

Замечание. Все характеристики расположения, рассеяния и других аналогичных свойств в большой степени произвольны. Это вполне естественно, так как свойства, описываемые такими параметрами, определены слишком расплывчато, чтобы каждое из них могло быть охарактеризовано одним числом. Каждая характеристика имеем свои достоинства и недостатки, и характеристика вполне пригодная в одном случае, может быть более или менее бесполезной в другом [крамер].




Поделиться с друзьями:


Дата добавления: 2014-12-07; Просмотров: 421; Нарушение авторских прав?; Мы поможем в написании вашей работы!


Нам важно ваше мнение! Был ли полезен опубликованный материал? Да | Нет



studopedia.su - Студопедия (2013 - 2026) год. Все материалы представленные на сайте исключительно с целью ознакомления читателями и не преследуют коммерческих целей или нарушение авторских прав! Последнее добавление




Генерация страницы за: 0.013 сек.