Студопедия

КАТЕГОРИИ:


Архитектура-(3434)Астрономия-(809)Биология-(7483)Биотехнологии-(1457)Военное дело-(14632)Высокие технологии-(1363)География-(913)Геология-(1438)Государство-(451)Демография-(1065)Дом-(47672)Журналистика и СМИ-(912)Изобретательство-(14524)Иностранные языки-(4268)Информатика-(17799)Искусство-(1338)История-(13644)Компьютеры-(11121)Косметика-(55)Кулинария-(373)Культура-(8427)Лингвистика-(374)Литература-(1642)Маркетинг-(23702)Математика-(16968)Машиностроение-(1700)Медицина-(12668)Менеджмент-(24684)Механика-(15423)Науковедение-(506)Образование-(11852)Охрана труда-(3308)Педагогика-(5571)Полиграфия-(1312)Политика-(7869)Право-(5454)Приборостроение-(1369)Программирование-(2801)Производство-(97182)Промышленность-(8706)Психология-(18388)Религия-(3217)Связь-(10668)Сельское хозяйство-(299)Социология-(6455)Спорт-(42831)Строительство-(4793)Торговля-(5050)Транспорт-(2929)Туризм-(1568)Физика-(3942)Философия-(17015)Финансы-(26596)Химия-(22929)Экология-(12095)Экономика-(9961)Электроника-(8441)Электротехника-(4623)Энергетика-(12629)Юриспруденция-(1492)Ядерная техника-(1748)

Определение. Распределение Стьюдента ( t-распределение)




Распределение Стьюдента (t-распределение)

История

Критерий Пирсона χ² был предложен Карлом Пирсоном (Pearson) в 1900 году. Его работа рассматривается как фундамент современной математической статистики. Предшественники Пирсона просто строили графики экспериментальных результатов и утверждали, что они правильны. В своей статье Пирсон привёл несколько интересных примеров злоупотреблений статистикой. Он также доказал, что некоторые результаты наблюдений за рулеткой (на которой он проводил эксперименты в течение двух недель в Монте-Карло в 1892 году) были так далеки от ожидаемых частот, что шансы получить их снова при предположении, что рулетка устроена добросовестно, равны одному из 1029!

 

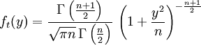
Пусть — независимые стандартные нормальные случайные величины, такие что . Тогда распределение случайной величины , где

 

 

называется распределением Стьюдента с степенями свободы. Пишут . Её распределение абсолютно непрерывно и имеет плотность

 

,

 

где — гамма-функция Эйлера.

 




Поделиться с друзьями:


Дата добавления: 2014-12-07; Просмотров: 432; Нарушение авторских прав?; Мы поможем в написании вашей работы!


Нам важно ваше мнение! Был ли полезен опубликованный материал? Да | Нет



studopedia.su - Студопедия (2013 - 2026) год. Все материалы представленные на сайте исключительно с целью ознакомления читателями и не преследуют коммерческих целей или нарушение авторских прав! Последнее добавление




Генерация страницы за: 0.012 сек.